What is wrong with my linear charge density calculations?

Click For Summary

Homework Help Overview

The problem involves calculating the electric field produced by a straight, nonconducting plastic wire with a uniform linear charge density, which is bent into a circular shape. The wire's length and charge density are provided, and the electric field is to be determined at a specific point above the center of the circle.

Discussion Character

  • Exploratory, Conceptual clarification, Mathematical reasoning, Assumption checking

Approaches and Questions Raised

  • Participants discuss various methods for integrating the charge density and calculating the electric field, including the use of cylindrical coordinates and the importance of symmetry in the problem. Some question the correctness of the original poster's approach and suggest alternative ways to express the electric field components.

Discussion Status

The discussion is active, with participants providing insights and corrections to each other's reasoning. Some have suggested simpler methods or clarified the geometry involved, while others are still exploring the implications of symmetry on the electric field components. There is no explicit consensus on a single approach yet.

Contextual Notes

Participants note that the problem's setup involves constants such as the length of the wire and the charge density, which may affect the integration process. There is also mention of potential confusion regarding variable definitions and the need for clarity in expressing the unit vector for the electric field.

Eclair_de_XII
Messages
1,082
Reaction score
91

Homework Statement


"A straight, nonconducting plastic wire ##x=9.50_{10^{-2}}m## long carries a charge density of ##λ=1.3_{10^{-7}} C/m## distributed uniformly along its length. It is lying on a horizontal tabletop. If the wire is now bent into a circle lying flat on the table, find the magnitude and direction of the electric field it produces at a point ##y=6_{10^{-2}}m ## directly above its center."

Homework Equations


##dQ=λdx##

##x=9.50_{10^{-2}}m##
##λ=1.3_{10^{-7}} C/m##
##y=6_{10^{-2}}m ##

oYMDwpy.png


The Attempt at a Solution


##|E|=(\frac{1}{4\pi ε_0})⋅\int \frac{dQ}{(x^2+y^2)}##
Let ##x=2\pi r##. Then ##dQ=λdx=2\pi λ dr##

##|E|=(\frac{1}{4\pi ε_0})⋅\int \frac{dQ}{(x^2+y^2)}=(\frac{2\pi λ}{4\pi ε_0})⋅\int \frac{dr}{(r^2+y^2)}##

##|E_y|=(\frac{1}{4\pi ε_0})⋅\int \frac{dQ}{(x^2+y^2)}=(\frac{2\pi λ}{4\pi ε_0})⋅\int \frac{ydr}{(r^2+y^2)^{\frac{3}{2}}}=(\frac{2\pi yλ}{4\pi ε_0})⋅\int \frac{dr}{(r^2+y^2)^{\frac{3}{2}}}##

Let ##r=ytan\theta##. Then:

##dr=y\sec^2\theta d\theta##
##(r^2+y^2)^\frac{3}{2}=y^3sec^3\theta##
##\theta = tan^{-1}(\frac{r}{y})##

##|E_y|=(\frac{2\pi yλ}{4\pi ε_0})⋅\int \frac{y\sec^2\theta d\theta}{y^3sec^3}=(\frac{1}{4\pi ε_0})(\frac{2\pi λ}{y})⋅\int cos\theta d\theta=(\frac{2\pi yλ}{4\pi ε_0})⋅(sin\theta)=(\frac{1}{4\pi ε_0})(\frac{2\pi λ}{y})(\frac{r}{\sqrt{r^2+y^2}})=(\frac{1}{4\pi ε_0})(\frac{2\pi λ}{y})(\frac{x}{2\pi })(\frac{1}{\sqrt{\frac{x^2}{4\pi ^2}+y^2}})##

Thus, ##|E_y|=(\frac{1}{4\pi ε_0})(\frac{2\pi λ}{y})(\frac{x}{\sqrt{x^2+4\pi ^2y^2}})##.

Can someone check my work, or point out a better way to do this problem? Thanks.
 

Attachments

  • 4TTMA3z.png
    4TTMA3z.png
    2 KB · Views: 496
  • oTQ1MyR.png
    oTQ1MyR.png
    2.1 KB · Views: 448
Last edited:
Physics news on Phys.org
Eclair_de_XII said:
Let x=2πrx=2πrx=2\pi r. Then dQ=λdx=2πλdrdQ=λdx=2πλdrdQ=λdx=2\pi λ dr
This does not look right to me. Your final answer looks incorrect too.

It is simpler to use cylindrical coordinates to describe the charge density. (NOTE: ##\theta## here is in the azimuthal direction and is not the same as the one in your drawing.)
$$dQ=\lambda R d\theta$$
$$\mathbf{E}=\frac{1}{4\pi\epsilon_{0}}\int_{0}^{2\pi}\frac{\lambda R d\theta}{R^{2}+y^{2}}\hat{r}$$
Now the trick is correctly expressing ##\hat{r}##. Can you try that, and infer which component cancels out?
 
Eclair_de_XII said:
Let ##x=2\pi r##. Then ##dQ=λdx=2\pi λ dr##
x and r are constants. The circle is not expanding.
 
NFuller said:
Now the trick is correctly expressing ##\hat{r}##. Can you try that, and infer which component cancels out?

I don't know how to calculate that, but I think that the x- and y-components would cancel out and only the z-component would be left? Like, every point on the circle and the point opposite of them cancel each other in the r-direction, but add in the z-direction I think. Something like in this picture?

bjVeOtz.png
 
Eclair_de_XII said:
I don't know how to calculate that, but I think that the x- and y-components would cancel out and only the z-component would be left? Like, every point on the circle and the point opposite of them cancel each other in the r-direction, but add in the z-direction I think. Something like in this picture?

View attachment 209785
Yes, if you are adding the fields as vectors.
 
I do not think that for a problem like this it is necessary to employ very advanced mathematical methods of multivariable calculus. Better face the task from the point of view of physics.

X, is the length of the wire (problem data). Then: R=x/(2·pi). 'Y' is also known. Then all these data are CONSTANTS.

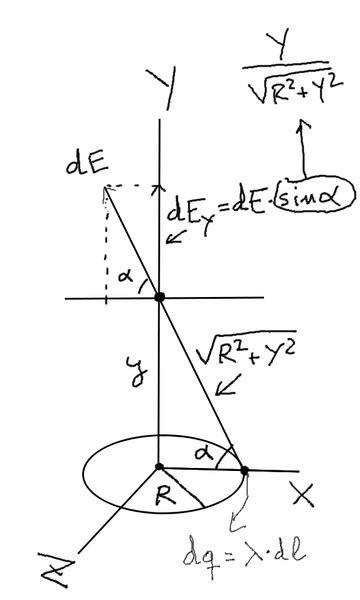
There is no horizontal electric field due to symmetry. There is only field in the Y direction. Then the electric field due to an element dQ is (I use alpha instead of theta): $$dEy=dE·sin\alpha$$ (Check it out in the figure)
On the other hand, you can check also in the figure that: $$sin\alpha=\frac{y}{\sqrt{R^{2}+y^{2}}}$$
All these values, R, y, are constants and go out of the integral.
I put the final expression to integrate to not extend me. I think it's easy to understand: $$
E_{y}=\frac{1}{4\pi\epsilon_{0}}\int_{0}^{x}\frac{\lambda dx}{R^{2}+y^{2}}·sin\alpha$$ But remember that R, y, ##sin\alpha## (sin alpha defined above), are constants and go out of the integral. It remains only ##\lambda·dx## inside the integral, but it is Q then... even there are not integral!

Only one more thing, the direction of the field will depend on the sign of the electric charge in the wire.
 
Last edited by a moderator:
alejandromeira said:
I put the final expression to integrate to not extend me. I think it's easy to understand: $$
E_{y}=\frac{1}{4\pi\epsilon_{0}}\int_{0}^{x}\frac{\lambda dx}{R^{2}+y^{2}}·sin\alpha$$ But remember that R, y, ##sin\alpha## (sin alpha defined above), are constants and go out of the integral. It remains only ##\lambda·dx## inside the integral, but it is Q then... even there are not integral!

Only one more thing, the direction of the field will depend on the sign of the electric charge in the wire.
As @haruspex said, ##x## is constant. I understand what you are saying but the integral needs to be properly transformed into polar space. Your integral will be off by a factor of ##2\pi##.
Eclair_de_XII said:
I don't know how to calculate that
##\hat{r}## is the unit vector pointing in the direction of ##\mathbf{r}##. A unit vector can be found by taking the vector and dividing by its length
$$\hat{r}=\frac{\mathbf{r}}{|\mathbf{r}|}$$
Can you find ##\mathbf{r}## and its magnitude ##|\mathbf{r}|##?
 
NFuller said:
Can you find ##\mathbf{r}## and its magnitude ##|\mathbf{r}|##?

Is it ##\hat{r}=\frac{\langle R, y \rangle}{\sqrt{R^2+y^2}}##?
 
NFuller said:
Now the trick is correctly expressing ##\hat{r}##. Can you try that, and infer which component cancels out?
NFuller said:
Can you find r and its magnitude |r|?
This seems an unnecessarily long way around considering that EdeXII already had the right cancellation idea in post #4.
@Eclair_de_XII , following up on post #4, what is the component of the field from the dθ element in the z direction?
 
  • #10
haruspex said:
@Eclair_de_XII , following up on post #4, what is the component of the field from the dθ element in the z direction?

If you mean the ##\theta## in my diagram, then I would say that it would be ##sin\theta d\theta##.
 
  • #11
Eclair_de_XII said:
Is it ##\hat{r}=\frac{\langle R, y \rangle}{\sqrt{R^2+y^2}}##?
Almost, looking at just the y component of ##\mathbf{r}##, which is all we need since the other components cancel, it is simply ##r_{y}=y##. So we can just say that
$$\hat{r}=\frac{y}{\sqrt{R^{2}+y^{2}}}\hat{y}$$
Plugging this into the integral in post #2
$$\mathbf{E}=\frac{1}{4\pi\epsilon_{0}}\int_{0}^{2\pi}\frac{\lambda R y\;d\theta}{\left(R^{2}+y^{2}\right)^{3/2}}\hat{y}$$
This integral should now be fairly straightforward.
 
  • #12
Eclair_de_XII said:
If you mean the ##\theta## in my diagram, then I would say that it would be ##sin\theta d\theta##.
Sorry, I forgot θ is being used as the angle above the horizontal to the target. I should have written dφ, where the arc element of the circle is rdφ.
But yes, sin(θ) is the factor to apply to the magnitude of the field. So what integral do you get for the net field in the z direction?
 
  • #13
NFuller said:
##\hat{r}=\frac{y}{\sqrt{R^{2}+y^{2}}}\hat{y}##

So it's basically: ##\hat{r}=\frac{\langle 0, y \rangle}{\sqrt{R^2+y^2}}##?

haruspex said:
So what integral do you get for the net field in the z direction?

Is it not the one that #11 posted? ##|E_y|=(\frac{1}{4\pi ε_0})⋅\int_{0}^{2\pi} \frac{\lambda R dφ}{(y^2+R^2)^\frac{3}{2}}##.
 
  • #14
Eclair_de_XII said:
Is it not the one that #11 posted? ##|E_y|=(\frac{1}{4\pi ε_0})⋅\int_{0}^{2\pi} \frac{\lambda R dφ}{(y^2+R^2)^\frac{3}{2}}##.
Yes, except that you dropped an important factor in copying that out.
Anyway, as NFuller wrote, the integral is now trivial - doesn't actually require any calculus.
 
  • #15
Well, thanks for your help, everyone.
 
  • #16
Hello, yesterday I was busy and I could not answer you before. In the problem book the length of the wire calls x, but you can put the integral as lambda · dl if that causes you confusion. I send you a figure so you know what I mean. The only integral is: lambda · dl = lambda · dx = lambda·L= lambda·X=Q, because the other terms are constant and go out.
Of course, if you want you can go to polar ... make a line integral and fill the sheet of paper with equations.

But I've had to make the whole problem !
 

Attachments

  • campoelectrico.jpg
    campoelectrico.jpg
    15.8 KB · Views: 492
Last edited by a moderator:
  • #17
alejandromeira said:
Hello, yesterday I was busy and I could not answer you before. In the problem book the length of the wire calls x, but you can put the integral as lambda · dl if that causes you confusion. I send you a figure so you know what I mean. The only integral is: lambda · dl = lambda · dx = lambda·L= lambda·X=Q, because the other terms are constant and go out.
Of course, if you want you can go to polar ... make a line integral and fill the sheet of paper with equations.

But I've had to make the whole problem !
Your diagram appears to illustrate what Eclair_de_XII did in posts 4, 10, 13.
 
  • #18
haruspex said:
Your diagram appears to illustrate what Eclair_de_XII did in posts 4, 10, 13.
Yes, I know. It is that for this problem, the only integral is lambda.dl = lambda · L = Q. Sorry for my English I'm not native.
 

Similar threads

  • · Replies 4 ·
Replies
4
Views
2K
  • · Replies 18 ·
Replies
18
Views
2K
Replies
11
Views
2K
Replies
6
Views
3K
  • · Replies 12 ·
Replies
12
Views
1K
Replies
6
Views
2K
  • · Replies 11 ·
Replies
11
Views
2K
  • · Replies 7 ·
Replies
7
Views
924
  • · Replies 9 ·
Replies
9
Views
2K
  • · Replies 1 ·
Replies
1
Views
3K