Maxwell's Distribution Law (Thermal Physics)

Click For Summary
SUMMARY

This discussion focuses on Maxwell's Distribution Law in thermal physics, specifically addressing the derivation of velocity distributions in momentum space. The relevant equation provided is dNv = 4πN (m/2πkBT)^(3/2) v^2 exp {-(mv^2)/2kBT}dv. Participants emphasize the importance of presenting answers in a clear format, such as LaTeX, to enhance readability and engagement. The discussion highlights the need for proper organization in responses to facilitate better understanding and feedback from peers.

PREREQUISITES
  • Understanding of Maxwell's Distribution Law
  • Familiarity with thermal physics concepts
  • Basic knowledge of LaTeX for formatting equations
  • Ability to interpret momentum space distributions
NEXT STEPS
  • Research the derivation of Maxwell-Boltzmann distribution in momentum space
  • Learn to format scientific documents using LaTeX
  • Explore applications of Maxwell's Distribution in statistical mechanics
  • Study the implications of thermal velocity distributions in gas dynamics
USEFUL FOR

Students and educators in thermal physics, researchers in statistical mechanics, and anyone interested in enhancing their understanding of velocity distributions and their mathematical representations.

warhammer
Messages
164
Reaction score
33
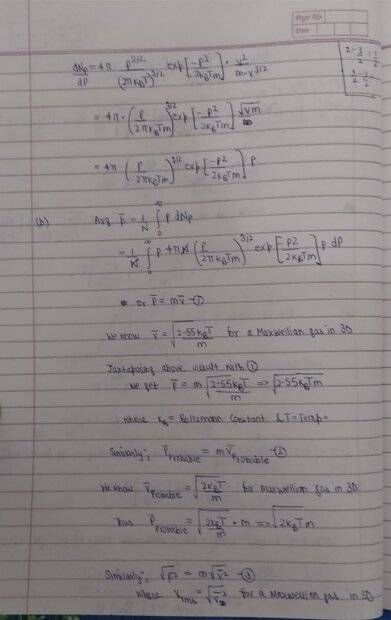
Homework Statement
Please find the photo attached, titled 'Questions'.
Relevant Equations
dNv= 4πN (m/2πkBT)^(3/2) v^2 exp {-(mv^2)/2kBT}dv
There are two questions in the photo.

I have attempted the solution (attached below) and I would be highly obliged if someone would verify the same.

Edit- Sorry the images of the solution have uploaded in the wrong order. 5th and 1st Image comprise of both parts of Q1 while the remaining of Q2.
 

Attachments

  • Questions.jpg
    Questions.jpg
    33.7 KB · Views: 208
  • Thermal Physics Internal 1_3.jpg
    Thermal Physics Internal 1_3.jpg
    32.1 KB · Views: 190
  • Thermal Physics Internal 1_4.jpg
    Thermal Physics Internal 1_4.jpg
    26.6 KB · Views: 173
  • Thermal Physics Internal 1_5.jpg
    Thermal Physics Internal 1_5.jpg
    23 KB · Views: 200
  • Thermal Physics Internal 1_2.jpg
    Thermal Physics Internal 1_2.jpg
    31.9 KB · Views: 185
Last edited:
Physics news on Phys.org
warhammer said:
Homework Statement:: Please find the photo attached, titled 'Questions'.
Relevant Equations:: dNv= 4πN (m/2πkBT)^(3/2) v^2 exp {-(mv^2)/2kBT}dv

There are two questions in the photo.

I have attempted the solution (attached below) and I would be highly obliged if someone would verify the same.

Edit- Sorry the images of the solution have uploaded in the wrong order. 5th and 1st Image comprise of both parts of Q1 while the remaining of Q2.
General observation: You are asked to provide distributions in momentum space. This means you should write these as ##f(p_x)## and ##f(p)## with no ##v_x## or ##v## on the right-hand side of the equation.

Personal observation: You might get more responses if your answers were more legible (i.e. in LaTeX) and better organized, perhaps by putting one answer immediately below the question it refers to. Viewers are more likely to respond if you show some consideration to them.
 
Last edited:
  • Like
Likes   Reactions: warhammer, vela and berkeman
kuruman said:
General observation: You are asked to provide distributions in momentum space. This means you should write these as ##f(p_x)## and ##f(p)## with no ##v_x## or ##v## on the right-hand side of the equation.

Personal observation: You might get more responses if your answers were more legible (i.e. in LaTeX) and better organized, perhaps by putting one answer immediately below the question it refers to. Viewers are more likely to respond if you show some consideration to them.

kuruman said:
General observation: You are asked to provide distributions in momentum space. This means you should write these as ##f(p_x)## and ##f(p)## with no ##v_x## or ##v## on the right-hand side of the equation.

Personal observation: You might get more responses if your answers were more legible (i.e. in LaTeX) and better organized, perhaps by putting one answer immediately below the question it refers to. Viewers are more likely to respond if you show some consideration to them.
Thank you for your kind instructions. Will keep this in mind and repost the thread with the necessary formatting.
 

Similar threads

  • · Replies 5 ·
Replies
5
Views
1K
  • · Replies 12 ·
Replies
12
Views
8K
  • · Replies 17 ·
Replies
17
Views
3K
Replies
12
Views
3K
  • · Replies 13 ·
Replies
13
Views
21K
  • · Replies 16 ·
Replies
16
Views
3K
  • · Replies 7 ·
Replies
7
Views
12K
Replies
2
Views
2K
  • · Replies 4 ·
Replies
4
Views
4K
Replies
7
Views
10K