Linear Transformations: Proving Rules & Demonstration

Click For Summary
SUMMARY

This discussion focuses on proving that specific functions are linear transformations using the properties T(u+v) = T(u) + T(v) and T(Lu) = LT(u). The transformation T is defined for vectors in R³ and R², with examples provided for both cases. The participants confirm that the transformations satisfy the linearity conditions, demonstrating that T(u+v) equals Tu+Tv and T(Lu) equals LTu for given vectors u and v, and scalar L.

PREREQUISITES
  • Understanding of linear algebra concepts, specifically linear transformations.
  • Familiarity with vector notation and operations in R² and R³.
  • Knowledge of scalar multiplication and its properties.
  • Ability to manipulate and simplify vector expressions.
NEXT STEPS
  • Study the properties of linear transformations in detail.
  • Learn about matrix representations of linear transformations.
  • Explore the implications of linearity in higher-dimensional spaces.
  • Investigate applications of linear transformations in computer graphics and data science.
USEFUL FOR

Students and professionals in mathematics, particularly those studying linear algebra, as well as educators looking to enhance their understanding of linear transformations and their proofs.

Ereisorhet
Messages
2
Reaction score
0
Good afternoon people.
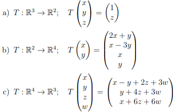
So i have to demonstrate that the problems below are Linear Transformations, i have searched and i know i have to do it using a couple of "rules", it is a linear transformation if:
T(u+v) = T(u) + T(v) and T(Lu) = LT(u), the thing is that i really can't understand how to develop that and find the demonstration.
Thanks for reading.

View attachment 9033
 

Attachments

  • transfnob.PNG
    transfnob.PNG
    6.5 KB · Views: 167
Physics news on Phys.org
For (a), let [tex]u= \begin{pmatrix}u_1 \\ u_2 \\ u_3\end{pmatrix}[/tex] and [tex]u= \begin{pmatrix}v_1 \\ v_2 \\ v_3\end{pmatrix}[/tex].

We are told that "[tex]T\begin{pmatrix}x \\ y \\ z \end{pmatrix}= \begin{pmatrix}1 \\ z \end{pmatrix}[/tex] so [tex]Tu= \begin{pmatrix}1 \\ u_3\end{pmatrix}[/tex] and [tex]Tv= \begin{pmatrix}1 \\ v_3\end{pmatrix}[/tex]. So [tex]Tu+ Tv= \begin{pmatrix}2 \\ u_3+ v_3 \end{pmatrix}[/tex].
But [tex]u+ v= \begin{pmatrix}u_1+ v_1 \\ u_2+ v_2 \\ u_3+ v_3 \end{pmatrix}[/tex] so [tex]T(u+ v)= \begin{pmatrix}1 \\ u_3+ v_3\end{pmatrix}[/tex]. Is T(u+ v)= Tu+ Tv?

For (b), let [tex]u= \begin{pmatrix}u_1 \\ u_2 \end{pmatrix}[/tex] and [tex]v= \begin{pmatrix}v_1 \\ v_2 \end{pmatrix}[/tex]. [tex]Tu= \begin{pmatrix} 2u_1+ u_2 \\ u_1- 3u_2 \\ u_1 \\ u_ 2 \end{pmatrix}[/tex] and [tex]Tv= \begin{pmatrix} 2v_1+ v_2 \\ v_1- 3v_2 \\ v_1 \\ v_2 \end{pmatrix}[/tex]. So [tex]Tu+ Tv= \begin{pmatrix}2u_1+ u_2+ 2v_1+ v_2 \\ u_1- 3u_2+ v_2- 3v_2 \\ u_1+ v_2 \\ u_2+ v_2 \end{pmatrix}[/tex].
[tex]u+ v= \begin{pmatrix}u_1+ v_1 \\ u_2+ v_2 \end{pmatrix}[/tex] so [tex]T(u+ v)= \begin{pmatrix}2(u_1+ v_1)+ (u_2+ v_2) \\ (u_1+ v_1)- 3(u_2+ v_3) \\ u_1+ v_1 \\ u_2+ v_2 \end{pmatrix}[/tex].

Do you see that those are the same, so T(u+ v)= Tu+ Tv?

Now we need to show that "T(Lu)= LTu" where L is a "scalar" (a number). [tex]Lu= \begin{pmatrix}Lu_1 \\ Lu_2 \end{pmatrix}[/tex] so [tex]T(Lu)= \begin{pmatrix} 2Lu_1+ Lu_2 \\ Lu_1- 3Lu_2 \\ Lu_1 \\ Lu_2 \end{pmatrix}[/tex] and [tex]LTu= L\begin{pmatrix}2u_1+ u_2 \\ u_1- 3u_2 \\ u_1 \\ u_2\end{pmatrix}= \begin{pmatrix}L(2u_1+ u_2) \\ L(u_1- 3u_2) \\ Lu_1 \\ Lu_2 \end{pmatrix}[/tex]. Do you see that T(Lu)= LTu?
 

Similar threads

  • · Replies 1 ·
Replies
1
Views
3K
  • · Replies 2 ·
Replies
2
Views
2K
  • · Replies 9 ·
Replies
9
Views
3K
  • · Replies 1 ·
Replies
1
Views
2K
  • · Replies 9 ·
Replies
9
Views
2K
  • · Replies 3 ·
Replies
3
Views
3K
  • · Replies 3 ·
Replies
3
Views
1K
  • · Replies 2 ·
Replies
2
Views
2K
  • · Replies 3 ·
Replies
3
Views
4K
  • · Replies 6 ·
Replies
6
Views
3K