More (VERY BASIC) Questions on Example on Wedge Products

  • Context: Graduate 
  • Thread starter Thread starter Math Amateur
  • Start date Start date
  • Tags Tags
    Example Wedge
Click For Summary
SUMMARY

This discussion centers on the application of wedge products of differential forms as presented in Barrett O'Neill's "Elementary Differential Geometry." The participants clarify the operations involving differential forms, specifically the expression d(f dx g dy) and its equivalence to d(fg dx dy). It is established that while scalars f and g can be rearranged freely, the one-forms dx and dy do not commute and instead anti-commute, affecting the order of operations in wedge products. The justification for the differentiation step d(fg dx dy) = ∂(fg)/∂z dz dx dy is also sought, emphasizing the need for a thorough understanding of these concepts.

PREREQUISITES
  • Understanding of differential forms and their properties
  • Familiarity with wedge products in differential geometry
  • Basic knowledge of vector spaces and anti-commutativity
  • Experience with partial differentiation and its notation
NEXT STEPS
  • Study the properties of wedge products in differential geometry
  • Learn about anti-commutativity of one-forms and their implications
  • Explore the differentiation of products in the context of differential forms
  • Review examples from Barrett O'Neill's "Elementary Differential Geometry" for practical applications
USEFUL FOR

Students and educators in mathematics, particularly those focusing on differential geometry, as well as researchers and practitioners working with differential forms and their applications in various fields.

Math Amateur
Gold Member
MHB
Messages
3,920
Reaction score
48
I am reading Barrett O'Neil's book: Elementary Differential Geometry ...

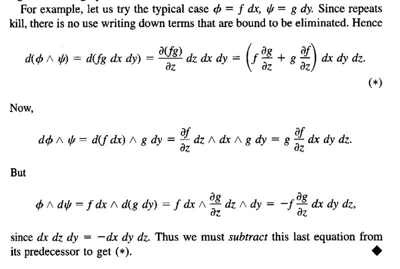
I need help with some more issues/problems with the example on wedge products of differential forms in O'Neill's text on page 31 in Section 1.6 ..The example reads as follows:
?temp_hash=2e52d86ccd823c5194d91036af8ef28d.png
In my working of the example above ... trying to understand (*) ... I proceeded as follows ... but had some questions almost immediately ...

We have [itex]\phi = f \ dx[/itex] and [itex]\psi = g \ dy[/itex]so we can write (can we?)[itex]d ( \phi \wedge \psi ) = d( f \ dx \wedge \ g \ dy )[/itex][itex]= d (f \ dx \ g \ dy )[/itex]But is this last step correct? That is is the wedge product of these elements just a concatenation? If so, why?
Continuing ...

[itex]d (f \ dx \ g \ dy ) = d( fg \ dx \ dy )[/itex]

Is this correct? Why?
It assumes all these type of elements commute ... is that correct? Why?... I am also perplexed by what is happening (and the justification) in O'Neill's step in (*) where he writes:

[itex]d(fg \ dx \ dy ) = \partial (fg) / \partial z \ dz \ dx \ dy[/itex]Can someone explain and justify this step please ... preferably by providing all the intervening steps and their justification ...
Hope someone can help with these questions/issues/problems ...

Peter
 

Attachments

  • O'Neill - EXAMPLE on page 31 - Wedge Products of Differential Forms.png
    O'Neill - EXAMPLE on page 31 - Wedge Products of Differential Forms.png
    28.7 KB · Views: 666
Physics news on Phys.org
Math Amateur said:
d(f dx g dy)=d(fg dx dy)

Is this correct? Why?
It assumes all these type of elements commute ... is that correct? Why?
I can do the middle one, as it's very quick, and I only have a minute right now.
f and g are scalars, whereas dx and dy are one-forms, which are elements of a vector space. As is usual with vector spaces, we can move scalars around as much as we like, and that's what's done above. However the vectors / one-forms dx and dy do not commute with each other (in fact if you change the order you change the sign - they anti-commute), so their order cannot be changed.
Hope that helps.
 
  • Like
Likes   Reactions: Math Amateur
andrewkirk said:
I can do the middle one, as it's very quick, and I only have a minute right now.
f and g are scalars, whereas dx and dy are one-forms, which are elements of a vector space. As is usual with vector spaces, we can move scalars around as much as we like, and that's what's done above. However the vectors / one-forms dx and dy do not commute with each other (in fact if you change the order you change the sign - they anti-commute), so their order cannot be changed.
Hope that helps.
Thanks Andrew ... yes, most helpful

Peter
 

Similar threads

  • · Replies 5 ·
Replies
5
Views
8K
  • · Replies 7 ·
Replies
7
Views
6K
  • · Replies 7 ·
Replies
7
Views
4K
  • · Replies 3 ·
Replies
3
Views
2K
  • · Replies 14 ·
Replies
14
Views
6K
  • · Replies 16 ·
Replies
16
Views
4K
  • · Replies 12 ·
Replies
12
Views
5K
Replies
7
Views
2K
  • · Replies 3 ·
Replies
3
Views
1K
  • · Replies 25 ·
Replies
25
Views
5K