Normalization of Wavefunction Integration

Click For Summary

Homework Help Overview

The discussion revolves around the normalization of a wavefunction in quantum mechanics, specifically determining the constant A required for the wavefunction to satisfy the normalization condition that the integral of its squared magnitude over all space equals one.

Discussion Character

  • Exploratory, Conceptual clarification, Mathematical reasoning, Assumption checking

Approaches and Questions Raised

  • Participants discuss integration techniques, including integration by parts and properties of exponential integrals. Some express uncertainty about the steps needed to evaluate integrals and the implications of factorials in the context of the problem.

Discussion Status

Several participants have provided insights into the integration process, suggesting alternative methods to simplify calculations. There is ongoing exploration of the correct evaluation of definite integrals, with some participants questioning their own computations and the limits involved.

Contextual Notes

Participants note the challenge of working with the solution manual, which skips steps, leading to confusion. There is also mention of specific constants and the need to evaluate limits as part of the integration process.

brinraeven

Homework Statement


[/B]
upload_2017-10-1_10-12-35.png

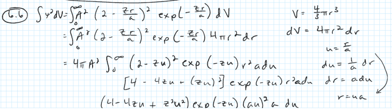
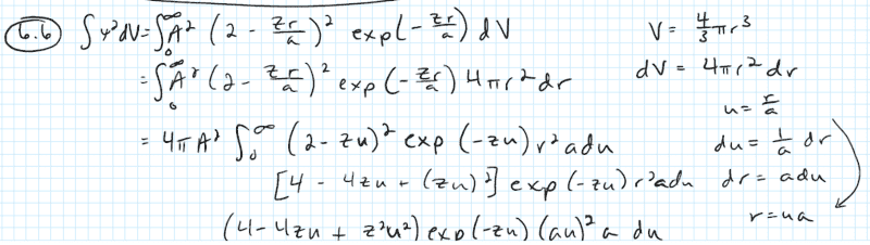
Determine the value that A (assumed real) must have if the wavefunction is to be correctly normalised, i.e. the volume integral of |Ψ|2 over all space is equal to unity.

Homework Equations


Integration by parts

upload_2017-10-1_10-14-50.png
upload_2017-10-1_10-15-0.png
(I think?)

The Attempt at a Solution


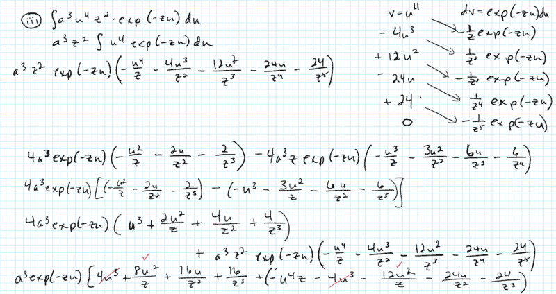
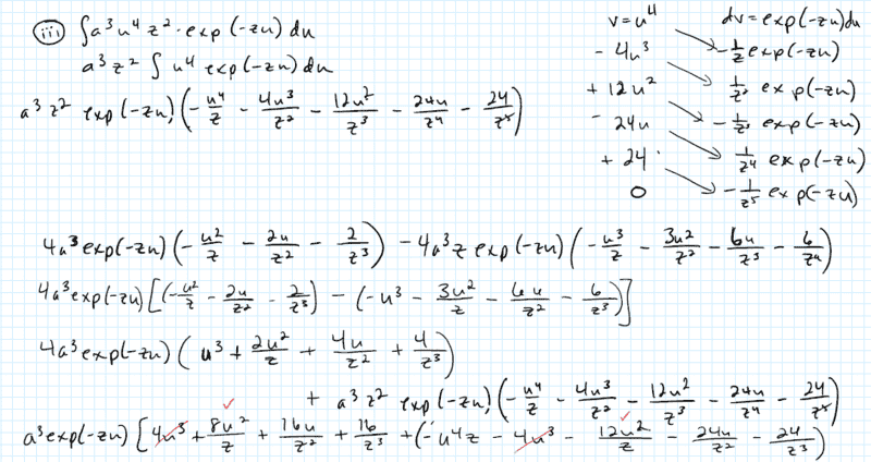
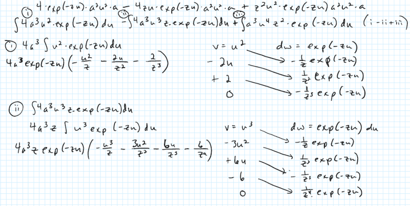
So, I've managed to do the integration correctly (I think), but I don't know where to go from here. I have the solution manual, but it skips most steps, so I don't know how to get there. It seems like it has something to do with writing out e^-x as a sum, since factorials play into it, but I don't know how.

My work:
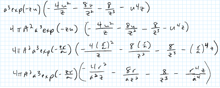
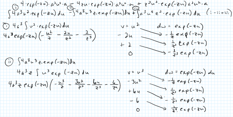
upload_2017-10-1_10-17-34.png

upload_2017-10-1_10-18-4.png

upload_2017-10-1_10-18-35.png

upload_2017-10-1_10-18-56.png

upload_2017-10-1_10-19-13.png

Solution manual:
upload_2017-10-1_10-19-40.png
 
Physics news on Phys.org
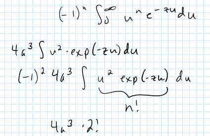
While I didn't check every step - it looks like you got it generally correct. But you haven't evaluated the definite integral yet. In the end, you should just get a number not a function of ##r##. And the mysterious factorials in the book solution are coming from the formula ##
\int_0^\infty u^n e^{-u} du = n!##. It might be handy to remember that, so you don't have to do integration by parts over and over again.
 
  • Like
Likes   Reactions: brinraeven
brinraeven said:

Homework Statement


[/B]
View attachment 212088
Determine the value that A (assumed real) must have if the wavefunction is to be correctly normalised, i.e. the volume integral of |Ψ|2 over all space is equal to unity.

Homework Equations


Integration by parts

View attachment 212089 View attachment 212090 (I think?)

The Attempt at a Solution


So, I've managed to do the integration correctly (I think), but I don't know where to go from here. I have the solution manual, but it skips most steps, so I don't know how to get there. It seems like it has something to do with writing out e^-x as a sum, since factorials play into it, but I don't know how.

My work:
View attachment 212091
View attachment 212092
View attachment 212093
View attachment 212094
View attachment 212095
Solution manual:
View attachment 212096

Have not checked your details, but note that you are doing a lot more work than you need to. You want to compute an integral of the form
$$\int_0^{\infty} (a_2 r^2 + a_3 r^3 + a_4 r^4) e^{-cr} \, dr$$
with known constants ##a_2, a_3, a_4## and ##c > 0##.

It is easy to compute ##F(c) = \int_0^{\infty} e^{-cr} \, dr .## Then, since ##(\partial / \partial c)^n e^{-cr} = (-1)^n r^n e^{-rc}## we have
$$ \int_0^{\infty} r^n e^{-rc} \, dr = (-1)^n \int_0^{\infty} \left(\frac{\partial}{\partial c} \right)^n e^{-cr} \, dr = (-1)^n \left(\frac{d}{dc} \right)^n F(c).$$
This avoids integration by parts and most other complications.
 
Last edited:
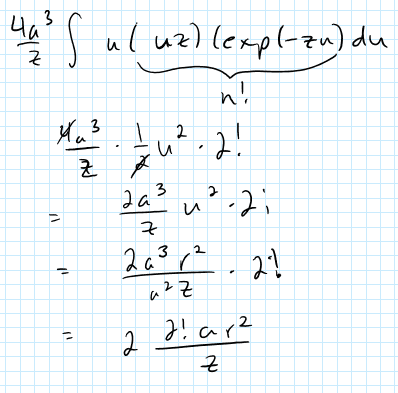
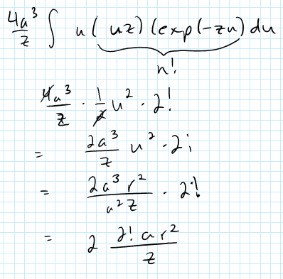
Thanks so much! I had no idea that was a property. So, I tried to work my first term using that property, but I'm not sure I did it right.
upload_2017-10-1_13-56-33.png
 

Attachments

  • upload_2017-10-1_13-30-48.png
    upload_2017-10-1_13-30-48.png
    8.1 KB · Views: 603
  • upload_2017-10-1_13-55-48.png
    upload_2017-10-1_13-55-48.png
    5.9 KB · Views: 590
Last edited by a moderator:
Ray Vickson said:
Have not checked your details, but note that you are doing a lot more work than you need to. You want to compute an integral of the form
$$\int_0^{\infty} (a_2 r^2 + a_3 r^3 + a_4 r^4) e^{-cr} \, dr$$
with known constants ##a_2, a_3, a_4## and ##c > 0##.

It is easy to compute ##F(c) = \int_0^{\infty} e^{-cr} \, dr .## Then, since ##(\partial / \partial c)^n e^{-cr} = (-1)^n r^n e^{-rc}## we have
$$ \int_0^{\infty} r^n e^{-rc} \, dr = (-1)^n \int_0^{\infty} \left(\frac{\partial}{\partial c} \right)^n e^{-cr} \, dr = (-1)^n \left(\frac{d}{dc} \right)^n F(c).$$
This avoids integration by parts and most other complications.

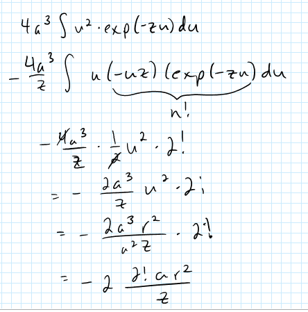
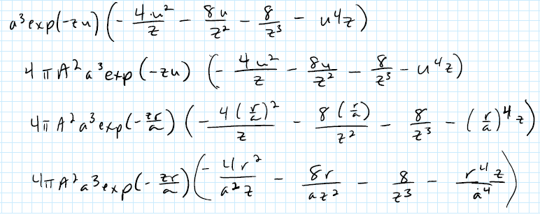
This is also great. I attempted to work it out using that, and I am closer to a solution, but still not sure I computed it correctly.

upload_2017-10-1_13-57-18.png
 

Attachments

  • upload_2017-10-1_13-44-40.png
    upload_2017-10-1_13-44-40.png
    5.6 KB · Views: 581
Last edited by a moderator:
brinraeven said:
Thanks so much! I had no idea that was a property. So, I tried to work my first term using that property, but I'm not sure I did it right.
View attachment 212105

Not right. You aren't substituting consistently. Change the variable to ##v=uz## and write it completely in terms of ##v##. Then think about it.
 
Last edited:
BTW you can get the correct answer out of your first effort. But you didn't actually evaluate the definite integral. You need to substitute ##r=0## and then think about the limit as ##r \rightarrow \infty##.
 
Dick said:
BTW you can get the correct answer out of your first effort. But you didn't actually evaluate the definite integral. You need to substitute ##r=0## and then think about the limit as ##r \rightarrow \infty##.

I figured that, but was having a ton of trouble envisioning it. Well, then I went back after you said this, and gave them all the common denominator of z^3. The only term that does not have an r in the numerator becomes -8a^3/z^3, which gives me the correct answer, but negative, but that doesn't matter since the final answer is +- a square root anyway. How does having r in the numerator make all the other terms disappear? Doesn't that mean all the terms go to infinity?

But wait, it's infinity minus -8a^3/z^3, but wouldn't that equal infinity?
 
brinraeven said:
I figured that, but was having a ton of trouble envisioning it. Well, then I went back after you said this, and gave them all the common denominator of z^3. The only term that does not have an r in the numerator becomes -8a^3/z^3, which gives me the correct answer, but negative, but that doesn't matter since the final answer is +- a square root anyway. How does having r in the numerator make all the other terms disappear? Doesn't that mean all the terms go to infinity?

But wait, it's infinity minus -8a^3/z^3, but wouldn't that equal infinity?

Take the example of ##\int_0^\infty u^2e^{-u}du##. The indefinite integral is ##(-u^2-2u-2)e^{-u}##. You have to evaluate it between the limits of ##0## and ##\infty##. The ##0## part is easy, it just gives you ##-2##. For the upper limit you can't just put ##u=\infty##, you need to figure out the limit of ##(-u^2-2u-2)e^{-u}## as ##u## approaches ##\infty##. I claim that ##\lim_{u \to \infty}u^n e^{-u}=0## for any ##n##. You can prove it with l'Hopital's rule, or if this is a physics course you may not have to prove it. So the difference is ##0-(-2)=2## and that's the value of the definite integral.
 
  • #10
Thank you everyone! I did end up doing it the long way, only because I couldn't quite get the z^3 on the bottom for the other method, but I will keep practicing it, because it is infinitely easier than the long way.
 
  • #11
brinraeven said:
Thank you everyone! I did end up doing it the long way, only because I couldn't quite get the z^3 on the bottom for the other method, but I will keep practicing it, because it is infinitely easier than the long way.

$$F(c) = \int_0^{\infty} e^{-rc} \, dr = \frac{1}{c}, $$
so
$$ \begin{array}{rcl}
\displaystyle \int_0^{\infty} r e^{-rc} \, dr &=&\displaystyle -\frac{d}{dc} \frac{1}{c} = \frac{1}{c^2} \\
\displaystyle \int_0^{\infty} r^2 e^{-rc} \, dt &=&\displaystyle -\frac{d}{dc} \frac{1}{c^2} = \frac{2}{c^3} \\
\displaystyle \int_0^{\infty} r^3 e^{-rc} \, dt &=&\displaystyle -\frac{d}{dc} \frac{2}{c^3} = \frac{3!}{c^4}
\end{array}
$$
and so forth. By induction we have ##\int_0^{\infty} r^n e^{-rc} \, dr = n!/c^{n+1}.## As I said already: almost no work is needed, and the chances of making an error are almost zero.
 
  • Like
Likes   Reactions: brinraeven

Similar threads

Replies
7
Views
3K
  • · Replies 2 ·
Replies
2
Views
3K
  • · Replies 1 ·
Replies
1
Views
2K
  • · Replies 3 ·
Replies
3
Views
2K
  • · Replies 5 ·
Replies
5
Views
2K
  • · Replies 5 ·
Replies
5
Views
2K
  • · Replies 6 ·
Replies
6
Views
4K
  • · Replies 14 ·
Replies
14
Views
2K
  • · Replies 3 ·
Replies
3
Views
2K
  • · Replies 1 ·
Replies
1
Views
2K