Monkey accelerating up and down a rope

Click For Summary

Homework Help Overview

The discussion revolves around a physics problem involving a monkey climbing a rope connected to a mass on a table. The participants explore the effects of the monkey's acceleration on the overall system, questioning how the direction of the monkey's movement (upward or downward) influences the acceleration of the mass and the tension in the rope.

Discussion Character

  • Exploratory, Assumption checking, Conceptual clarification

Approaches and Questions Raised

  • Participants discuss the implications of the monkey's acceleration relative to the rope versus the table, questioning how this affects the tension and acceleration of the mass. They explore the relationship between the forces acting on the monkey and the resulting acceleration of the system.

Discussion Status

There is an ongoing exploration of different interpretations regarding the acceleration of the system based on the monkey's movement. Some participants express confusion over the textbook's explanation and seek clarification on the mechanics involved. Guidance has been offered regarding the need for free body diagrams to better understand the forces at play.

Contextual Notes

Participants note the ambiguity in the term "acceleration of the system," leading to confusion about what is being asked. There are references to external sources and examples that may not align perfectly with the current problem, highlighting the complexity of the situation.

Iamconfused123
Messages
66
Reaction score
9
Homework Statement
Find the acceleration of the system if monkey a) is at rest, b) is moving upwards with 2m/s^2 relative to the rope, c) is moving downwards with 2m/s^2 relative to the rope
Relevant Equations
F=ma
Body M has a mass of 80kg and monkey has a mass of 20kg. No friction between table and the object M.

Can someone please explain to me if the acceleration of the system will be greater with monkey accelerating up or down(relative to the rope), and why. Monkey accelerates both up and down at 2m/s^2(relative to the rope).

Like, I know that if monkey pulls the rope to go up, he will cause tension of the pull plus the tension of himself on the rope and therefore acceleration of body M. So it must be that accelerating upward causes greater acceleration then accelerating downward.
But in my textbook the answer is different. Apparently monkey causes greater tension by accelerating down(relative to the rope), and I don't see how is that possible. I know that F=ma so if he accelerates 2m/s^2 down +g(10m/s^2) that is 12m/s^2, multiplied by m, we get greater Fnet, and therefore greater acceleration of the system).

I just can't understand how is he able to accelerate down the rope, if he was pulling the rope with his paws, he would just push the rope behind him, and in my mind that would only cause less tension instead of more. Unless the rope is really long and heavy so that he can't push it behind. Then okay I guess it's possible.
But shouldn't monkey's pull on the rope when going up cause greater acceleration of the body M and therefore greater acceleration of the system?Also, apparently monkey doing nothing(not accelerating up) causes greater acceleration of the system then monkey accelerating up. This bothers me because I have watched the video of the guy explaining how monkey can lift the crate of the ground connected with a rope over the pulley if he accelerates up the rope with acceleration that is big enough. There are few videos on internet similar to this one but I don't understand what are they saying. I tried following abbreviations for the forces but I get lost eventually.

Here is the photo of the sketch.
monkey.png


Thank you.
 
Last edited by a moderator:
Physics news on Phys.org
Note that the monkey's acceleration is relative to the rope, not relative to the table.

Draw a free body diagram of the monkey.
Then draw a free body diagram of the rope and mass ##M##.
Post them.

I assume that by acceleration of the system you mean the acceleration of mass ##M##. Correct?
 
Iamconfused123 said:
So it must be that accelerating upward causes greater acceleration then accelerating downward.
Agreed. In the extreme, the monkey accelerates downward (in both the rest frame and relative to the rope) at g and mass M stays put. (Note that pushing up on the rope, were that possible, would lead to the monkey descending faster than g.)

What can you post of the source that says otherwise? Maybe you are misinterpreting it.
 
kuruman said:
Note that the monkey's acceleration is relative to the rope, not relative to the table.
Well yes, so that means monkey is falling at 8m/s^2. But he is using force on/against the rope to do that(instead of falling at 10m/s^2). So it means that he is accelerating the rope in the other direction(down) in order to keep himself going up(relative to that rope) and that rope is tied to mass M, which then has greater acceleration.

Like, I understand that in normal pulley systems when a heavier object falls faster it causes greater acceleration of smaller object and system(everything on the rope) in general, but here the monkey(heavier object) is moving up and fighting gravity and is "sacrificing" the 2nd object in order to do so.

I assume that by acceleration of the system you mean the acceleration of mass . Correct?
I suppose so, it's not specified, so far a system has always been everything that is on the rope, but let's assume that they are asking about object M.

Forces acting on the monkey are Tension(Ft), gravity(mg) and upwards pulling force(Fp).
45.jpg
 
haruspex said:
Agreed. In the extreme, the monkey accelerates downward (in both the rest frame and relative to the rope) at g and mass M stays put. (Note that pushing up on the rope, were that possible, would lead to the monkey descending faster than g.)

What can you post of the source that says otherwise? Maybe you are misinterpreting it.
here is link that is exactly the same problem and the solution is same as mine (https://homework.study.com/explanat...relative-to-the-plane-and-the-tension-of.html).

Here is the link where the guy explains tenision in such system(https://www.doubtnut.com/qna/643867625)

Here is the link to the guy who explains how monkey can lift the crate off the ground()

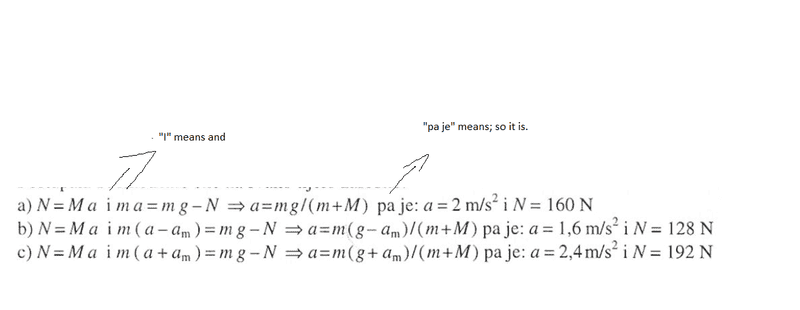
and here is the screenshot from my textbook solutions.
a) asks about when monkey is not moving, so it's irrelevant.
mea.png
 
Iamconfused123 said:
In b and c there are sign errors in the algebraic manipulation. See if you can spot them.
 
  • Like
Likes   Reactions: Iamconfused123
Iamconfused123 said:
here is link that is exactly the same problem and the solution is same as mine (https://homework.study.com/explanat...relative-to-the-plane-and-the-tension-of.html).

Here is the link where the guy explains tenision in such system(https://www.doubtnut.com/qna/643867625)
Note that in the text in the linked problem is not identical to yours. Here they asks for the accelerations of the bodies and not "of the system". The two bodies have different accelerations for parts b and c. Asking for acceleration of the system is confusing. Especially when you are not sure what the system is
 
  • Like
Likes   Reactions: Iamconfused123
Iamconfused123 said:
Well yes, so that means monkey is falling at 8m/s^2. But he is using force on/against the rope to do that(instead of falling at 10m/s^2). So it means that he is accelerating the rope in the other direction(down) in order to keep himself going up(relative to that rope) and that rope is tied to mass M, which then has greater acceleration.

Like, I understand that in normal pulley systems when a heavier object falls faster it causes greater acceleration of smaller object and system(everything on the rope) in general, but here the monkey(heavier object) is moving up and fighting gravity and is "sacrificing" the 2nd object in order to do so.

I assume that by acceleration of the system you mean the acceleration of mass . Correct?
I suppose so, it's not specified, so far a system has always been everything that is on the rope, but let's assume that they are asking about object M.

Forces acting on the monkey are Tension(Ft), gravity(mg) and upwards pulling force(Fp).
View attachment 337792
In your FBD of the monkey, you have ##F_{pull}## and ##F_T## acting on the monkey. Its either or depending on what you take as the free body but not both.
 
  • Like
Likes   Reactions: Iamconfused123
haruspex said:
In b and c there are sign errors in the algebraic manipulation. See if you can spot them.
mea.png

I see, they swapped the signs. I could never see that. Thank you very much.
 
  • Like
Likes   Reactions: haruspex
  • #10
erobz said:
In your FBD of the monkey, you have ##F_{pull}## and ##F_T## acting on the monkey. Its either or depending on what you take as the free body but not both.
Isn't it both? I tried to think about and I am probably wrong but in my mind the tension is keeping monkey from accelerating at 10m/s^2 and instead accelerates with 2 m/s^2 while the pull causes it to not accelerate at all(also with tension applied), because monkey has acceleration o 2m/s^2 upwards relative to the rope while rope is falling at 2m/s^2.
 
  • #11
nasu said:
Note that in the text in the linked problem is not identical to yours. Here they asks for the accelerations of the bodies and not "of the system". The two bodies have different accelerations for parts b and c. Asking for acceleration of the system is confusing. Especially when you are not sure what the system is
That is true, I became really nervous trying to figure the acceleration of the system, and then I gave up on that and went on to calculate just the acceleration of the body on the table. Later figured that they have different accelerations. Thanks for the comment.
 
  • #12
Iamconfused123 said:
Isn't it both? I tried to think about and I am probably wrong but in my mind the tension is keeping monkey from accelerating at 10m/s^2 and instead accelerates with 2 m/s^2 while the pull causes it to not accelerate at all(also with tension applied), because monkey has acceleration o 2m/s^2 upwards relative to the rope while rope is falling at 2m/s^2.
You show ##F_{pull}+F_T## acting on both M and m. How is this happening? There is only the rope under tension to transfer force between the two.
Whatever force the monkey exerts on the rope is necessarily the tension in it.
 
  • #13
haruspex said:
You show ##F_{pull}+F_T## acting on both M and m. How is this happening? There is only the rope under tension to transfer force between the two.
Whatever force the monkey exerts on the rope is necessarily the tension in it.
I don't know. I got something wrong then. I mean I get that the pull will act as tension force. I don't know why I draw that separately, but even worse, I thought that monkey was staying in place while climbing up. Because when monkey is not moving the system accelerates at 2m/s^2 and now that monkey is accelerating 2m/s^2 upwards I thought that he stays in place on y-axis.

How can I calculate with what acceleration will monkey have to move up to stay in one place on y-axis. I suppose that there is no one acceleration value, because when he starts to accelerate up, the body M will accelerate even faster down, so monkey will have to increase the acceleration in order to keep up, am I correct?
 
  • #14
Iamconfused123 said:
How can I calculate with what acceleration will monkey have to move up to stay in one place on y-axis.
What are the forces on the monkey? If it is staying put in the ground frame, what can you say about those forces?
 
  • #15
The acceleration of a system's Centre of mass depends only on the external forces on it. The monkey climbing the rope is an internal interaction between components of system. That cannot affect the motion of the centre of mass.
 
  • #16
PeroK said:
The acceleration of a system's Centre of mass depends only on the external forces on it. The monkey climbing the rope is an internal interaction between components of system. That cannot affect the motion of the centre of mass.
The monkey's actions affect the tension, which alters the vertical component of the force exerted by the pulley on the system.
 
  • #17
haruspex said:
The monkey's actions affect the tension, which alters the vertical component of the force exerted by the pulley on the system.
Unless there is friction at the pulley, I don't think that changes the acceleration of the centre of mass.
 
  • #18
Let's see what the full calculations yield ...
 
  • #19
PS by centre of mass I mean within the constrained system. I.e. some point along the rope joining the two masses.
 
  • #20
haruspex said:
What are the forces on the monkey? If it is staying put in the ground frame, what can you say about those forces?
I don't know what do you mean by ground frame, but overall, the only forces acting on the monkey are tension(upwards) and weight(downwards). If by ground frame you mean monkey relative to the ground then yeah, tension and weight. But if the monkey accelerates upwards the tension force increases and the rope starts falling down faster, and that happens in exact moment when monkey starts to accelerate, so it's like a vicious cycle. Right?
 
  • #21
Iamconfused123 said:
I don't know what do you mean by ground frame, but overall, the only forces acting on the monkey are tension(upwards) and weight(downwards). If by ground frame you mean monkey relative to the ground then yeah, tension and weight. But if the monkey accelerates upwards the tension force increases and the rope starts falling down faster, and that happens in exact moment when monkey starts to accelerate, so it's like a vicious cycle. Right?
The constraint is that the rope accelerates with the same magnitude as block M.
 
  • #22
Iamconfused123 said:
I don't know what do you mean by ground frame,
The ground frame is the inertial frame of reference of the Earth's surface, in which Newton's laws of motion apply.
 
  • #23
Iamconfused123 said:
If by ground frame you mean monkey relative to the ground then yeah, tension and weight.
Right.
Iamconfused123 said:
But if the monkey accelerates upwards the tension force increases and the rope starts falling down faster, and that happens in exact moment when monkey starts to accelerate, so it's like a vicious cycle. Right?
I asked about the case where the monkey is staying at the same height. What is the monkey’s acceleration in the ground frame? What does that say about the two forces? Remember, ##F_{net}=ma##.
 
  • #24
haruspex said:
Right.

I asked about the case where the monkey is staying at the same height. What is the monkey’s acceleration in the ground frame? What does that say about the two forces? Remember, ##F_{net}=ma##.
Well, Tension and weight are equal then. Acceleration is 0
 
  • #25
Iamconfused123 said:
Well, Tension and weight are equal then. Acceleration is 0
So you know the tension for this case. What does that give for the acceleration of M?
 
  • #26
haruspex said:
So you know the tension for this case. What does that give for the acceleration of M?
Then a=T/M = 200N/80kg = 2.5m/s^2.

But in case b) in original problem, we had acceleration of 2.4 and tension of 240N for that acceleration. So that means we can't have 2.5 m/s^2 acceleration with 200N tension force, because that is force when monkey is standing still on the rope(a=0 m/s^2), if we take that monkey is accelerating up that creates additional tension. And then we have to go back and adjust the a=T/M, and it's vicious cycle.
 
  • #27
So then it's either impossible for monkey to stand still in the air(on the rope) with one acceleration value or monkey really doesn't create additional tension by accelerating upwards.
 
Last edited:
  • #28
Iamconfused123 said:
And then we have to go back and adjust the a=T/M, and it's vicious cycle.
It's not a vicious cycle. It's called a variable. And it's what mathematics and Newton's laws are designed to resolve. Where your raw intuition is insufficient.
 
  • #29
Iamconfused123 said:
So then it's either impossible for monkey to stand still in the air(on the rope) with one acceleration value or monkey really doesn't create additional tension by accelerating upwards.
It's not impossible if you use mathematics with variable or unknown quantities in your equations.
 
  • #30
Iamconfused123 said:
But in case b) in original problem, we had acceleration of 2.4 and tension of 240N for that acceleration
How do you get that tension?
Remember that the sign errors in the snippet pasted in post #9 had the effect of swapping over the answers for b and c.
 
  • Like
Likes   Reactions: Iamconfused123

Similar threads

  • · Replies 66 ·
3
Replies
66
Views
7K
  • · Replies 13 ·
Replies
13
Views
1K
  • · Replies 22 ·
Replies
22
Views
3K
  • · Replies 12 ·
Replies
12
Views
2K
Replies
4
Views
1K
  • · Replies 5 ·
Replies
5
Views
3K
  • · Replies 5 ·
Replies
5
Views
3K
  • · Replies 6 ·
Replies
6
Views
7K
Replies
6
Views
4K