Proving Linear Transformation of V with sin(x),cos(x) & ex

Click For Summary

Discussion Overview

The discussion centers on proving that a differential operator defined on a subspace of continuous functions, specifically involving the functions \( e^x \), \( \sin(x) \), and \( \cos(x) \), is a linear transformation. Participants explore the requirements for linearity and the implications of including trigonometric functions in the proof.

Discussion Character

  • Technical explanation
  • Conceptual clarification
  • Debate/contested
  • Mathematical reasoning

Main Points Raised

  • Some participants suggest that to prove \( T \) is a linear transformation, one must show it is well-defined and linear, specifically that \( T(f + g) = T(f) + T(g) \) and \( T(\lambda f) = \lambda T(f) \) for functions \( f, g \) in \( V \).
  • Others express confusion about the necessity of including trigonometric functions in their proofs and whether the differential operator's linearity applies to the specific subspace \( V \).
  • Some participants note that the differential operator is generally linear on all differentiable functions, implying it must also be linear on the subset \( V \).
  • A later reply questions whether the solution presented is merely a restatement from a textbook and emphasizes the importance of understanding the underlying concepts rather than copying solutions.
  • Participants discuss the relationship between the mapping of \( T \) and the containment of functions within \( T(V) \), with some clarifying that \( T \) maps \( V \) into itself, denoted as \( T(V) = V \).

Areas of Agreement / Disagreement

Participants generally agree on the need to establish the linearity of the operator and its mapping properties. However, there is uncertainty regarding the role of trigonometric functions in the proof and whether the presented solution adequately addresses the problem.

Contextual Notes

There are limitations in the discussion regarding the assumptions made about the functions in \( V \) and the specific conditions under which the differential operator is considered linear. The discussion does not resolve whether the inclusion of trigonometric functions is necessary for the proof.

Lauren1234
Messages
26
Reaction score
3
TL;DR
Linear transformations prove including trig functions
Let A={ex,sin(x),excos(x),sin(x),cos(x)} and let V be the subspace of C(R) equal to span(A).

Define
T:V→V,f↦df/dx.
How do I prove that T is a linear transformation?
(I can do this with numbers but the trig is throwing me).
 
Physics news on Phys.org
Lauren1234 said:
Summary:: Linear transformations prove including trig functions

Let A={ex,sin(x),excos(x),sin(x),cos(x)} and let V be the subspace of C(R) equal to span(A).

Define
T:V→V,f↦df/dx.
How do I prove that T is a linear transformation?
(I can do this with numbers but the trig is throwing me).
:welcome:

How far can you get before you're stuck?

You might also like to use Latex:

https://www.physicsforums.com/help/latexhelp/

Then you can do things like:

##A = \{e^x, \cos x, \sin x \dots \}##

If you reply you'll see how I typed that.
 
To show something is a linear transformation, you need to show two things:

1) It's well defined, in the sense that it maps functions (or vectors) to functions (or vectors) of the correct type.

In this case, you have to check that ##T## maps functions in ##V## to functions in ##V##. If ##T## maps a function in ##V## to a function outside ##V## then it's not a mapping from ##V## to ##V##.

2) That it's linear. Which means that ##\forall \ f, g \in V## and ##\lambda \in \mathbb{R}##:

##T(f + g) = Tf + Tg##

##T(\lambda f) = \lambda T(f)##
 
  • Like
Likes   Reactions: Lauren1234
PeroK said:
To show something is a linear transformation, you need to show two things:

1) It's well defined, in the sense that it maps functions (or vectors) to functions (or vectors) of the correct type.

In this case, you have to check that ##T## maps functions in ##V## to functions in ##V##. If ##T## maps a function in ##V## to a function outside ##V## then it's not a mapping from ##V## to ##V##.

2) That it's linear. Which means that ##\forall \ f, g \in V## and ##\lambda \in \mathbb{R}##:

##T(f + g) = Tf + Tg##

##T(\lambda f) = \lambda T(f)##
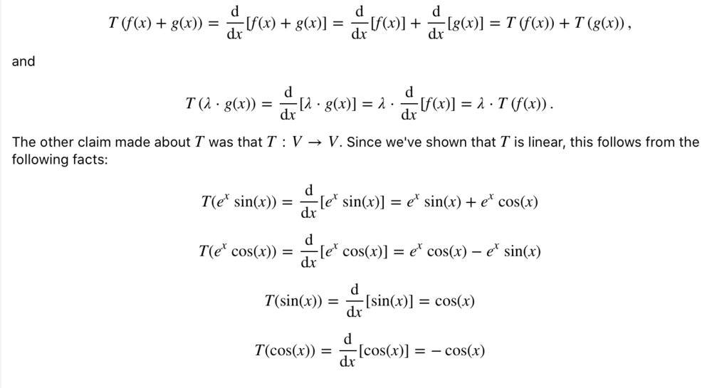
Got you. With mine I am confused as to why I haven’t included the trig functions when proving this. Should I have? Also the bottom bit where I have the trig functions I’m not sure at all what I’m showing there or why I did it
 

Attachments

  • 7DC84EDB-8901-4B53-946A-DACB036018A6.jpeg
    7DC84EDB-8901-4B53-946A-DACB036018A6.jpeg
    31.7 KB · Views: 380
Lauren1234 said:
Got you. With mine I am confused as to why I haven’t included the trig functions when proving this. Should I have? Also the bottom bit where I have the trig functions I’m not sure at all what I’m showing there or why I did it

The differential operator is generally linear. That is to say is it a linear operator on the set of all differentiable functions. Although, if you're sharp you may see a subtlety here that is not mentioned by the proof you have quoted.

In any case, if it's linear on all functions then it must be linear on a subset of those functions. I.e. it must be linear on ##V##.
 
  • Like
Likes   Reactions: Lauren1234
PeroK said:
The differential operator is generally linear. That is to say is it a linear operator on the set of all differentiable functions. Although, if you're sharp you may see a subtlety here that is not mentioned by the proof you have quoted.

In any case, if it's linear on all functions then it must be linear on a subset of those functions. I.e. it must be linear on ##V##.
Right so I have to state that at the start so then I don’t need to include the trig functions? And that proves it is a linear transformation? Is what I’ve done a good solution?
 
Lauren1234 said:
Right so I have to state that at the start so then I don’t need to include the trig functions? And that proves it is a linear transformation? Is what I’ve done a good solution?

Well, the solution you posted is clearly out of a textbook of some sort.
 
  • Like
Likes   Reactions: Lauren1234
PeroK said:
Well, the solution you posted is clearly out of a textbook of some sort.
Well from a different help forum yeah. But I wanted to fully understand what I was doing and not just copy it down exact. Also from the bottom bit could I use this to verify if one of the functions is contain T(V) or is that something different again?
 
Lauren1234 said:
Well from a different help forum yeah. But I wanted to fully understand what I was doing and not just copy it down exact. Also from the bottom bit could I use this to verify if one of the functions is contain T(V) or is that something different again?
The bottom four lines show that ##T## maps ##V## into/onto ##V##. This can also be written as ##T(V) = V##. That's just another way of saying what I said in post #3:

PeroK said:
In this case, you have to check that ##T## maps functions in ##V## to functions in ##V##. If ##T## maps a function in ##V## to a function outside ##V## then it's not a mapping from ##V## to ##V##.
 
  • #10
PeroK said:
The bottom four lines show that ##T## maps ##V## into/onto ##V##. This can also be written as ##T(V) = V##. That's just another way of saying what I said in post #3:
Right ok so that just ties everything together to show why we can use a f(x) and g(x)? Sorry for the questions I’m very new to this and am finding the terms hard to get my head around
 

Similar threads

  • · Replies 1 ·
Replies
1
Views
4K
  • · Replies 3 ·
Replies
3
Views
3K
  • · Replies 1 ·
Replies
1
Views
3K
  • · Replies 23 ·
Replies
23
Views
2K
  • · Replies 4 ·
Replies
4
Views
2K
  • · Replies 2 ·
Replies
2
Views
2K
  • · Replies 3 ·
Replies
3
Views
3K
  • · Replies 6 ·
Replies
6
Views
3K
  • · Replies 1 ·
Replies
1
Views
2K
  • · Replies 3 ·
Replies
3
Views
1K