Is My 2D Gaussian Quadrature Algorithm Accurate?

Click For Summary

Homework Help Overview

The discussion revolves around the accuracy of a 2D Gaussian quadrature algorithm used to evaluate a double integral involving an exponential and cosine function. Participants are examining the implementation details and results obtained from both Python and Maple software.

Discussion Character

  • Exploratory, Assumption checking, Mathematical reasoning

Approaches and Questions Raised

  • Participants discuss the setup of the Gaussian quadrature, including the choice of grid points and weights. There are references to the results obtained from different software and a comparison of methods.

Discussion Status

Some participants have confirmed that their results align with the original poster's Python output, while others express uncertainty about the correctness of the formula and the choices made for points and weights. There is an acknowledgment of the potential for subtle errors in the implementation.

Contextual Notes

One participant notes that they did not verify the theoretical background of 2D Gaussian quadrature, indicating a reliance on the original poster's assumptions regarding the correctness of the formula used.

Shackleford
Messages
1,649
Reaction score
2
Homework Statement
Approximate the following integral using two-point Gaussian Quadrature for double integrals.
Relevant Equations
## I = \sum_{i=0}^{n}\sum_{j=0}^{n} w_i w_j f(x_i, y_j)
##
## \int_{-1}^{1} \int_{-1}^{1} e^{-(x^2 + y^2)} cos(2π (x^2 + y^2)\,dx\,dy ##

## I = \int_{-1}^{1} \int_{-1}^{1}f(x,y) \,dx\,dy \approx \sum_{i=0}^{n}\sum_{j=0}^{n} w_i w_j f(x_i, y_j) ##

## = w_0 w_0 f(x_0, y_0) + w_0 w_1 f(x_0, y_1) + w_1 w_0 f(x_1, y_0) + w_1 w_1 f(x_1, y_1) ##

## w_0 = 1, w_1 = 1 ##
## x_0 = 1/\sqrt 3, x_1 = -1/\sqrt 3, y_0 = 1/\sqrt 3, y_1 = 1/\sqrt 3 ##

Of course, the grid points are

## (1/\sqrt 3, 1/\sqrt 3), (1/\sqrt 3, -1/\sqrt 3), (-1/\sqrt 3, 1/\sqrt 3), (-1/\sqrt 3, -1/\sqrt 3). ##

Wolfram's answer is 0.111328. My crude code in Python is -1.02683...

def GaussQuad2D(x_point_dict, y_point_dict, weight_dict, num_points):
summation = []
for e in np.arange(num_points):
w = weight_dict[e]
x = x_point_dict[e]
for j in np.arange(num_points):
y = y_point_dict[j]
f = w * np.exp(-(x**2 + y**2)) * np.cos(2*np.pi*(x**2 + y**2))
summation.append(f)
return sum(summation)

x_point_dict = {0:(-1/np.sqrt(3)), 1:(1/np.sqrt(3))}
y_point_dict = {0:(-1/np.sqrt(3)), 1:(1/np.sqrt(3))}
weight_dict = {0:(1), 1:(1)}
answer = GaussQuad2D(x_point_dict, y_point_dict, weight_dict, 2)

There's a nested loop in there.
Screen Shot 2019-09-20 at 10.11.31 PM.png
 
Physics news on Phys.org
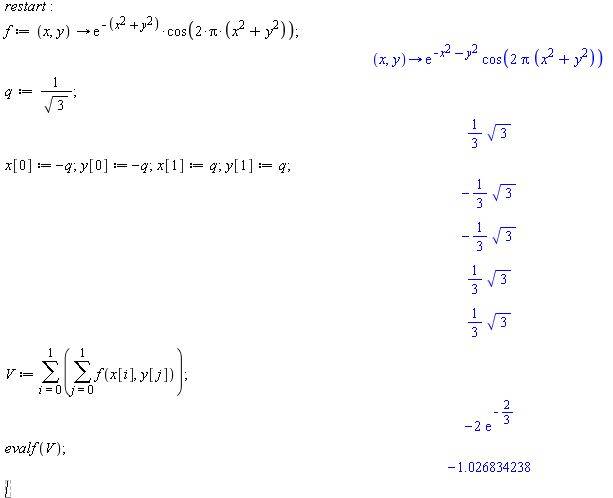
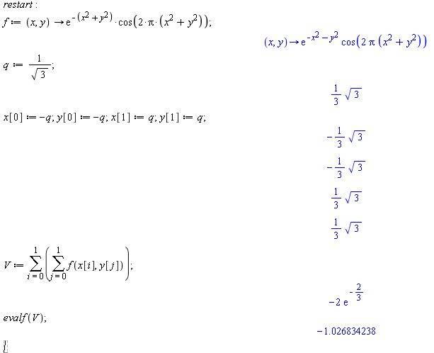
If I understand your formulas, here is what I got with Maple:
maplesnip.JPG

As you can see, it agrees with your Python. Much simpler in Maple though.
 
LCKurtz said:
If I understand your formulas, here is what I got with Maple:
View attachment 249926
As you can see, it agrees with your Python. Much simpler in Maple though.

Thanks for the reply. I've included a screenshot of the problem so that there's no ambiguity. The analytical/graphical approach certainly has its advantages.

prob.png
 
Just so you know, I didn't look up the theory of 2D Gaussian quadrature, so I am just assuming you know your formula is correct. What I mean is about your choices for the points and the weights. So, if your setup happens to be wrong, so is mine.
 
LCKurtz said:
Just so you know, I didn't look up the theory of 2D Gaussian quadrature, so I am just assuming you know your formula is correct. What I mean is about your choices for the points and the weights. So, if your setup happens to be wrong, so is mine.

As far as I understand it, I'm using the correct weights and points. After that, it's a fairly straightforward algorithm. Someone with a bit of expertise might notice a subtle detail that I'm overlooking.
 

Similar threads

Replies
4
Views
3K
Replies
2
Views
1K
  • · Replies 4 ·
Replies
4
Views
2K
  • · Replies 10 ·
Replies
10
Views
2K
  • · Replies 10 ·
Replies
10
Views
3K
  • · Replies 1 ·
Replies
1
Views
2K
  • · Replies 21 ·
Replies
21
Views
2K
Replies
6
Views
3K
  • · Replies 6 ·
Replies
6
Views
2K
  • · Replies 0 ·
Replies
0
Views
2K