Is there an analytical solution to the following problem?

Click For Summary

Discussion Overview

The discussion revolves around the analytical solution to a 1D transient heat diffusion problem described by a differential equation with specific boundary conditions. Participants explore various methods, including Laplace transforms and steady-state solutions, to derive the temperature distribution over time and space.

Discussion Character

  • Exploratory
  • Technical explanation
  • Mathematical reasoning
  • Debate/contested

Main Points Raised

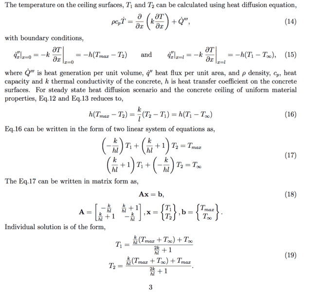
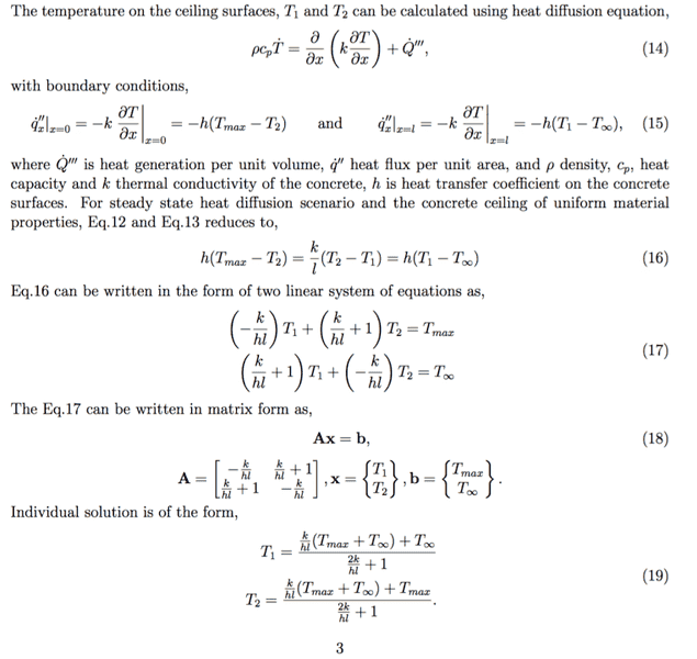
  • One participant presents the differential equation governing the heat diffusion problem and specifies the boundary conditions.
  • Another participant inquires about the definition of ##T_{\max}##, to which it is clarified that both ##T_{\max}## and ##T_{\infty}## are constants.
  • A suggestion is made to apply the Laplace transform to the time variable to find a solution.
  • Following the Laplace transform, a participant derives an expression for ##\hat T(x,p)## and sets up equations based on boundary conditions to solve for unknown constants.
  • There is a discussion about finding the inverse Laplace transform and the challenges associated with it.
  • One participant proposes an alternative approach by first solving for the steady-state solution before addressing the transient behavior.
  • Multiple participants share their analytical solutions and express confusion regarding the relationship between ##T_{\infty}## and the steady-state solution.
  • Corrections are made regarding the formulation of boundary conditions and initial conditions, with some participants noting mistakes in previous posts.
  • There is a debate about the existence of a steady-state solution, with one participant questioning whether it can be proven mathematically or if it is assumed based on physical reasoning.
  • Participants share their derived expressions for the steady-state solution and initial conditions, leading to further refinement and corrections.

Areas of Agreement / Disagreement

Participants express differing views on the best approach to solve the problem, with some favoring the Laplace transform method and others advocating for a steady-state solution first. The discussion remains unresolved regarding the existence of a stable steady-state solution and the correct formulation of boundary conditions.

Contextual Notes

Participants note potential mistakes in the formulation of boundary conditions and initial conditions, indicating that these may affect the derived solutions. There is also mention of the need to express results in terms of specific parameters, which may introduce additional complexity.

deepakphysics
Messages
9
Reaction score
0
Differential equation
\begin{align}
\frac{{\partial}^2 T (x,t)}{\partial x^2} = \frac{1}{\alpha}\frac{\partial T(x,t)}{\partial t},
\end{align}

boundary conditions
\begin{equation}
\begin{aligned}
T(x, 0) = T_\infty \\
-k\frac{\partial T(0,t)}{\partial x}= h(T_{max} - T(0,t)) \\
-k\frac{\partial T(l,t)}{\partial x}= h(T(l,t) - T_\infty).
\end{aligned}
\end{equation}

It is 1D transient heat diffusion problem. x[0,L] represents a 1D spatial domain and t[0,tao] represents a time domain. T(x,t) is temperature distribution over the spatial and temporal domain. \alpha = k/(cp*rho), where k is thermal conductivity, cp heat capacity and \rho thermal conductivity.
 
Last edited by a moderator:
Physics news on Phys.org
what is ##T_{\max}##
 
T_max is a constant value. T_infinity is also a constant value.
 
Last edited:
then try to use the Laplace transform in the variable t
 
Yes doing that we will arrive at solution T(x,t) = (A*cos(w*x)+Bsin(w*x))*T_inf*e^(-alpha*w^2*t).
I have problem now finding values of A, B and W with given boundary conditions.
 
I have got the following Laplace transform
$$\hat T(x,p)=\frac{T_\infty}{p}+C_1e^{x\sqrt{p/\alpha}}+C_2e^{-x\sqrt{p/\alpha}}$$
then we have two equations:
$$k\hat T_x(0,p)=\frac{hT_\max}{p}-h\hat T(0,p),\quad k\hat T_x(l,p)=h\hat T(l,p)-\frac{h T_\infty}{p}$$ and two unknown functions ##C_j=C_j(p),\quad j=1,2## I do not see what is the problem
 
Last edited:
Thank you for the solution. It is possible to find C1 and C2. I got as follows (picture attached) a = alpha Tm = T_max, Ti = T_inf. I am stuck again..how can we find inverse laplace ?
 

Attachments

  • Screen Shot 2016-05-21 at 19.25.51.png
    Screen Shot 2016-05-21 at 19.25.51.png
    33 KB · Views: 600
There is a much easier way of solving this problem analytically. The first step is to solve for the steady state solution. What do you get for the steady state solution?

Chet
 
Hi
I have following analytical solution (Please find it in the attachment). T1 and T2 are temperature at the surface of inner and outer wall.
 

Attachments

  • Screen Shot 2016-06-05 at 00.17.44.png
    Screen Shot 2016-06-05 at 00.17.44.png
    35.4 KB · Views: 697
  • Screen Shot 2016-06-05 at 00.16.59.png
    Screen Shot 2016-06-05 at 00.16.59.png
    9 KB · Views: 667
  • #10
deepakphysics said:
Hi
I have following analytical solution (Please find it in the attachment). T1 and T2 are temperature at the surface of inner and outer wall.
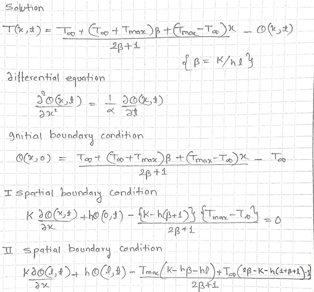
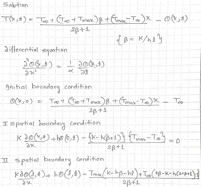
OK. Let ##T(x,\infty)## represent this final steady state solution. Now express the temperature at an arbitrary time t as follows:
$$T(x,t)=T(x,\infty)-\theta (x,t)$$
Now, if you substitute this into the differential equation, boundary conditions and initial conditions, what do you get (in terms of ##\theta##)?
 
  • #11
This is what I got. One more thing, T_infty is not the temperature corresponding to steady state solution. It is a ambient temperature. For some reason it should be taken as a variable. The results need to be expressed in terms of T_infty and T_max and other material parameters (h, l, k ).
 

Attachments

  • Screen Shot 2016-06-05 at 11.39.38.png
    Screen Shot 2016-06-05 at 11.39.38.png
    54.6 KB · Views: 666
  • #12
deepakphysics said:
This is what I got. One more thing, T_infty is not the temperature corresponding to steady state solution. It is a ambient temperature. For some reason it should be taken as a variable. The results need to be expressed in terms of T_infty and T_max and other material parameters (h, l, k ).
I understand all this. Now please answer my question in the previous post.
 
  • #13
Thank you. I have tried to answer your question. I have attached a screen shot in the previous reply (forgot to mention about the attached screen shot).
 
  • #14
deepakphysics said:
Thank you. I have tried to answer your question. I have attached a screen shot in the previous reply (forgot to mention about the attached screen shot).
Oh, sorry. I missed that.

There is a mistake in your equation for ##T(x,\infty)##. The x should be an x/l. Please make this correction in your initial condition and boundary conditions, and also reduce these equations to a common denominator.
 
  • Like
Likes   Reactions: deepakphysics
  • #15
Thank you for the correction. Please find the updated results in the attachments.
 

Attachments

  • Screen Shot 2016-06-05 at 17.09.46.png
    Screen Shot 2016-06-05 at 17.09.46.png
    65.2 KB · Views: 674
  • #16
deepakphysics said:
Thank you for the correction. Please find the updated results in the attachments.
My solution for ##T(x,/infty)## does not match yours. Based on the boundary condition equations you gave in your first post, I get:
$$T(x,\infty)=\frac{-T_{max}+\beta (T_{max}+T_{\infty})+(T_{max}-T_{\infty})x/l}{(2\beta -1)}$$
Note the minus sign in the denominator. Try this and see if it satisfies you boundary conditions.

I suggest that, when you do the formulation in terms of ##\theta##, you continue to use ##\beta## in the equations.
 
  • #17
I think I did little mistake in the first post. There should have been a minus sign in the left hand side of both equations representing spatial boundary conditions. Also I did mistake in my previous reply. I think I have corrected those mistake this time. Please find the outcome in the attachments I) in terms of \beta and ii) interms of (k,h and l).
 

Attachments

  • transientsteady.PNG
    transientsteady.PNG
    45.6 KB · Views: 540
  • transientsteadynobeta.PNG
    transientsteadynobeta.PNG
    47.2 KB · Views: 601
  • #18
Chestermiller said:
There is a much easier way of solving this problem analytically. The first step is to solve for the steady state solution. What do you get for the steady state solution?

Chet
We can prove mathematically that the steady state solution exists? That is if ##T(x,t)## is a function that satisfies (1) then the limit ##\lim_{t \to \infty}T(x,t)=f(x)## exists and it is finite?

OR we assume that it exists because we have to do with a physical process that will reach in some sort of equilibrium and that nothing can become infinite in a physical process?
 
  • #19
deepakphysics said:
I think I did little mistake in the first post. There should have been a minus sign in the left hand side of both equations representing spatial boundary conditions.
Yes. I missed this. I'm editing your original post to correct this.
Also I did mistake in my previous reply. I think I have corrected those mistake this time. Please find the outcome in the attachments I) in terms of \beta and ii) interms of (k,h and l).
I'll check it out in a little while.
 
  • #20
Delta² said:
We can prove mathematically that the steady state solution exists? That is if ##T(x,t)## is a function that satisfies (1) then the limit ##\lim_{t \to \infty}T(x,t)=f(x)## exists and it is finite?

OR we assume that it exists because we have to do with a physical process that will reach in some sort of equilibrium and that nothing can become infinite in a physical process?
I'm not a mathematician so I couldn't answer whether it can be proven mathematically that there is a stable steady state solution. I let the physics of the situation tell me this, based on an abundance of heat transfer experience. This problem obviously involves convective heat transfer at the two ends of the rod, with the external temperatures being Tmax and T.
 
  • #21
deepakphysics said:
I think I did little mistake in the first post. There should have been a minus sign in the left hand side of both equations representing spatial boundary conditions. Also I did mistake in my previous reply. I think I have corrected those mistake this time. Please find the outcome in the attachments I) in terms of \beta and ii) interms of (k,h and l).
I couldn't read what you had, but here's what I got (for the corrected boundary conditions):
$$T(x,\infty)=\frac{T_{max}+\beta (T_{max}+T_{\infty})-(T_{max}-T_{\infty})x/l}{(1+2\beta)}$$

Initial condition: $$\theta (x,0)=\frac{(T_{max}-T_{\infty})(\beta + x/l)}{(1+2\beta)}$$

Boundary condition at x = 0:$$\frac{\partial \theta}{\partial (x/l)}=\frac{\theta}{\beta}$$

Boundary condition at (x/l) = 1:$$\frac{\partial \theta}{\partial (x/l)}=-\frac{\theta}{\beta}$$
 

Similar threads

  • · Replies 4 ·
Replies
4
Views
4K
  • · Replies 0 ·
Replies
0
Views
4K
  • · Replies 5 ·
Replies
5
Views
4K
  • · Replies 3 ·
Replies
3
Views
4K
  • · Replies 3 ·
Replies
3
Views
4K
  • · Replies 3 ·
Replies
3
Views
3K
  • · Replies 2 ·
Replies
2
Views
2K
  • · Replies 1 ·
Replies
1
Views
4K
  • · Replies 6 ·
Replies
6
Views
2K
  • · Replies 8 ·
Replies
8
Views
3K