Minimizing the surface of a sphere and cylinder

Click For Summary

Discussion Overview

The discussion revolves around finding the dimensions of a body composed of a straight circular cylinder and a hemisphere that minimize the total surface area while maintaining a constant volume. Participants explore the relationships between the dimensions and the implications of their calculations.

Discussion Character

  • Exploratory, Technical explanation, Debate/contested, Mathematical reasoning

Main Points Raised

  • One participant presents a formula for the volume of the combined body and attempts to derive conditions for minimizing the surface area, but encounters issues leading to an incorrect conclusion of height being zero.
  • Another participant questions the clarity of the problem statement and seeks to confirm which dimensions are being asked to relate to the constant volume.
  • There is a suggestion that the radius of the hemisphere and the height of the cylinder may be equal, with a derived expression for both dimensions presented as cubic root of (3V/5π).
  • Participants express confusion regarding the problem's requirements and the relationships between the dimensions, indicating a lack of clarity in the original question.
  • Some participants emphasize the need for clear problem statements to facilitate understanding and discussion.

Areas of Agreement / Disagreement

Participants express uncertainty about the problem's requirements and the relationships between the dimensions. There is no consensus on the clarity of the problem or the implications of the derived relationships.

Contextual Notes

Participants note that the problem involves maximizing and minimizing surface area while maintaining a constant volume, but the specific relationships and conditions remain unresolved.

leprofece
Messages
239
Reaction score
0
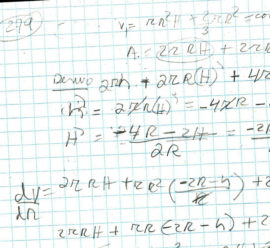
279) A body is formed by a straight circular cylinder which ends up in a hemisphere. What are the dimensions that should have this body so the total surface area is minimal, if your volume is

answer Cubic sqrt( 3V/5 pi)

i tried to post an image of my notes and i couldnot i will type later

Vt = pir2H +2/3piR2 constant
A= 2pirH+ 2pir2

Derive implicit 2piH + pir(dH) + 4pir
dh = (-2r-h)/(r)

derive volume 2pirH + pir2(dH) + 2pir2

2pirH + pir2(-2r-h) + 2pir2 = 0
And I got piRh = 0

So h = 0 and this is not the answer
 
Last edited:
Physics news on Phys.org
Re: Max and min 6

If the image of your notes is on your hard drive and you are using Windows, you may upload it as an attachment as follows:

1.) Click the View attachment 1977button on the toolbar (you will see "Insert Image" when you hover your mouse cursor over it).

2.) Click the "From Computer" tab.

3.) Click the "Browse" button.

4.) Locate the file on your hard drive (or other available media), then double-click it to select it.

5.) Click "Upload File(s)" and the image will be uploaded and inserted inline in your post.
 

Attachments

  • imageicon.jpg
    imageicon.jpg
    746 bytes · Views: 120
Re: Max and min 6

MarkFL said:
If the image of your notes is on your hard drive and you are using Windows, you may upload it as an attachment as follows:

1.) Click the View attachment 1977button on the toolbar (you will see "Insert Image" when you hover your mouse cursor over it).

2.) Click the "From Computer" tab.

3.) Click the "Browse" button.

4.) Locate the file on your hard drive (or other available media), then double-click it to select it.

5.) Click "Upload File(s)" and the image will be uploaded and inserted inline in your post.

Right I going to try
NO it appears (! in red)
 
Re: Max and min 6

leprofece said:
Right I going to try
NO it appears (! in red)

What is the file's extension?
 

Attachments

  • Scan.jpg
    Scan.jpg
    152.7 KB · Views: 117
Re: Max and min 6

leprofece said:
279) A body is formed by a straight circular cylinder which ends up in a hemisphere. What are the dimensions that should have this body so the total surface area is minimal, if your volume is

answer Cubic sqrt( 3V/5 pi)

i tried to post an image of my notes and i couldnot i will type later

Vt = pir2H +2/3piR2 constant
A= 2pirH+ 2pir2

Derive implicit 2piH + pir(dH) + 4pir
dh = (-2r-h)/(r)

derive volume 2pirH + pir2(dH) + 2pir2

2pirH + pir2(-2r-h) + 2pir2 = 0
And I got piRh = 0

So h = 0 and this is not the answer

From what I can make out, you are given a body made up of a cylinder inscribed within a hemisphere, and the volume of the two components added together must remain constant. Which measure are you asked to find in terms of this constant volume? The radius of the hemisphere, the radius of the cylinder, or the height of the cylinder.
 
Re: Max and min 6

OHH Maybe I forgot to write that R = H
so it is radius and height that are equals to a cubic sqrt= and it is not zero as I found out

R = H = Cubic sqrt( 3V/5 pi)
 
Re: Max and min 6

leprofece said:
OHH Maybe I forgot to write that R = H
so it is radius and height that are equals to a cubic sqrt= and it is not zero as I found out

R = H = Cubic sqrt( 3V/5 pi)

Does this mean the height of the cylinder must be equal to the radius of the hemisphere? When you post a question, I would ask you to make sure the problem is clearly stated so that we know what you are asking. I am still unclear what you are being asked to do here.
 
Re: Max and min 6

MarkFL said:
Does this mean the height of the cylinder must be equal to the radius of the hemisphere? When you post a question, I would ask you to make sure the problem is clearly stated so that we know what you are asking. I am still unclear what you are being asked to do here.

volume is "V" So it is a problem of max and minimun and i am asked the minimal area of total surface of the body that is the sum of two as you said
 
  • #10
Re: Max and min 6

volume is "V" So it is a problem of max and minimun and i am asked the minimal area of total surface of the body that is the sum of two as you said

Are you still confused ??
Do you want a copy of the spanish problem in your mail ??'
 
  • #11
Re: Max and min 6

leprofece said:
...
Are you still confused ??
Do you want a copy of the spanish problem in your mail ??'

I don't speak or read Spanish, but yes I am still unsure what you are being asked to do. You have not answered my question:

Does this mean the height of the cylinder must be equal to the radius of the hemisphere?
 
  • #12
Re: Max and min 6

Yes According to answer both of them are equals
 
Last edited:

Similar threads

  • · Replies 8 ·
Replies
8
Views
3K
  • · Replies 5 ·
Replies
5
Views
2K
  • · Replies 7 ·
Replies
7
Views
2K
  • · Replies 5 ·
Replies
5
Views
9K
  • · Replies 11 ·
Replies
11
Views
3K
  • · Replies 10 ·
Replies
10
Views
3K
  • · Replies 2 ·
Replies
2
Views
17K
  • · Replies 1 ·
Replies
1
Views
3K
  • · Replies 2 ·
Replies
2
Views
3K
  • · Replies 2 ·
Replies
2
Views
4K