Is the Calculation of Linear Density k for a Uniformly Charged Bar Correct?

Click For Summary

Homework Help Overview

The discussion revolves around the calculation of the linear density \( k \) for a uniformly charged bar, focusing on the mathematical formulation and physical interpretation of the problem. Participants are analyzing the relationship between linear density and electric potential in the context of electrostatics.

Discussion Character

  • Conceptual clarification, Mathematical reasoning, Assumption checking

Approaches and Questions Raised

  • The original poster attempts to derive the expression for \( k \) through integration, questioning the physical validity of their mathematical result. They express uncertainty about the units of \( k \) and its implications. Other participants discuss the units of \( k \) and \( \lambda \), with one participant expressing discomfort with the prescribed units for unknowns and the dimensionality of \( k \).

Discussion Status

The discussion is ongoing, with participants providing feedback on the original poster's calculations and raising questions about the definitions and units involved. There is no explicit consensus, but some guidance regarding the dimensional analysis of the variables has been offered.

Contextual Notes

Participants note the challenges posed by the definitions of linear density and the implications of unit assignments in the problem. The original poster also mentions language barriers that may affect their expression of scientific concepts.

ToucanFodder
Messages
2
Reaction score
0
Homework Statement
A charge Q is distributed on a insulating bar of lenght L with linear density λ, expressed in C/m. λ=kx where k is a constant and x the distance of the generic point P expressed in meters from the origin of the bar O.
1)Calculate k
2)Calculate the electric potential at the point A positioned perpendicularly from O at a distance R
Relevant Equations
λ=kx
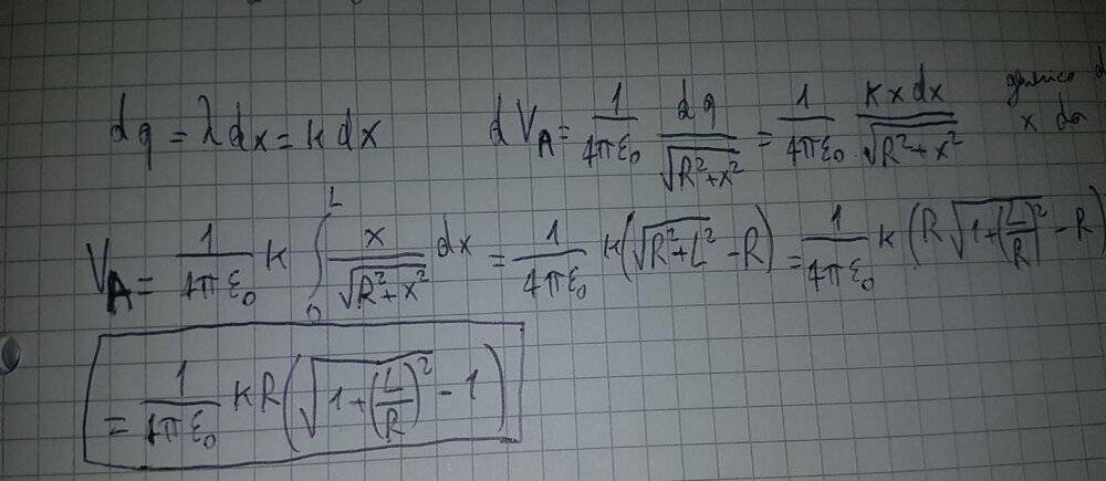
I attached a drawing of the problem for a better understanding and my attempted solutions.

The first point is fairly simple but there's something that I can't figure out.

dq=λdx=kxdx

Q=∫ k x dx from 0 to L -> Q=k[x^2/2]0-L -> Q=(L^2/2)k -> k=2Q/L^2

This is what I came up with. I integrated on the entire bar and calculated k but I'm not quite sure that's correct honestly. I feel like it makes sense mathematically but not physically? Linear density in general is C/m and here I have something that will look like this C/m=(C/m^2)x. Is that fair? I don't understand but I'd really love to.

Point 2 wasn't too bad I just repeated a similar reasoning this time using the electric potential formula. I attached my calculations since writing them down in this format doesn't provide a great result. I think I got it right but I'd love for some feedback if I missed the point.

Also sorry for some mistakes, English is not my first language and scientific terms and expressions can be hard.
 

Attachments

  • photo_2020-09-08_17-13-58.jpg
    photo_2020-09-08_17-13-58.jpg
    22.8 KB · Views: 181
  • photo_2020-09-08_17-14-07.jpg
    photo_2020-09-08_17-14-07.jpg
    29.4 KB · Views: 159
  • photo_2020-09-08_17-14-12.jpg
    photo_2020-09-08_17-14-12.jpg
    52.7 KB · Views: 164
Physics news on Phys.org
The way that ##k## is defined it will have units of ##C/m^2##. In which case ##\lambda## has units of ##C/m##.

The potential looks correct.
 
  • Like
Likes   Reactions: ToucanFodder
Thanks a lot!
 
"linear density λ, expressed in C/m. λ=kx where k is a constant and x the distance of the generic point P expressed in meters"

I dislike questions that prescribe units for unknowns. It should be enough to say that x is a distance, independently of any units one might choose to express its value in.
The difficulty, of course, is that if λ=kx then k has dimension of a surface density, but that feels awkward because there is no surface here. That could have been solved merely by stating that its dimension is QL-2.
 
  • Like
Likes   Reactions: ToucanFodder

Similar threads

  • · Replies 1 ·
Replies
1
Views
3K
  • · Replies 1 ·
Replies
1
Views
2K
  • · Replies 2 ·
Replies
2
Views
1K
  • · Replies 7 ·
Replies
7
Views
1K
Replies
1
Views
2K
  • · Replies 11 ·
Replies
11
Views
976
  • · Replies 20 ·
Replies
20
Views
7K
  • · Replies 17 ·
Replies
17
Views
2K
  • · Replies 4 ·
Replies
4
Views
3K
Replies
1
Views
1K