Need Help with this Step in a DE solution

  • Context: Undergrad 
  • Thread starter Thread starter bigmike94
  • Start date Start date
Click For Summary
SUMMARY

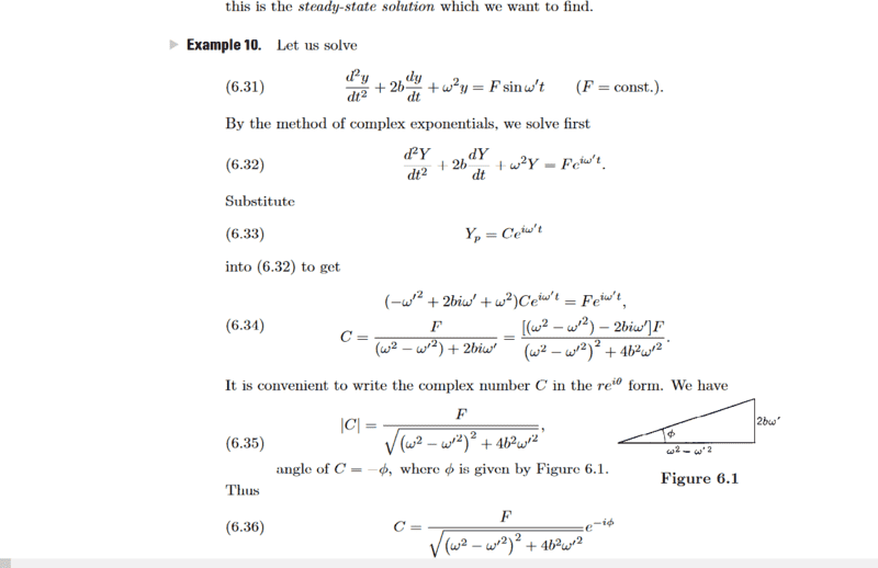
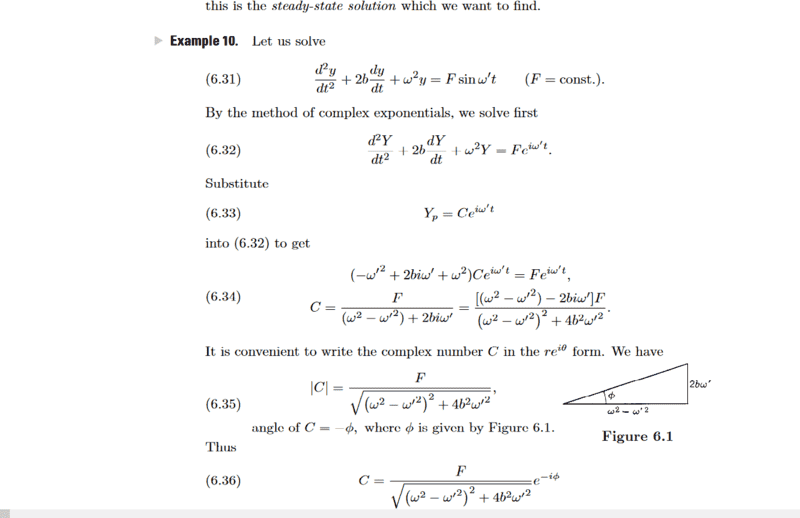
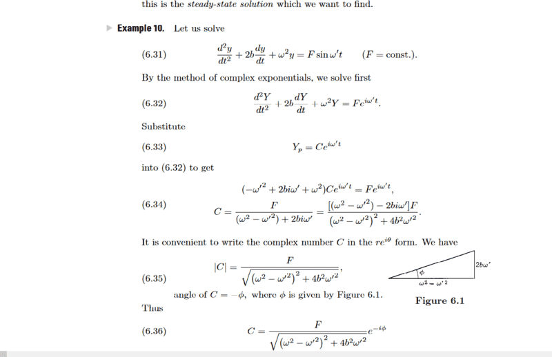
The discussion focuses on deriving the magnitude of a complex number C from equations 6.34 to 6.35 in a DE (Differential Equations) solution context. The user attempts to separate the fraction into real and imaginary parts to compute the magnitude but encounters discrepancies with the book's result. The correct approach involves recognizing that the complex norm is given by |C| = 1/√(x² + y²), confirming that the magnitude is indeed r, where r represents the distance from the origin in the complex plane.

PREREQUISITES
  • Understanding of complex numbers and their properties
  • Familiarity with differential equations
  • Knowledge of mathematical notation and manipulation
  • Basic grasp of the complex norm and its applications
NEXT STEPS
  • Study the derivation of complex norms in mathematical literature
  • Explore applications of complex numbers in differential equations
  • Learn about the geometric interpretation of complex numbers
  • Review the properties of real and imaginary components in complex analysis
USEFUL FOR

Students and professionals in mathematics, particularly those studying complex analysis and differential equations, will benefit from this discussion.

bigmike94
Messages
99
Reaction score
61
TL;DR
There's a step in this book which i am not sure i follow
at the bottom where it says equation 6.35, the magnitude of C, how do we get from equation 6.34 to 6.35? I separated the fraction into 2, one with a real part and the other imaginary and tried taking the magnitude then and didn't come up with the same as in the book. Can someone help show me what I am missing, please?
1669986818995.png
 

Attachments

  • 1669986757628.png
    1669986757628.png
    22.4 KB · Views: 192
Physics news on Phys.org
This is simply the complex norm: ##C=\dfrac{1}{x+iy}=\dfrac{x-iy}{(x+iy)(x-iy)}\Rightarrow |C|=\dfrac{1}{\sqrt{x^2+y^2}}=r.##
 
  • Like
Likes   Reactions: bigmike94

Similar threads

  • · Replies 3 ·
Replies
3
Views
4K
  • · Replies 19 ·
Replies
19
Views
2K
  • · Replies 4 ·
Replies
4
Views
2K
  • · Replies 5 ·
Replies
5
Views
3K
  • · Replies 3 ·
Replies
3
Views
2K
Replies
2
Views
1K
  • · Replies 13 ·
Replies
13
Views
2K
  • · Replies 2 ·
Replies
2
Views
2K
  • · Replies 65 ·
3
Replies
65
Views
9K
  • · Replies 2 ·
Replies
2
Views
2K