Limit Question: Solving for (Infinity)^0 with n^(1/3) and (2+n^(1/3))^(1/n)

  • Thread starter Thread starter transgalactic
  • Start date Start date
  • Tags Tags
    Limit
Click For Summary

Homework Help Overview

The discussion revolves around evaluating the limit of the expression \([2+n^{1/3}]^{1/n}\) as \(n\) approaches infinity, which presents an indeterminate form of \((\infty)^0\). Participants are exploring the implications of this limit and the methods to analyze it.

Discussion Character

  • Exploratory, Assumption checking, Mathematical reasoning

Approaches and Questions Raised

  • Participants discuss various interpretations of the limit, including the potential forms it could take as \(n\) approaches infinity. There are attempts to apply logarithmic transformations and L'Hopital's Rule to analyze the limit further. Questions arise regarding the nature of indeterminate forms and how to resolve them.

Discussion Status

The conversation is active, with participants providing insights and suggesting methods for approaching the limit. There is a recognition of the indeterminate nature of the expression, and some participants have offered guidance on using logarithmic properties and L'Hopital's Rule to navigate the problem.

Contextual Notes

There is mention of a file containing the original question, which some participants are unable to access. Additionally, the discussion includes various interpretations of the limit, indicating that not all participants are aligned on the specifics of the problem setup.

transgalactic
Messages
1,386
Reaction score
0
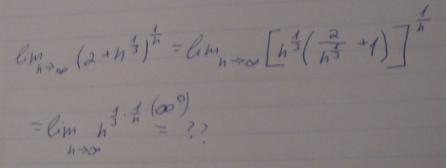
i added a file with the question and how i tried to solve it

lim [2+n^(1/3)]^(1/n)

in the end i always get (infinity)^0 type of object
then i got stuck
what to do next??
 

Attachments

  • 6.JPG
    6.JPG
    4.5 KB · Views: 370
Physics news on Phys.org
I am unable to see your file, so what limit are you looking for?

[tex]\lim_{x \to 0^-} [2+x^{\frac{1}{3}}]^{\frac{1}{x}}[/tex] or

[tex]\lim_{x \to 0^+} [2+x^{\frac{1}{3}}]^{\frac{1}{x}}[/tex] or

[tex]\lim_{x \to \infty} [2+x^{\frac{1}{3}}]^{\frac{1}{x}}[/tex] ?

Edit:
Just a thought- let [tex]p=\lim_{x \to \infty} \frac{1}{x}[/tex] and evaluate. Then substitute into [tex]\lim_{x \to \infty} [2+x^{\frac{1}{3}}]^p[/tex] and evaluate.
 
Last edited:
transgalactic said:
i added a file with the question and how i tried to solve it

lim [2+n^(1/3)]^(1/n)

in the end i always get (infinity)^0 type of object
then i got stuck
what to do next??

As n goes to infinity, this goes to 1.

As n gets very large, you may approximate this by [itex]n^{1/(3n)}[/itex]. taking the natural log of this (or log in any base), you can show that the ln goes to 0 as n goes to infinity. hence the initial function tends to e^0 = 1.
 
ooohh sorry i forgot a part in the limit

its

lim [2+n^(1/3)]^(1/n)
n>>infinity


and i did got

lim n^[1/(3n)]

you say i need to take log

it will be

log X =1/(3n)
n

i didnt understand how to solve it that way
 
Last edited:
transgalactic said:
ooohh sorry i forgot a part in the limit

its

lim [2+n^(1/3)]^(1/n)
n>>infinity

Great.

Then, as I mentioned earlier, evaluate:
[tex]p=\lim_{x \to \infty} \frac{1}{x}[/tex]

And plug into:
[tex]\lim_{x \to \infty} [2+x^{\frac{1}{3}}]^p[/tex]

Any non-zero base, raised to the power of [tex]0[/tex], is...
 
your first limit P gives me 0

the second one is infinity

and infinity^0 is not 1
its undefined
 
transgalactic said:
ooohh sorry i forgot a part in the limit

its

lim [2+n^(1/3)]^(1/n)
n>>infinity


and i did got

lim n^[1/(3n)]

you say i need to take log

it will be

log X =1/(3n)
n

i didnt understand how to solve it that way

You need to consider the limit of [itex]\frac{\ln n}{n}[/itex]. The limit of this as n goes to infinity is zero. This is one of the basic limits and you probably can find the proof in yoru textbook.
 
For the second limit atqamar posted [tex]\lim_{x \to \infty} [2+x^{\frac{1}{3}}]^p[/tex] is going to be 1 because anything other than zero raised to the 0 power is 1. How did you get undefined?

Edit: How did you get infinity to the zero power? Thats not what the base is going to be
 
Last edited:
the base is :

2+ x^(1/3)

if x gose to infinity the the base gose to infinity

and p=0

it gives me (infinity)^0

and its undefined
 
  • #10
transgalactic said:
the base is :

2+ x^(1/3)

if x gose to infinity the the base gose to infinity

and p=0

it gives me (infinity)^0

and its undefined

It is undefined because this is what is called an "indeterminate power"; other examples are 0^0 and 1^infinity. Nonetheless there will be a value for it.

The solution involves one of the more exotic applications of L'Hopital's Rule, since this first has to be wrestled into the form of an indeterminate ratio 0/0 or infinity/infinity.

You start off by taking the logarithm of your expression, which will be

lim n-> inf. (1/n) ln [2 + n^(1/3)] ; this now has the apparent result 0 · infinity (an indeterminate product).

You next rewrite this product as a ratio, since f · g = f / (1/g) ; it is usually best to put the logarithmic expression in the numerator to apply L'Hopital's Rule, since we're going to be taking derivatives:

lim n-> inf. ( ln [2 + n^(1/3) ] ) / n .

This now has the apparent value infinity/infinity, making it a candidate for L'Hopital's Rule. Differentiate numerator and denominator separately:

lim n-> inf. [ ( 1/{ 2 + n^(1/3) } ) · ( 1/{ 3 · n^(2/3) } ) ] / 1 [using the Chain Rule on the numerator]

Since n appears in the denominator raised to positive powers, once this compound fraction is simplified, the limit is (1/2)·(1/3)·0 = 0 .

This, however, is the natural logarithm of the original expression, so this limit is the natural logarithm of our original limit. So the original limit is e^0 = 1 .

This is a formal technique for dealing with such problems; as nrqed and atqamar point out, though, this one can sort of be "eyeballed" for a solution...
 
Last edited:

Similar threads

  • · Replies 7 ·
Replies
7
Views
2K
  • · Replies 13 ·
Replies
13
Views
4K
  • · Replies 23 ·
Replies
23
Views
2K
Replies
17
Views
2K
  • · Replies 24 ·
Replies
24
Views
2K
Replies
17
Views
3K
Replies
2
Views
1K
  • · Replies 8 ·
Replies
8
Views
5K
  • · Replies 20 ·
Replies
20
Views
3K
  • · Replies 2 ·
Replies
2
Views
1K