Most probable velocity from Maxwell-Boltzmann distribution

  • Thread starter Thread starter TensorCalculus
  • Start date Start date
  • Tags Tags
    Thermodynaics
Click For Summary

Homework Help Overview

The discussion revolves around deriving the most probable velocity from the Maxwell-Boltzmann distribution. The original poster reflects on their use of the formula for the most probable velocity and attempts to derive it, encountering difficulties with algebraic manipulation leading to an incorrect negative result.

Discussion Character

  • Exploratory, Mathematical reasoning, Assumption checking

Approaches and Questions Raised

  • The original poster attempts to derive the formula by setting the derivative of the Maxwell-Boltzmann distribution to zero to find the maximum. They express confusion over a negative result obtained during their calculations. Other participants question specific steps in the algebra and suggest alternative approaches for simplification.

Discussion Status

Participants are actively engaging with the original poster's derivation process, providing feedback on algebraic steps and suggesting methods to clarify the calculations. There is a recognition of mistakes made, and some participants offer alternative perspectives on how to approach the problem.

Contextual Notes

The discussion highlights the challenges of algebraic manipulation in the context of deriving a physical formula, with participants noting the importance of careful handling of signs and terms in equations.

TensorCalculus
Gold Member
2025 Award
Messages
283
Reaction score
466
Homework Statement
Derive the formula ##v_mp = \sqrt{\frac{2k_bT}{m}}##
Relevant Equations
##f(v)=4\pi(\frac{m}{2k_BT})^{\frac 3 2} v^2 e^{\frac{-E}{k_BT}}##
product rule: ##\frac{d}{dx} (uv) = u'v + v'u##
This wasn't really a homework problem: I just randomly realised that I had been using the formula ##v_{mp} = \sqrt{\frac{2k_bT}{m}}## without actually knowing where it came from, so I decided to try and derive it. I got pretty close but I think I made some sort of silly mistake because the answer I got was the negative of what I should have gotten. I spent quite a while staring at it yesterday trying to figure out what went wrong, to no avail, and tried the same thing today... I fear I have tunnel vision. The mistake is probably a really small and dumb one, but I'm having quite a bit of trouble finding it :cry:

Using the idea that ##v_mp## would be when the plot of the Maxwell-Boltzmann distribution is at a maximum for that given temperature and mass, and the derivative is 0 at maxima:
$$ \frac{d[f(v)]}{dv} = 0$$
$$\frac d {dv} (4\pi(\frac{m}{2k_BT})^{\frac 3 2} v^2 e^{\frac{-mv^2}{2k_BT}}) = 0$$
$$\frac d{dv} (v^2 e^{\frac{-mv^2}{2k_BT}}) = 0$$
$$v^2(\frac{-mv}{k_BT})(e^{\frac{-mv^2}{2k_BT}}) + 2v(e^{\frac{-mv^2}{2k_BT}}) = 0$$
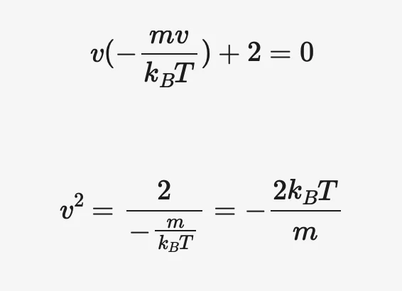
$$v(-\frac{mv}{k_BT}) + 2 = 0$$
$$v^2 = \frac{2}{-\frac{m}{k_BT}} = -\frac{2k_BT}{m}$$
$$v=\sqrt{-\frac {2k_BT}{m}}$$
Somehow I got a negative inside the square root: where did I go wrong?
 
Physics news on Phys.org
TensorCalculus said:
where did I go wrong?
Screen Shot 2025-08-13 at 7.39.44 AM.webp
See figure on the right. Where did the ##v^2## in the last equation come from and why is there no sign change when you move the ##2## to the right hand side?

It looks like you did too much algebra in your head.
 
  • Informative
Likes   Reactions: TensorCalculus
1755089807504.webp



From
1755089932728.webp


$$\frac{d}{dv} F = 2v \frac{d}{dv^2} F = 0 $$
It is easier to calculate.
 
Last edited:
  • Informative
Likes   Reactions: TensorCalculus
kuruman said:
View attachment 364375See figure on the right. Where did the ##v^2## in the last equation come from and why is there no sign change when you move the ##2## to the right hand side?

It looks like you did too much algebra in your head.
The ##v^2## came from pulling the v out from the numerator of the fraction in the first line.
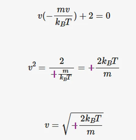
I see my mistake now :cry: how did I not spot it :cry:. All I had to do was realise that subtracting the two meant that it would be negative on the other side... whoops...
anuttarasammyak said:
View attachment 364376


From
View attachment 364377

$$\frac{d}{dv} F = 2v \frac{d}{dv^2} F = 0 $$
It is easier to calculate.
yeah... I don't know how I managed that.
What do you mean by the last bit where you talk about that being easier to calculate?
 
Formula in ( ) , I referred as F, has v^2 only, no single v. Try replacing v^2 with x in my proposal. The equation would become easier to handle.
 
  • Like
Likes   Reactions: TensorCalculus
Ah right: I'll give it a shot tomorrow morning, thank you for the suggestion!
 

Similar threads

  • · Replies 5 ·
Replies
5
Views
1K
  • · Replies 3 ·
Replies
3
Views
1K
  • · Replies 4 ·
Replies
4
Views
3K
  • · Replies 4 ·
Replies
4
Views
1K
  • · Replies 16 ·
Replies
16
Views
2K
Replies
7
Views
3K
  • · Replies 8 ·
Replies
8
Views
3K
Replies
6
Views
1K
  • · Replies 9 ·
Replies
9
Views
2K