Bolter
- 262
- 31
- Homework Statement
- See image attached
- Relevant Equations
- Kirchhoff's 1st and 2nd law
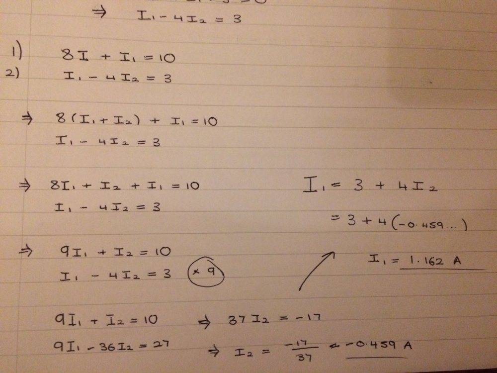
Struggling to see if I am doing this right or not from a section of a question I have been given
I have drawn out a sketch of the circuit again, and labelled as to what my 1st and 2nd closed loop to be to then apply Kirchhoff's 2nd law
I get a negative I_2 current which just indicates that my original assumption of the currents direction was wrong and it is in fact going the opposite way
So I believe that the current going through:
6 ohm resistor = 0.703 A
1 ohm resistor = 1.162 A
4 ohm resistor = 0.459 A
Is this right or have I miserably gone wrong somewhere?
Any help would be really appreciated! Thanks
I have drawn out a sketch of the circuit again, and labelled as to what my 1st and 2nd closed loop to be to then apply Kirchhoff's 2nd law
I get a negative I_2 current which just indicates that my original assumption of the currents direction was wrong and it is in fact going the opposite way
So I believe that the current going through:
6 ohm resistor = 0.703 A
1 ohm resistor = 1.162 A
4 ohm resistor = 0.459 A
Is this right or have I miserably gone wrong somewhere?

Any help would be really appreciated! Thanks
Last edited by a moderator: