Is the Bohr Model Defined by Equating Coulomb and Centripetal Forces?

Click For Summary

Homework Help Overview

The discussion revolves around the Bohr model of the hydrogen atom, specifically focusing on the relationship between Coulomb and centripetal forces, and the calculation of frequencies associated with electron motion and radiation transitions. Participants are exploring how these concepts relate to quantum mechanics and the implications of Bohr's correspondence principle.

Discussion Character

  • Exploratory, Conceptual clarification, Assumption checking

Approaches and Questions Raised

  • Participants are questioning whether the Bohr model is defined by equating Coulomb and centripetal forces. They are also discussing the appropriate methods for calculating frequencies in different contexts, such as using the Rydberg formula.

Discussion Status

There is an ongoing exploration of the definitions and implications of frequency in the context of orbital motion versus radiation. Some participants are seeking clarification on the interpretation of certain equations and their relevance to the problem at hand. Guidance has been offered regarding the need to show work for better assistance.

Contextual Notes

Participants have noted potential missing information and the importance of understanding the derivations related to the frequencies being discussed. There are also reminders about adhering to forum rules regarding private messages.

drop_out_kid
Messages
34
Reaction score
2
Homework Statement
(a) Determine the frequency of the orbital motion of an electron in a Bohr-model hydrogen
atom for a level with the quantum number n. (b) Calculate the frequency of the radiation
emitted in the transition from the state n to the state n-1. (c) Show that the results of (a)
and (b) agree if n is very large. (This is an important example of Bohr’s correspondence
principle.)
Relevant Equations
Rydberg formula, mvr=nh_bar
So for this question I just want to make sure that
1. Bohr model is that F_coulomb = F_centripetal? and then get w(r) is called determind?
2. for (b) calculate the frequency, should I use Rydberg formula or what?
 
Physics news on Phys.org
drop_out_kid said:
Homework Statement:: (a) Determine the frequency of the orbital motion of an electron in a Bohr-model hydrogen
atom for a level with the quantum number n. (b) Calculate the frequency of the radiation
emitted in the transition from the state n to the state n-1. (c) Show that the results of (a)
and (b) agree if n is very large. (This is an important example of Bohr’s correspondence
principle.)
Relevant Equations:: Rydberg formula, mvr=nh_bar

So for this question I just want to make sure that
1. Bohr model is that F_coulomb = F_centripetal? and then get w(r) is called determind?
2. for (b) calculate the frequency, should I use Rydberg formula or what?
If you want to receive help, I think you going to have to show some work here, like calculating the frequency of orbital motion required for part (a). Yes, a good place to start is F_coulomb = F_centripetal. I would worry about part (b) later.
 
  • Like
Likes   Reactions: berkeman
kuruman said:
If you want to receive help, I think you going to have to show some work here, like calculating the frequency of orbital motion required for part (a). Yes, a good place to start is F_coulomb = F_centripetal. I would worry about part (b) later.
Do you think is this what problem asks and is it right? also it seems have missed a 1/2 I am not sure:

1649883854733.png
 
kuruman said:
If you want to receive help, I think you going to have to show some work here, like calculating the frequency of orbital motion required for part (a). Yes, a good place to start is F_coulomb = F_centripetal. I would worry about part (b) later.
How can I add a pic tho. I found the picture gone I will add in the post reply
1649883915542.png
 
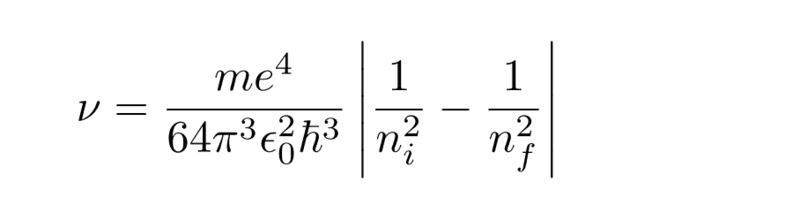
drop_out_kid said:
Do you think is this what problem asks and is it right? also it seems have missed a 1/2 I am not sure:

View attachment 299894
Please look at the reference where you got this expression for ##\nu## and tell me what it says that it is. Is it the frequency of orbital motion of the electron when it is at state ##n## or is it something else?

Your calculation in part (a) is correct.
 
Last edited:
  • Like
Likes   Reactions: berkeman
kuruman said:
Please look at the reference where you got this expression for ##\nu## and tell me what it says that it is. Is it the frequency or orbital motion of the electron when it is at state ##n## or is it something else?

Your calculation in part (a) is correct.
It is the frequency, this is from my quantum physics class. I will give you a more detailed, I just can't figure out why I got different than the silde:

1649884933786.png


1649884943027.png

1649884954836.png
 
kuruman said:
Please look at the reference where you got this expression for ##\nu## and tell me what it says that it is. Is it the frequency of orbital motion of the electron when it is at state ##n## or is it something else?

Your calculation in part (a) is correct.
So I cannot get agreed in (c):
1649885109508.png

1649885126602.png


And the bigger n is the bigger difference it gives:

1649885166505.png

1649885177416.png
 
Please wait until I reply. We are not ready to move to part (c).

You have not told me how you interpret this ##\nu##. Is it the frequency of orbital motion or not? The answer is important for part (c) and that is why I insist on you telling me what it is.
 
kuruman said:
Please wait until I reply. We are not ready to move to part (c).

You have not told me how you interpret this ##\nu##. Is it the frequency of orbital motion or not? The answer is important for part (c) and that is why I insist on you telling me what it is.
So from my understanding this should be orbital frequency instead of electron matter wave, this is before quantum mechanics part.

And I also pm you for some additional info..
 
  • #10
drop_out_kid said:
So from my understanding this should be orbital frequency instead of electron matter wave, this is before quantum mechanics part.

And I also pm you for some additional info..
I agree, it is not the frequency of a matter wave. If you look at the derivation you posted in #7, it is the frequency ##\nu## in $$h\nu=E_{\text{high}}-E_{\text{low}}$$ Does this suggest an orbit or something else?
 
  • #11
kuruman said:
I agree, it is not the frequency of a matter wave. If you look at the derivation you posted in #7, it is the frequency ##\nu## in $$h\nu=E_{\text{high}}-E_{\text{low}}$$ Does this suggest an orbit or something else?
I think this is for radiation of Atomic electron transition frequency, which is for part(b) (just my thought)
 
  • #12
drop_out_kid said:
And I also pm you for some additional info..
No, please do not do that, it is against the PF rules (see INFO at the top of the page). Please keep your requests for help in the open forums and not via PMs. Thank you.
 
  • #13
berkeman said:
No, please do not do that, it is against the PF rules (see INFO at the top of the page). Please keep your requests for help in the open forums and not via PMs. Thank you.
Ohh , sorry. It's not necessary anyway, please kindly ignore that message then.

So any idea how this problem work?
 
  • Like
Likes   Reactions: berkeman
  • #14
drop_out_kid said:
So any idea how this problem work?
You are in very good hands with @kuruman :smile:
 
  • Like
Likes   Reactions: Physics Slayer, drop_out_kid and kuruman
  • #15
drop_out_kid said:
I think this is for radiation of Atomic electron transition frequency, which is for part(b) (just my thought)
That's exactly what it is. You have the frequency of the orbiting electron ##\nu_{\text{orb}}## that you posted in #3 as ##f## and the frequency of radiation ##\nu_{\text{rad}}## that you posted in #4. As you noted, ##\nu_{\text{rad}}## is smaller by a factor of two. Your task in part (c) is to show that when ##n## becomes extremely large, ##\nu_{\text{rad}}\approx \nu_{\text{orb}}. ## Got any any ideas on how to do that?
 
  • #16
kuruman said:
That's exactly what it is. You have the frequency of the orbiting electron ##\nu_{\text{orb}}## that you posted in #3 as ##f## and the frequency of radiation ##\nu_{\text{rad}}## that you posted in #4. As you noted, ##\nu_{\text{rad}}## is smaller by a factor of two. Your task in part (c) is to show that when ##n## becomes extremely large, ##\nu_{\text{rad}}\approx \nu_{\text{orb}}. ## Got any any ideas on how to do that?
I think I actually did it. I mean I did it correct at first place but somehow I don't understand the result. Now it seems that , E=hf cannot be apply to (a) to verify the result, mvr=h_bar*n is very different than E=hf
 
  • #17
kuruman said:
That's exactly what it is. You have the frequency of the orbiting electron ##\nu_{\text{orb}}## that you posted in #3 as ##f## and the frequency of radiation ##\nu_{\text{rad}}## that you posted in #4. As you noted, ##\nu_{\text{rad}}## is smaller by a factor of two. Your task in part (c) is to show that when ##n## becomes extremely large, ##\nu_{\text{rad}}\approx \nu_{\text{orb}}. ## Got any any ideas on how to do that?
They both in 1/n^3 degree terms. which by limit they are totally equal include the highest coefficients
 
  • #18
drop_out_kid said:
I think I actually did it. I mean I did it correct at first place but somehow I don't understand the result. Now it seems that , E=hf cannot be apply to (a) to verify the result, mvr=h_bar*n is very different than E=hf
They are expected to be different because mvr is angular momentum and E is energy. You need to compare apples with apples and oranges with oranges. What happened to the derivation of the orbital frequency that you posted? Please upload it using the "Attach files" on the lower left of the editor screen so that I can refer to it. I would also like to see the expression yo got for ##\nu_{\text{rad}}## when ##n_2=n+1## and ##n_1=n## in the limit ##n\rightarrow \infty.##
 
  • #19
kuruman said:
They are expected to be different because mvr is angular momentum and E is energy. You need to compare apples with apples and oranges with oranges. What happened to the derivation of the orbital frequency that you posted? Please upload it using the "Attach files" on the lower left of the editor screen so that I can refer to it. I would also like to see the expression yo got for ##\nu_{\text{rad}}## when ##n_2=n+1## and ##n_1=n## in the limit ##n\rightarrow \infty.##
Sure!
The limit is equal for sure.

So I am still a bit confused, let's say we get frequency in (a) right? that frequency is in 1/n^3

in (b) we use energy to get frequency and then it became 1/n^2??

So what's the difference of these two frequencies?
 

Attachments

  • #20
The .pdf that you attached is sideways and I cannot read sideways. Please learn to post your work in LaTeX. The link is on the lower left of the editor screen, above the "Attach files button".

What you need to do here is to verify the Correspondence Principle. I suggest that you show that the semi-classical calculation for the change in energy when ##\Delta n=1## for large ##n## yields ##\Delta E= h \nu_{\text{rad}}##. If you can show that ##\nu_{\text{orb}}\approx \nu_{\text{rad}}##, then all you need to do is show that, semi-classically, when the angular momentum ##L## changes by ##h##, the energy change is ##\Delta E=h \nu_{\text{orb}}= \hbar \omega_{\text{orb}}.## (I prefer ##\omega## over ##\nu##.)

How to do that? I'll get you started. $$E=\frac{L^2}{mr^2}\implies~\Delta E=\frac{L\Delta L}{mr^2}.$$Assume ##r## does not change appreciably (it is proportional to ##n## which is huge) and find an expression for it in terms of ##L##. What you need for ##L## and ##\Delta L## should be obvious.
 
  • #21
Here is the PDF with the rotation fixed. @drop_out_kid -- I agree with kuruman that you should learn to use LaTeX. It's a good skill in general, and it helps make your posts much more legible in discussion forums like PF.

1649958467884.png
 
  • Like
Likes   Reactions: drop_out_kid and kuruman
  • #22
kuruman said:
The .pdf that you attached is sideways and I cannot read sideways. Please learn to post your work in LaTeX. The link is on the lower left of the editor screen, above the "Attach files button".

What you need to do here is to verify the Correspondence Principle. I suggest that you show that the semi-classical calculation for the change in energy when ##\Delta n=1## for large ##n## yields ##\Delta E= h \nu_{\text{rad}}##. If you can show that ##\nu_{\text{orb}}\approx \nu_{\text{rad}}##, then all you need to do is show that, semi-classically, when the angular momentum ##L## changes by ##h##, the energy change is ##\Delta E=h \nu_{\text{orb}}= \hbar \omega_{\text{orb}}.## (I prefer ##\omega## over ##\nu##.)

How to do that? I'll get you started. $$E=\frac{L^2}{mr^2}\implies~\Delta E=\frac{L\Delta L}{mr^2}.$$Assume ##r## does not change appreciably (it is proportional to ##n## which is huge) and find an expression for it in terms of ##L##. What you need for ##L## and ##\Delta L## should be obvious.
Seems I did it in this way. Hope I did it right(there's a fixed pic of my pdf below)
 
  • #23
drop_out_kid said:
Seems I did it in this way. Hope I did it right(there's a fixed pic of my pdf below above)

:wink:
 
  • Like
Likes   Reactions: drop_out_kid

Similar threads

  • · Replies 8 ·
Replies
8
Views
3K
  • · Replies 3 ·
Replies
3
Views
3K
  • · Replies 6 ·
Replies
6
Views
2K
  • · Replies 5 ·
Replies
5
Views
4K
Replies
1
Views
2K
  • · Replies 2 ·
Replies
2
Views
4K
  • · Replies 5 ·
Replies
5
Views
2K
Replies
3
Views
3K
  • · Replies 3 ·
Replies
3
Views
263
  • · Replies 3 ·
Replies
3
Views
1K