Integral Q: s(x)<=f(x)<=t(x), Equal Areas?

  • Thread starter Thread starter Miike012
  • Start date Start date
  • Tags Tags
    Integral
Click For Summary

Homework Help Overview

The discussion revolves around the properties of integrable functions and the relationship between the areas defined by two bounding functions, s(x) and t(x), with respect to a function f(x). Participants are exploring the implications of equal areas under these functions and the conditions for integrability.

Discussion Character

  • Conceptual clarification, Mathematical reasoning, Assumption checking

Approaches and Questions Raised

  • The original poster attempts to understand the implications of equal areas between the bounding functions and the function f(x). Some participants clarify the definitions of step functions and Riemann sums, while others question the assumptions regarding the continuity of the functions involved.

Discussion Status

Participants are actively engaging with the definitions and properties of integrable functions, with some providing clarifications on the nature of the bounding functions. There is a productive exchange regarding the correct formulation of the functions and their intervals.

Contextual Notes

There is a noted confusion regarding the nature of the intervals for the bounding functions, with initial references to step functions being corrected to continuous functions. This highlights the importance of precise definitions in the context of integration.

Miike012
Messages
1,009
Reaction score
0
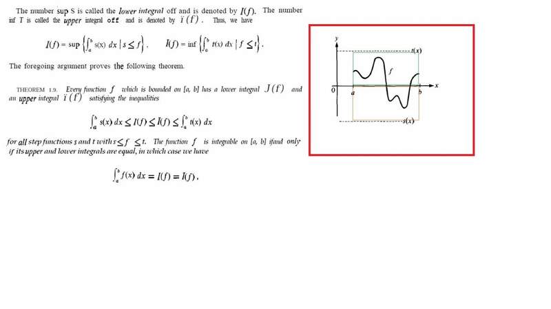
I am confused on what the paragraph is saying which is copied onto the paint document...
I think it is saying that the graph, which I added to the paint document, has two
Integrable function s(x) and t(x) in which s(x) <= f(x) <= t(x). If the rectangles that I highlighted in green and orange have equal areas then f(x) whose area is surrounded by these rectanels must be integrable because ∫s(x)dx = ∫t(x)dx on [a,b] . how far off am I?
 

Attachments

  • MMM.jpg
    MMM.jpg
    21.1 KB · Views: 452
Last edited:
Physics news on Phys.org
You're close, but not entirely there.

Remember that we used to calculate the area under a graph by drawing little rectangles below it? This is the generalisation of that procedure.

Note that it is only talking about step functions, i.e. functions of the form
[tex]s(x) = \begin{cases} c_0 & x \in [a_0, b_0], \\ c_1 & x \in [a_1, b_1], \\ \vdots & \vdots \\ c_n & x \in [a_n, b_n] \end{cases}[/tex]

The idea is, we define the integral of such a function, as
[tex]\int_{a_0}^{b_n} s(x) \, dx = \sum_{i = 0}^n c_i (b_i - a_i)[/tex]
Then we define the lower and upper Riemann sums of f as
[tex]I_{a}^{b}(f) = \sup_{s \le f} \int_a^b s(x) \, dx[/tex]
and
[tex]J_{a}^{b}(f) = \inf_{s \ge f} \int_a^b s(x) \, dx[/tex]
respectively. This is bascially a approximation with rectangles of the function f.

Now you have a sequence of inequalities like [itex]a \le I \le J \le d[/itex], and the second part of the theorem basically says that if a = d, then I = J.
In that case, we call I = J the integral of f, denoted by the familiar notation, and we call it integrable.

So we basically extend the "simple" intuitive definition to (almost) arbitrary functions.
 
CompuChip said:
Remember that we used to calculate the area under a graph by drawing little rectangles below it? This is the generalisation of that procedure.

Note that it is only talking about step functions, i.e. functions of the form
[tex]s(x) = \begin{cases} c_0 & x \in [a_0, b_0], \\ c_1 & x \in [a_1, b_1], \\ \vdots & \vdots \\ c_n & x \in [a_n, b_n] \end{cases}[/tex]

Is that what you meant to write?
 
Oops, of course I meant them to be continuous and open intervals, good catch!

[tex]s(x) = \begin{cases} c_0 & x \in )a_0, a_1), \\ c_1 & x \in (a_1, a_2), \\ \vdots & \vdots \\ c_n & x \in (a_n, a_{n + 1}) \end{cases}[/tex]
 

Similar threads

Replies
6
Views
3K
  • · Replies 15 ·
Replies
15
Views
2K
Replies
12
Views
3K
  • · Replies 9 ·
Replies
9
Views
2K
Replies
21
Views
3K
Replies
4
Views
3K
  • · Replies 18 ·
Replies
18
Views
3K
Replies
4
Views
2K
  • · Replies 4 ·
Replies
4
Views
2K
  • · Replies 6 ·
Replies
6
Views
2K