Need Help to Understand an Equation for Air Resistance

Click For Summary

Homework Help Overview

The discussion revolves around understanding an equation related to air resistance, specifically focusing on the variable gamma (γ) and its implications in the context of motion. Participants are exploring the relationship between velocity, acceleration, and the forces acting on an object in motion through a fluid medium.

Discussion Character

  • Exploratory, Conceptual clarification, Mathematical reasoning, Assumption checking

Approaches and Questions Raised

  • Participants are questioning the meaning of the variable gamma (γ) in the context of the equation for air resistance. They discuss the implications of multiplying both sides of the equation by -γv² and interpret the resulting expressions. There is an exploration of the relationship between acceleration and velocity, as well as the role of drag force in the motion of the arrow.

Discussion Status

The discussion is active, with participants providing insights and corrections regarding the interpretation of the equation. Some have offered guidance on how to approach the integration of the equation, while others are clarifying the implications of the drag force on the motion of the arrow. There is a recognition of the need to find expressions for velocity and time, with ongoing exploration of these concepts.

Contextual Notes

Participants are navigating through assumptions about the nature of acceleration and the effects of air resistance, with some expressing confusion about the limits of integration and the implications of the drag force on the arrow's motion. There is a mention of specific constants and variables that may influence the calculations, such as the drag coefficient and density.

Some1WhoNeedsHelp
Messages
16
Reaction score
0
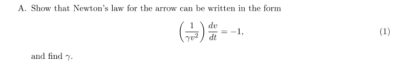
Homework Statement
Show That Newton's law for the arrow can be writteb in the form
Relevant Equations
F=ma
Help2.png


Help3.png


I don't understand what the gamma letter in the equation is supposed to represent.
 
Physics news on Phys.org
What do you get when you multiply both sides of the equation with ##-\gamma v^2##? Can you interpret what it says?
 
kuruman said:
What do you get when you multiply both sides of the equation with ##-\gamma v^2##? Can you interpret what it says?
1=-gamma v^2?
I also need to find gamma, So I need to realize what the letter supposed to represent
I looked at the formula sheet and didn't find it there
 
Last edited:
Some1WhoNeedsHelp said:
1=-gamma v^2?
Nope. You get $$\frac{dv}{dt}=-\gamma~v^2.$$If I tell you that ##\gamma## is just a positive constant, can you interpret what this equation is saying to you regarding the motion of the arrow?
 
  • Like
Likes   Reactions: Some1WhoNeedsHelp
kuruman said:
Nope. You get $$\frac{dv}{dt}=-\gamma~v^2.$$If I tell you that ##\gamma## is just a constant, can you interpret what this equation is saying to you regarding the motion of the arrow?
it's a function of speed relative to the time it represents
The change in speed is divided by the change in time.

So does it represent the location of the arrow?
Is that got something to do with the function:

X=X0+VT+(1/2)AT2

?
 
Some1WhoNeedsHelp said:
it's a function of speed relative to the time it represents
The change in speed divided by the change in time

Is that got something to do with the function:

X=X0+VT+(1/2)AT2

?
Nope. What you wrote down is the position of an object as a function of time under constant acceleration. Is the acceleration constant in this case? As a matter of fact look at the equation. Can you figure out an expression for the acceleration? Hint: How is the acceleration defined in terms of the velocity?
 
  • Like
Likes   Reactions: Some1WhoNeedsHelp
kuruman said:
Nope. What you wrote down is the position of an object as a function of time under constant acceleration. Is the acceleration constant in this case? As a matter of fact look at the equation. Can you figure out an expression for the acceleration? Hint: How is the acceleration defined in terms of the velocity?
a = dv/dt

acceleration is meter/(seconds)2

and v2 is (meter)2/(seconds)2
So gamma must be meter

and using Newton's law

ma=(Cd*ρ*A*V2)/2

and since a = dv/dt

Gamma=-(Cd*ρ*A)/2mIs that correct?
 
Last edited:
Gamma is a positive constant. The motion of the arrow is opposed by air resistance (it's like friction). So in the equation ##\dfrac{dv}{dt}=-\gamma~v^2##, the left-hand side is a negative number because the speed ##v## decreases with time. Can you answer the questions posed by the problem?
 
kuruman said:
Gamma is a positive constant. The motion of the arrow is opposed by air resistance (it's like friction). So in the equation ##\dfrac{dv}{dt}=-\gamma~v^2##, the left-hand side is a negative number because the speed ##v## decreases with time. Can you answer the questions posed by the problem?

So should I do Absolute value?F=ma
F=(Cd*ρ*A*V2)/2
ma=(Cd*ρ*A*V2)/2
a=(Cd*ρ*A*V2)/2m
a = dv/dt
dv/dt = -γV2
-γV2=(Cd*ρ*A*V2)/2m
γ=|-(Cd*ρ*A)/2m|
 
Last edited:
  • #10
Look
dv/dt = -γV2
a = dv/dt = -γV2
F = ma = -mγV2
The force is in the same direction as the acceleration and both of them are opposite to the direction of motion. The constant γ is positive. You don't need the absolute value if you handle the signs correctly.
 
  • #11
kuruman said:
Look
dv/dt = -γV2
a = dv/dt = -γV2
F = ma = -mγV2
The force is in the same direction as the acceleration and both of them are opposite to the direction of motion. The constant γ is positive. You don't need the absolute value if you handle the signs correctly.
Because the force is opposite to direction of motion, the equation needs to be negative?

F=-(Cd*ρ*A*V2)/2=-mγV2?

so

γ=(Cd*ρ*A)/2m
 
Last edited:
  • #12
Some1WhoNeedsHelp said:
F=(Cd*ρ*A*V2)/2=-mγV2?
Is that correct?
No, it is not correct because it is self contradictory.
The magnitude |F| of the drag force is positive and one can write
|F|=(Cd*ρ*A*V2)/2=mγV2.
If one wants to write Newton's second law, one must write
F= m dv/dt = -(Cd*ρ*A*V2)/2 = -mγV2.
 
  • Like
Likes   Reactions: Some1WhoNeedsHelp
  • #13
kuruman said:
No, it is not correct because it is self contradictory.
The magnitude |F| of the drag force is positive and one can write
|F|=(Cd*ρ*A*V2)/2=mγV2.
If one wants to write Newton's second law, one must write
F= m dv/dt = -(Cd*ρ*A*V2)/2 = -mγV2.
so
γ=(Cd*ρ*A)/2m
?
 
  • #14
Yes.
 
  • Like
Likes   Reactions: Some1WhoNeedsHelp
  • #15
kuruman said:
Yes.
yes!

But since γ is positive I have a new problem

I am trying to calculate the V

so I multiply by "dt" and do integral

∫(1/γV2) dv=∫dt

(v/γ)*(-1/v)=t

(-1/γ)=t

So time is negative
 
  • #16
Time is not negative. You forgot the limits of integration. Assume that at ##t=0## the arrow has velocity ##v_0## and some later time ##t## it has some other velocity ##v##. Set the limits of integration, then integrate.
 
  • Like
Likes   Reactions: Some1WhoNeedsHelp
  • #17
kuruman said:
Time is not negative. You forgot the limits of integration. Assume that at ##t=0## the arrow has velocity ##v_0## and some later time ##t## it has some other velocity ##v##. Set the limits of integration, then integrate.
v0v(1/γV2) dv=∫0tdt

(v0/γ)*(-1/v0)-(v/γ)*(-1/v)=-t

(-1/γ)-(-1/γ)=t

0=t

correct?
 
  • #18
Some1WhoNeedsHelp said:
v0v(1/γV2) dv=∫0tdt

(v0/γ)*(-1/v0)-(v/γ)*(-1/v)=-t

(-1/γ)-(-1/γ)=t

0=t

correct?
I have no idea how you get that result from the integration. What is the integral (1/x2).dx?
Try again, taking one small step at a time so that we can see where your error is.
 
  • #19
haruspex said:
I have no idea how you get that result from the integration. What is the integral (1/x2).dx?
Try again, taking one small step at a time so that we can see where your error is.
The integral of (1/x2).dx is (-1/x)

so
(-1/γv0)-(-1/γv)=-t
 
  • #20
Some1WhoNeedsHelp said:
The integral of (1/x2).dx is (-1/x)

so
(-1/γv0)-(-1/γv)=-t
That looks better.
But please use parentheses appropriately. What you have written means (1/γ)v, where you mean 1/(γv). And it would have been more natural to have set the bounds the other way up, ##\int_{v_0}^v, \int_0^t##.
 
  • Like
Likes   Reactions: Some1WhoNeedsHelp and berkeman
  • #21
haruspex said:
That looks better.
But please use parentheses appropriately. What you have written means (1/γ)v, where you mean 1/(γv). And it would have been more natural to have set the bounds the other way up, ##\int_{v_0}^v, \int_0^t##.
-1/(γvt)+1/(γv0)=t

I know

γ,V0

so I get - 1 equation with 2 unknown things (Vt,t)

I would assume Vt should be equal to 0 since the drag force will stop the arrow eventually but the question asks me to calculate the value of Vt using the equation.I also know η, Cd , A, ρ and the length of the arrow, if that helps.
 
  • #22
Some1WhoNeedsHelp said:
but the question asks me to calculate the value of Vt
No, it asks you to find the value of t.
 
  • #23
haruspex said:
No, it asks you to find the value of t.
Help4.png


Oh wait, Is that mean I need to find an expression of V depending on t?

So am I right about the drag force will stop the arrow eventually despite being the only force?
 
Last edited:
  • #24
Some1WhoNeedsHelp said:
Is that mean I need to find an expression of V depending on t?
You did that in post #21
Some1WhoNeedsHelp said:
So am I right about the drag force will stop the arrow eventually despite being the only force?
That's for you to figure out. In fact it asks you to find how long it will take:
https://www.physicsforums.com/attachments/help2-png.318235/
 
  • Like
Likes   Reactions: Some1WhoNeedsHelp
  • #25
haruspex said:
You did that in post #21

That's for you to figure out. In fact it asks you to find how long it will take:
https://www.physicsforums.com/attachments/help2-png.318235/
Alright so according to the equation I created from post #21

-1/(γvt)+1/(γv0)=t

-v0+vt=-γvtv0t

vt+γvtv0t=v0

vt(1+γv0t)=v0

vt=v0/(1+γv0t)

So as time keeps increasing the vt will decrease to the point the speed of the arrow will become neglectable, so the arrow will stop
 
  • #26
Some1WhoNeedsHelp said:
vt will decrease to the point the speed of the arrow will become neglectable, so the arrow will stop
How long will it take to stop, according to the formula?
 
  • #27
I found someone in real life who help me to better understand the subject.
I realize now that the arrow won't stop as long as only drag force is active and gamma is 1/meter

Still thanks to both of you.
 
Last edited:
  • #28
Some1WhoNeedsHelp said:
I found someone in real life who help me to better understand the subject.
I realize now that the arrow won't stop as long as only drag force is active and gamma is 1/meter

Still thanks to both of you.
We too exist in the "real life" plane. Have we not been helping you understand?

You can find an answer quite easily using power (energy loss per unit time) considerations. The integral of power over time is energy loss in this case. If you can find an expression for energy loss as a function of time, you can find how long it takes to lose ##\frac{1}{2}mv_0^2.##
 
Last edited:
  • Like
Likes   Reactions: Some1WhoNeedsHelp
  • #29
kuruman said:
We too exist in the "real life" plane. Have we not been helping you understand?

You can find an answer quite easily using power (energy loss per unit time) considerations. The integral of power over time is energy loss in this case. If you can find an expression for energy loss as a function of time, you can find how long it takes to lose ##\frac{1}{2}mv_0^2.##
you help me a lot to understand too, even with this guy help I wouldn't be able to understand what he tries to explain to me if not for you two

That is why I am thanking you
Let me just upload my homework and I will solve this
 
  • #30
Some1WhoNeedsHelp said:
you help me a lot to understand too, even with this guy help I wouldn't be able to understand what he tries to explain to me if not for you two

That is why I am thanking you
Let me just upload my homework and I will solve this
Ok, we're here to help you if you get stuck.
 
  • Like
Likes   Reactions: Some1WhoNeedsHelp

Similar threads

Replies
3
Views
1K
  • · Replies 15 ·
Replies
15
Views
2K
  • · Replies 13 ·
Replies
13
Views
3K
  • · Replies 8 ·
Replies
8
Views
3K
  • · Replies 24 ·
Replies
24
Views
4K
  • · Replies 5 ·
Replies
5
Views
1K
  • · Replies 39 ·
2
Replies
39
Views
4K
  • · Replies 11 ·
Replies
11
Views
3K
  • · Replies 2 ·
Replies
2
Views
4K
  • · Replies 3 ·
Replies
3
Views
2K