Law of Mass Action, where does mass come from?

  • Thread starter Thread starter rwooduk
  • Start date Start date
  • Tags Tags
    Law Mass
Click For Summary

Homework Help Overview

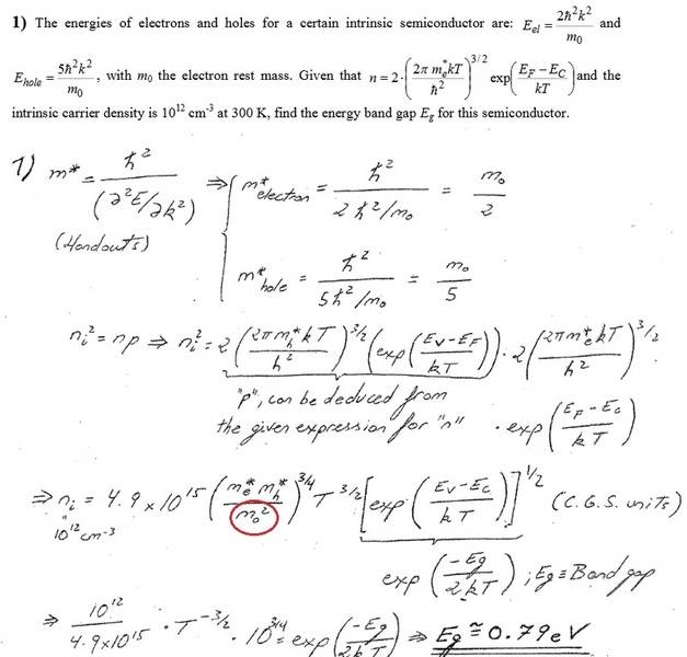
The discussion revolves around the Law of Mass Action, specifically questioning the origin of the mass term \( m_0 \) in a given context. Participants are exploring the implications of this term within the framework of their calculations and its role in the equations presented.

Discussion Character

  • Exploratory, Assumption checking, Conceptual clarification

Approaches and Questions Raised

  • The original poster seeks clarification on the origin of the mass term \( m_0 \) after a lengthy revision session. Some participants discuss its convenience in calculations and its relation to a specific numerical factor. Others express confusion regarding the calculations of effective masses and the differentiation process involved.

Discussion Status

Participants are actively engaging with the problem, raising questions about the assumptions made in the calculations and the clarity of the provided answers. There is acknowledgment of confusion, but also an indication that some understanding of the method has been achieved.

Contextual Notes

There appears to be a lack of clarity regarding the differentiation steps and the introduction of certain terms in the equations, which may be contributing to the confusion among participants.

rwooduk
Messages
757
Reaction score
59

Homework Statement


9pBGtCA.jpg


Homework Equations


I need help.

The Attempt at a Solution


Please, please, please could someone tell me where the mass m0 term comes from? I'm at the end of a 7 hour revision session and need help.
 
Physics news on Phys.org
The ##m_0## inside the parentheses has been put in for convenience. It is accounted for in the number ##4.9 \times 10^{15}## which includes a factor of ##m_0^{3/2}##.
 
  • Like
Likes   Reactions: rwooduk
TSny said:
The ##m_0## inside the parentheses has been put in for convenience. It is accounted for in the number ##4.9 \times 10^{15}## which includes a factor of ##m_0^{3/2}##.

Thanks very much for that, it had me very confused.
 
It appears to me that the calculations of ##m^*_e## and ##m^*_h## are off by factors of 2.
 
  • Like
Likes   Reactions: rwooduk
TSny said:
It appears to me that the calculations of ##m^*_e## and ##m^*_h## are off by factors of 2.

Thanks. I'm not sure why he has added the term, and also he doesn't appear to have differentiated twice the energy at the beginning of the problem, he's just removed k. Very confusing answer to this question, but least I have the method now.
 

Similar threads

  • · Replies 6 ·
Replies
6
Views
4K
Replies
10
Views
2K
  • · Replies 1 ·
Replies
1
Views
2K
Replies
1
Views
2K
  • · Replies 3 ·
Replies
3
Views
2K
  • · Replies 9 ·
Replies
9
Views
4K
  • · Replies 2 ·
Replies
2
Views
3K
  • · Replies 1 ·
Replies
1
Views
3K
  • · Replies 2 ·
Replies
2
Views
3K
  • · Replies 6 ·
Replies
6
Views
4K