Lagrangian rolling cylinders + small oscillations

Click For Summary

Homework Help Overview

The problem involves a point mass fixed inside a hollow cylinder that rolls without slipping on a flat horizontal surface. The task includes expressing the position of the point mass in terms of the cylinder's center, finding the Lagrangian, and determining the frequency of small oscillations about a stable equilibrium state.

Discussion Character

  • Exploratory, Conceptual clarification, Mathematical reasoning, Problem interpretation, Assumption checking

Approaches and Questions Raised

  • Participants discuss the geometry of the situation to express the position of the point mass and differentiate to find its velocity. There are attempts to derive the Lagrangian and apply the Euler-Lagrange equation, with some questioning the correctness of the Lagrangian formulation. Others explore the implications of the cylinder's rolling condition and the assumptions made regarding the motion.

Discussion Status

Some participants have provided insights into the derivation of the Lagrangian and the assumptions regarding the motion of the cylinder. There is an ongoing exploration of the implications of rolling without slipping and the relationship between translational and rotational velocities. Multiple interpretations of the equations of motion are being discussed, with no explicit consensus reached yet.

Contextual Notes

Participants note the importance of the rolling condition and the surface on which the cylinder rolls, as well as the potential confusion arising from notation related to velocities and derivatives. There are indications of missing clarity on the definitions and assumptions used in the problem setup.

phys
Messages
12
Reaction score
0

Homework Statement


A point mass m is fixed inside a hollow cylinder of radius R, mass M and moment of inertia I = MR^2. The cylinder rolls without slipping

i) express the position (x2, y2) of the point mass in terms of the cylinders centre x. Choose x = 0 to be when the point mass is at the bottom.
Show the velocity of the point mass is:

x2' = x'(1-cos(x/R))
y2' = x'(sin(x/R))

ii) find the lagrangian for the generalised co-ordinate x
and write down the Euler lagrange equation to obtain the equation of motion for x (DO NOT SOLVE)

iii) find the frequency of small oscillations about the stable equilibrium state

Homework Equations


L = T-V

The Attempt at a Solution


i) can find this just by using the geometry of the situation and then differentiating
ii) I *think* the lagrangian is:
L = (x'^2)(M+m)(1-cos(x/R)) + mgRcos(x/R)

using the Euler lagrange equation I think the equation of motion is:

2x''(M+m)[1-cos(x/R)] - (x')^2((M+m)/R)(sin(x/R) + mgsin(x/R) = 0

iii) this is where I am stuck...
stable equilibrium is at x = 0
if you use sin x = x then the e.o.m reduces to:

2x''(M+m)(1-cos(x/R)) + mgx/R = 0
I have neglected the middle term since x/R^2 is negligible...

I was expecting to get an equation of the form x'' + w^2 x = 0 were w is the frequency ... however when expanding the cos you don't get this...

Have I done something really wrong?
 

Attachments

  • Screen Shot 2017-08-30 at 13.31.34.png
    Screen Shot 2017-08-30 at 13.31.34.png
    4.7 KB · Views: 697
Physics news on Phys.org
phys said:
ii) I *think* the lagrangian is:
L = (x'^2)(M+m)(1-cos(x/R)) + mgRcos(x/R)
Please show your work. It does not look correct to me.

phys said:
if you use sin x = x then the e.o.m reduces to:
This is a correct assumption for linearising the equation near the stable point. However, if ##\sin(x) = \mathcal O(x)##, then ##\cos(x) = 1 + \mathcal O(x^2)##.
 
Thanks ... for the lagrangian
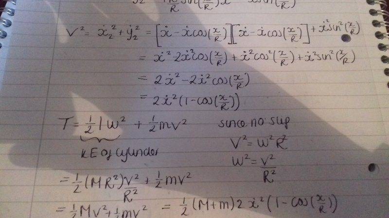
i thought the KE would be rotational KE of the cylinder which is 0.5Iw^2 plus the KE of the mass = 0.5m(x2'^2+y2'^2)
w^2 = v^2/R^2 since no slip
I have attached my working ... am I doing this really wrong?
 

Attachments

  • 1.jpg
    1.jpg
    44.8 KB · Views: 584
  • 2.jpg
    2.jpg
    39.6 KB · Views: 522
You say the cylinder rolls without slipping, but what does it roll upon? Is it on a horizontal surface, a set of rollers, across a hill, or what? The kinematics makes all kinds of difference here.
 
It is rolling on a flat horizontal surface
 
A couple of things that I noticed in your derivation of L:

You used the same symbol V for the speed of the point mass and also for the speed of the center of the cylinder. But these speeds are different.

You took the kinetic energy of the cylinder to be (1/2)Icω2 where Ic is the moment of inertia of the cylinder about its central axis. But the cylinder is not just rotating about this axis. It is also in translational motion. (Or, you can think of the cylinder as instantaneously rotating about the point of contact of the cylinder with the ground.)
 
Ah yes! knew i'd made a stupid mistake somewhere - thanks for pointing out!
Just to check... the translational velocity of the C of M is v'
and therefore the rotational velocity w is x'/R?
thanks so much
 
phys said:
Just to check... the translational velocity of the C of M is v'
and therefore the rotational velocity w is x'/R?
I'm a little confused with the notation. In most of your work, a prime appears to denote a time derivative. So, v' would be an acceleration.

If x denotes the position of the CoM, then x'/R would be the rotational velocity (or, angular velocity) of the cylinder.
 
Ah yes sorry .. I meant x'
Thanks
 

Similar threads

Replies
6
Views
2K
Replies
24
Views
4K
  • · Replies 1 ·
Replies
1
Views
2K
Replies
25
Views
4K
  • · Replies 5 ·
Replies
5
Views
2K
  • · Replies 1 ·
Replies
1
Views
1K
  • · Replies 7 ·
Replies
7
Views
2K
  • · Replies 16 ·
Replies
16
Views
2K
Replies
1
Views
2K