Is my procedure for finding the S_z matrix correct?

  • Thread starter Thread starter Viona
  • Start date Start date
  • Tags Tags
    Particles Spin
Click For Summary

Homework Help Overview

The discussion revolves around finding the matrices representing the operators S^2 and S_z for two spin half particles using the basis |++>, |+->, |-+>, and |-->.

Discussion Character

  • Exploratory, Conceptual clarification, Mathematical reasoning

Approaches and Questions Raised

  • Participants explore the formulation of the S_z operator as a sum of individual operators for each particle, questioning the dimensionality of the matrices involved and the correct application of tensor products.

Discussion Status

Participants are actively discussing the formulation of the S_z operator and its matrix representation, with some providing insights into the properties of S_z and S^2. There is recognition of potential confusion regarding the tensor product notation and the implications for calculating S^2.

Contextual Notes

Some participants express uncertainty about their familiarity with tensor products and the formal notation used in quantum mechanics, referencing specific educational materials for clarification.

Viona
Messages
49
Reaction score
12
Homework Statement
the matrices representing the operators S^2 and S_z
Relevant Equations
the matrices representing the operators S^2 and S_z
I have this homework: consider the case of two spin half particles. Use the basis: |++>, |+->, |-+>, |--> to find the matrices representing the operators S^2 and S_z.
My idea for the solution for S_z is: S_z=S_z(1)+S_z(2) where S_z(1) is the operator for the first particle ... etc
So I will first find the S_z(1) matrix. The first element in the matrix will be: <++|S_z(1)|++>=(hbar/2) the second element will be <++|S_z(1)|+->=0 ... etc Where I finally get a diagonal matrix. Is this procedure correct?
 
Physics news on Phys.org
Viona said:
Homework Statement:: the matrices representing the operators S^2 and S_z
Relevant Equations:: the matrices representing the operators S^2 and S_z

I have this homework: consider the case of two spin half particles. Use the basis: |++>, |+->, |-+>, |--> to find the matrices representing the operators S^2 and S_z.
My idea for the solution for S_z is: S_z=S_z(1)+S_z(2) where S_z(1) is the operator for the first particle ... etc
So I will first find the S_z(1) matrix. The first element in the matrix will be: <++|S_z(1)|++>=(hbar/2) the second element will be <++|S_z(1)|+->=0 ... etc Where I finally get a diagonal matrix. Is this procedure correct?
What do you mean by ##S_z = S_z(1) + S_z(2)##?

What dimension of matrices are you looking for?
 
I am looking for 4x4 matrices.
 
  • Like
Likes   Reactions: PeroK
PeroK said:
What do you mean by ##S_z = S_z(1) + S_z(2)##?
I think he means ##S_z=s_{z1}+s_{z2}##. Then $$(s_{z1}+s_{z2})|+-\rangle=\frac{\hbar}{2}|+-\rangle+\left(-\frac{\hbar}{2}\right)|+-\rangle.$$
 
  • Like
Likes   Reactions: Viona
kuruman said:
I think he means ##S_z=s_{z1}+s_{z2}##. Then $$(s_{z1}+s_{z2})|+-\rangle=\frac{\hbar}{2}|+-\rangle+\left(-\frac{\hbar}{2}\right)|+-\rangle.$$
Yes this what i mean.
 
Viona said:
I am looking for 4x4 matrices.
What do you know about the properties of ##S_z## and ##S^2## on the space of two-particle spin states? Do you know how they operate on the spin states you are given? Or, do you have to work that out from first principles?
 
Viona said:
Yes this what i mean.
Technically that means that $$S'_z = S_z \otimes I + I \otimes S_z$$Where ##S'_z## is the z-spin operator on the two-particle space and ##I## is the identity operator. I think it helps sometimes to know this so that you don't go wrong oversimplifying the product of operators.
 
Last edited:
  • Like
Likes   Reactions: George Jones and vanhees71
PeroK said:
Technically that means that $$S'_z = S_z \otimes I + I \otimes S_z$$Where ##S'_z## is the z-spin operator on the two-particle space and ##I## is the identity operator. I think it helps sometimes to know this so that you don't wrong oversimplifying the product of operators.
The problem is I am not familiar with this type of product using this symbol: \otimes ! So will it be wrong if I used the way I described above a got the correct matrices?
 
Viona said:
The problem is I am not familiar with this type of product using this symbol: \otimes ! So will it be wrong if I used the way I described above a got the correct matrices?
You haven't said what you're going to do about ##S^2## - that may be the tricky one. What do you get for ##S_z##?

PS I don't understand why, in your original post, you appear to be using only ##S_z(1)##.
 
  • #10
For Sz: I added the two 4x4 matrices together: Sz1 + Sz2 and I got 4x4 diagonal matrix with diagonal elements: hbar, 0, 0, hbar.
 
  • #11
for S^2 I will say: S^2=(S1+S2)^2= (S1)^2 + (S2)^2 +2S1.S2 where S1.S2=Sx1Sx2+Sy1Sy2+Sz1Sz2
and add all these 4x4 matrices together to find S^2
 
  • #12
Viona said:
The problem is I am not familiar with this type of product using this symbol: \otimes ! So will it be wrong if I used the way I described above a got the correct matrices?
The formal notation for the vectors is, for example:$$|+-\rangle = |+\rangle \otimes |-\rangle$$ In this case, then:$$S'_z|+-\rangle = (S_z \otimes I + I \otimes S_z)(|+\rangle \otimes |-\rangle) = (S_z|+\rangle \otimes I |-\rangle) + (I|+\rangle \otimes S_z |-\rangle)$$$$ = (\frac \hbar 2 |+\rangle \otimes |-\rangle) + (|+\rangle \otimes \frac \hbar 2 |-\rangle) = \hbar (|+\rangle \otimes |-\rangle)$$And we see that ##|+-\rangle## is an eigenstate of ##S'_z## with eigenvalue ##\hbar##.

You can drop the prime - I was just using it to make it clear that it's technically a different operator on the two-particle space.
 
  • Like
Likes   Reactions: vanhees71 and Viona
  • #13
Viona said:
for S^2 I will say: S^2=(S1+S2)^2= (S1)^2 + (S2)^2 +2S1.S2 where S1.S2=Sx1Sx2+Sy1Sy2+Sz1Sz2
and add all these 4x4 matrices together to find S^2
That's not going to work: $$S^2 = S_x^2 + S_y^2 + S_z^2 = \vec S \cdot \vec S$$
 
  • Like
Likes   Reactions: docnet
  • #14
PS Calculating ##S^2## from first principles is more work than you might think! That's why I asked if you already know how the operator ##S^2## acts on the two-particle space.

This is tricky until you get the hang of it, so don't worry if you are confused at this stage.
 
  • Like
Likes   Reactions: Viona
  • #15
PeroK said:
What do you know about the properties of ##S_z## and ##S^2## on the space of two-particle spin states? Do you know how they operate on the spin states you are given? Or, do you have to work that out from first principles?
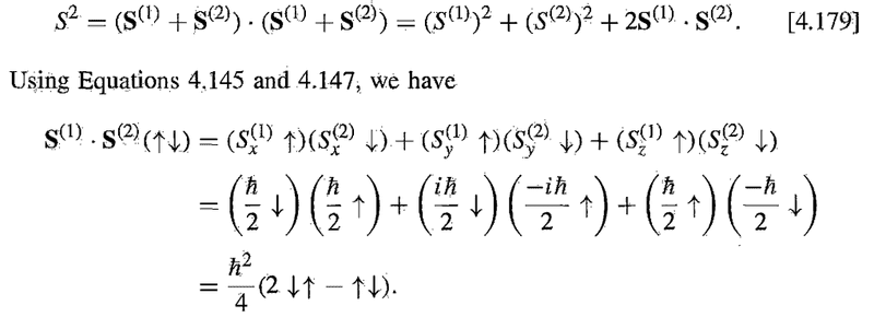
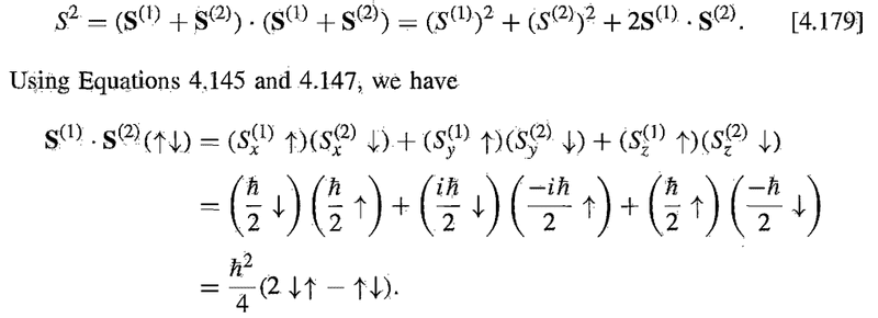
I only studied two spin half particles from the book Introduction to Quantum Mechanics by David J. Griffiths. I do not know if this enough For example see the attached picture.
77777.png
 
  • #16
Viona said:
I only studied two spin half particles from the book Introduction to Quantum Mechanics by David J. Griffiths. I do not know if this enough For example see the attached picture.
View attachment 289739
I know he uses that shorthand notation, but that was something I didn't like. I learned QM from that book but I took some time to find out about the tensor product of hilbert spaces ##\otimes##. As, otherwise, I couldn't figure out what was going on with those composite operations.

If you've got that book, then look at the triplet and singlet states on page 185 (2nd edition). That should give a big clue of how ##S^2## works.

Also, Griffiths does some of the calculations for ##S^2## on page 186: note the decomposition of ##S^2## as I indicated above:

PeroK said:
That's not going to work: $$S^2 = S_x^2 + S_y^2 + S_z^2 = \vec S \cdot \vec S$$
 
  • Like
Likes   Reactions: Viona
  • #17
Viona said:
For Sz: I added the two 4x4 matrices together: Sz1 + Sz2 and I got 4x4 diagonal matrix with diagonal elements: hbar, 0, 0, hbar.
It might just be a typo, but there's a negative sign missing on one of the ##\hbar##s.
 
  • Like
Likes   Reactions: Viona and PeroK
  • #18
vela said:
It might just be a typo, but there's a negative sign missing on one of the ##\hbar##s.
Where? In post #15?
 
  • Like
Likes   Reactions: Viona
  • #19
In the post I quoted, #10.
 
  • Like
Likes   Reactions: Viona
  • #20
vela said:
In the post I quoted, #10.
Ah yes. That matrix should be traceless. Thanks.
 
  • Like
Likes   Reactions: Viona

Similar threads

Replies
5
Views
2K
  • · Replies 8 ·
Replies
8
Views
3K
  • · Replies 1 ·
Replies
1
Views
2K
  • · Replies 3 ·
Replies
3
Views
9K
Replies
5
Views
2K
Replies
8
Views
3K
  • · Replies 21 ·
Replies
21
Views
3K
  • · Replies 3 ·
Replies
3
Views
1K
  • · Replies 7 ·
Replies
7
Views
7K
  • · Replies 3 ·
Replies
3
Views
3K