Maximizing Power Transfer: An Analysis of Resistance and Efficiency

Click For Summary

Homework Help Overview

The discussion revolves around a problem involving a battery with internal resistance and a variable load resistance, focusing on maximizing power transfer to the load. Participants are analyzing the conditions under which maximum power can be delivered, particularly through the application of calculus and the implications of resistance values.

Discussion Character

  • Exploratory, Conceptual clarification, Mathematical reasoning, Assumption checking

Approaches and Questions Raised

  • Participants discuss the differentiation of power with respect to resistance and the correctness of the resulting equations. There are questions about dimensional consistency and the implications of the results on power delivery and efficiency.

Discussion Status

There is an ongoing examination of the differentiation process, with some participants noting errors in the algebra. Guidance has been offered regarding the need for dimensional consistency in the equations. Multiple interpretations of the implications of power loss versus useful work are being explored.

Contextual Notes

Participants are considering the standard results related to power dissipation in both the internal resistance and the load resistance, as well as the practical implications for efficiency in real-world applications. There is an acknowledgment of the complexity of the topic as it relates to higher frequency circuits.

PhysicsTest
Messages
260
Reaction score
27
Homework Statement
A battery of emf E and internal resistance r is hooked up to a variable "load"
resistance, R. If you want to deliver the maximum possible power to the load, what resistance
R should you choose?
Relevant Equations
Ohms Law V = IR
1691817049496.png

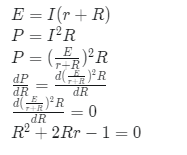
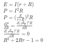
I equated dP/dR to 0 and find the solution for R. Is the solution correct?
 
Physics news on Phys.org
PhysicsTest said:
Homework Statement: A battery of emf E and internal resistance r is hooked up to a variable "load"
resistance, R. If you want to deliver the maximum possible power to the load, what resistance
R should you choose?
Relevant Equations: Ohms Law V = IR

View attachment 330425
I equated dP/dR to 0 and find the solution for R. Is the solution correct?
It is clearly wrong since the final equation is dimensionally inconsistent.
 
  • Like
Likes   Reactions: DaveE, MatinSAR and PhysicsTest
PhysicsTest said:
I equated dP/dR to 0 and find the solution for R. Is the solution correct?
The method is correct but not the solution as @haruspex noted. Redo the algebra and, as you take the derivative, make sure that you get a dimensionally consistent equation after each step.
 
PhysicsTest said:
I equated dP/dR to 0 and find the solution for R. Is the solution correct?
It's pretty clear that there is an error in taking the derivative,
 
Yes the differentiation is wrong and i get R = r. But what i do not understand is that the power delivered to resistor is called loss, that how is it useful?
 
PhysicsTest said:
Yes the differentiation is wrong and i get R = r. But what i do not understand is that the power delivered to resistor is called loss, that how is it useful?
The power dissipated in the internal resistance, r, is the loss; the power dissipated in R is the rate of doing useful work.
This (standard) result says that if you wish to maximise the rate of doing useful work then you have to accept suffering an equal amount of wasted work. In practice, you may settle for a lower rate of doing useful work in return for a higher efficiency.
 
  • Like
Likes   Reactions: DaveE and PhysicsTest
haruspex said:
The power dissipated in the internal resistance, r, is the loss; the power dissipated in R is the rate of doing useful work.
This (standard) result says that if you wish to maximise the rate of doing useful work then you have to accept suffering an equal amount of wasted work. In practice, you may settle for a lower rate of doing useful work in return for a higher efficiency.
Yes, and in the real world, if you want to maximize the efficiency of delivering power to R, you will try to minimize r and reduce the source accordingly.

The reason this extremely common problem is given, in addition to practicing some analysis skills, is that this is a really important concept in more complex problems you will face later with high frequency circuits. I'll stop here, since it's beyond the scope of this thread, but this is the DC version of impedance matching, which is really, really, really important in high frequency circuit design.
 
Last edited:
  • Like
Likes   Reactions: Lnewqban

Similar threads

  • · Replies 9 ·
Replies
9
Views
2K
  • · Replies 3 ·
Replies
3
Views
1K
Replies
25
Views
4K
  • · Replies 6 ·
Replies
6
Views
1K
  • · Replies 2 ·
Replies
2
Views
2K
  • · Replies 10 ·
Replies
10
Views
2K
Replies
10
Views
3K
  • · Replies 3 ·
Replies
3
Views
954
  • · Replies 9 ·
Replies
9
Views
2K
Replies
1
Views
3K