Limit involving a hyperbolic function

Click For Summary

Discussion Overview

The discussion revolves around evaluating the limit \(\lim_{x\rightarrow 0}\frac{\sinh (x)}{x}\). Participants explore various methods for solving this limit, including substitutions, L'Hôpital's rule, and definitions of derivatives, while addressing specific steps in the reasoning that some find unclear.

Discussion Character

  • Exploratory
  • Technical explanation
  • Mathematical reasoning
  • Debate/contested

Main Points Raised

  • Some participants express confusion over a specific manipulation involving the exponent in the limit evaluation, questioning how the minus sign is handled.
  • Several participants suggest using substitutions, such as \(x = -u\), to clarify the limit's evaluation.
  • There is mention of L'Hôpital's rule as a method to resolve the indeterminate form \(\frac{0}{0}\) in the limit.
  • Some participants provide explanations based on the definition of the derivative to justify the limit's value being 1.
  • One participant notes that the limit evaluation technique discussed is specific to the case as \(x\) approaches 0 and may not generalize to other limits.

Areas of Agreement / Disagreement

Participants do not reach a consensus on the clarity of the specific manipulation involving the exponent. While some agree on the validity of L'Hôpital's rule and the derivative definitions, others remain uncertain about the reasoning behind certain steps in the limit evaluation.

Contextual Notes

Participants highlight that the limit involves an indeterminate form and that the reasoning may depend on specific mathematical properties or rules that are not universally applicable outside this context.

Yankel
Messages
390
Reaction score
0
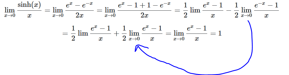
Hello all,

I am trying to solve a limit:

\[\lim_{x\rightarrow 0}\frac{sinh (x)}{x}\]

I found many suggestions online, from complex numbers to Taylor approximations.

Finally I found a reasonable solution, but one move there doesn't make sense to me.

I am attaching a picture:

View attachment 9401

I have marked in blue the move I can't understand. How does the minus from the exponent goes down before the half ?

And one more thing, at the final move, I know that the limit is 1, I know it as a rule, but why is this rule apply ? Thank you !
 

Attachments

  • sinhx.PNG
    sinhx.PNG
    8.3 KB · Views: 196
Physics news on Phys.org
Yankel said:
Hello all,

I am trying to solve a limit:

\[\lim_{x\rightarrow 0}\frac{sinh (x)}{x}\]

I found many suggestions online, from complex numbers to Taylor approximations.

Finally I found a reasonable solution, but one move there doesn't make sense to me.

I am attaching a picture:
I have marked in blue the move I can't understand. How does the minus from the exponent goes down before the half ?

And one more thing, at the final move, I know that the limit is 1, I know it as a rule, but why is this rule apply ? Thank you !
They are employing a trick that only works in this one limit. (ie. You can't do this for anything but [math]x \to 0[/math]. ) Since everything is nice and continuous:
[math]\lim_{x \to 0} e^{-x} = \lim_{x \to 0} e^x[/math]

-Dan
 
Yankel said:
I have marked in blue the move I can't understand. How does the minus from the exponent goes down before the half ?

Hi Yankel,

It's a substitution. It's a bit confusing that they substitute with the same letter though. I recommend not doing that.
Anyway, substitute $x=-u$ and we get:
$$-\frac 12 \lim_{x\to 0} \frac{e^{-x}-1}{x} = -\frac 12 \lim_{u\to 0} \frac{e^{u}-1}{-u} = +\frac 12 \lim_{u\to 0} \frac{e^{u}-1}{u}
$$
Now replace $u$ by $x$ to get:
$$+\frac 12 \lim_{u\to 0} \frac{e^{u}-1}{u}=+\frac 12 \lim_{x\to 0} \frac{e^{x}-1}{x}$$

Yankel said:
And one more thing, at the final move, I know that the limit is 1, I know it as a rule, but why is this rule apply ? Thank you !

It's L'Hôpital's rule. Both the numerator and the denominator approach 0. In such indeterminate cases we can replace both by their derivative to get:
$$\lim_{x\to 0} \frac{e^{x}-1}{x} = \lim_{x\to 0} \frac{(e^{x}-1)'}{x'} = \lim_{x\to 0} \frac{e^{x}}{1} = 1$$
Alternatively we can recognize the definition of a derivative and see:
$$\frac d{dx}(e^x)\big|_{x=0}=\lim_{h\to 0} \frac{e^{0+h}-e^0}{h-0}=\lim_{x\to 0} \frac{e^{x}-1}{x} = e^0=1$$

For the record, we could also have applied L'Hôpital's rule immediately at the beginning and get:
$$\lim_{x\to 0}\frac{\sinh(x)}{x} = \lim_{x\to 0}\frac{\sinh'(x)}{x'}= \lim_{x\to 0}\frac{\cosh(x)}{1}=\frac{\cosh(0)}1=1$$
 
recall the definition of a derivative at a specific value of $x=a$ in the domain of $f(x)$ ...

$\displaystyle f'(a) = \lim_{x \to a} \dfrac{f(x) - f(a)}{x-a}$

for $f(x) = e^x$ ...

$\displaystyle \lim_{x \to 0} \dfrac{e^x - 1}{x} = \lim_{x \to 0} \dfrac{e^x - e^0}{x-0} = \lim_{x \to 0} \dfrac{f(x) - f(0)}{x-0} = f'(0) = 1$

for $g(x) = e^{-x}$ ...

$\displaystyle \lim_{x \to 0} \dfrac{e^{-x} - 1}{x} = \lim_{x \to 0} \dfrac{e^{-x} - e^0}{x-0} = \lim_{x \to 0} \dfrac{g(x) - g(0)}{x-0} = g'(0) = -1$

Therefore ...

$\displaystyle \dfrac{1}{2}\bigg[ \lim_{x \to 0} \dfrac{e^x - 1}{x} - \lim_{x \to 0} \dfrac{e^{-x} - 1}{x} \bigg] = \dfrac{1}{2}[1 - (-1)] = 1$
 
Yankel said:
Hello all,

I am trying to solve a limit:

\[\lim_{x\rightarrow 0}\frac{sinh (x)}{x}\]

I found many suggestions online, from complex numbers to Taylor approximations.

Finally I found a reasonable solution, but one move there doesn't make sense to me.

I am attaching a picture:
I have marked in blue the move I can't understand. How does the minus from the exponent goes down before the half ?

And one more thing, at the final move, I know that the limit is 1, I know it as a rule, but why is this rule apply ? Thank you !

The most concise way in this case, since it is a $\displaystyle \frac{0}{0}$ indeterminate form, is to use L'Hospital's Rule.

$\displaystyle \begin{align*} \lim_{x \to 0} \frac{\sinh{ \left( x \right) }}{x} &= \lim_{x \to 0} \frac{\cosh{\left( x \right) }}{1} \\ &= \lim_{x \to 0} \cosh{ \left( x \right) } \\ &= \cosh{ \left( 0 \right) } \\ &= 1 \end{align*}$
 

Similar threads

  • · Replies 1 ·
Replies
1
Views
1K
  • · Replies 9 ·
Replies
9
Views
4K
  • · Replies 3 ·
Replies
3
Views
1K
  • · Replies 4 ·
Replies
4
Views
3K
  • · Replies 3 ·
Replies
3
Views
2K
  • · Replies 3 ·
Replies
3
Views
2K
  • · Replies 4 ·
Replies
4
Views
3K
  • · Replies 53 ·
2
Replies
53
Views
7K
  • · Replies 1 ·
Replies
1
Views
1K
  • · Replies 5 ·
Replies
5
Views
2K