Normalize the Gaussian wave packet

Click For Summary

Homework Help Overview

The discussion revolves around the normalization of a Gaussian wave packet, specifically addressing the mathematical intricacies involved in ensuring the wave function is properly normalized. Participants explore the implications of the constants involved and the conditions under which the normalization integral converges.

Discussion Character

  • Mathematical reasoning, Assumption checking, Problem interpretation

Approaches and Questions Raised

  • Participants discuss various methods for normalizing the wave function, including completing the square and changing variables. Questions arise regarding the convergence of the integral and the implications of the constants used in the calculations.

Discussion Status

The discussion is active, with participants providing insights and corrections to each other's reasoning. Some participants express confusion regarding the normalization constant and its potential to be complex, while others clarify the conditions necessary for the integral to yield a real result.

Contextual Notes

There is an ongoing debate about the sign and nature of the constant \( c \), with some participants suggesting it must be negative for convergence, while others explore substitutions to clarify the calculations. The potential for the normalization constant to be complex is also a point of contention.

tanaygupta2000
Messages
208
Reaction score
14
Homework Statement
To normalize the wave equation given
Relevant Equations
A^2 (psi)*(psi) = 1
Capture.PNG

For normalizing this wave function, I began by finding the complex conjugate of psi and then multiplied it with the original psi.
Now what I am getting is A^2 integral exp(2cx^2-4ax) dx = 1
Now I am not getting how to solve this exponential term. I tried by completing the square method but it is not giving a good result. Please help!
 
Physics news on Phys.org
I would try completing the square of the exponential argument before multiplying by the complex conjugate and then do a change of variables. Why is it not a good result?

On edit: I take it back. Completing the square after finding ##\psi^*\psi## works. Note that given real constant ##c## must be negative for the normalization integral to converge and needs a little bit of extra care.
 
Last edited:
  • Like
Likes   Reactions: tanaygupta2000
Yes sir, integral will only converge if c is replaced by -c.
On doing so, and making some simple substitution like (x + a/c) = t and dx = dt,
I am successfully getting value of normalization constant A = (2c/pi)^(1/4) exp(-a^2 /c)
 
I would write the coefficient up front as ##\left[\frac{2(-c)}{\pi}\right]^{\frac{1}{4}}.## That's because ##c## is a negative number. Also, the argument of the exponential is not what I got. What does your completed square for ##\psi^*\psi## look like?
 
It's 2c[(x - a/c)^2 - (a/c)^2]
 
tanaygupta2000 said:
It's 2c[(x - a/c)^2 - (a/c)^2]
Yes, I agree. Your normalization is good. Sorry for the confusion, I had an extra factor of two. Can you finish the problem now?
 
  • Informative
Likes   Reactions: tanaygupta2000
kuruman said:
Yes, I agree. Your normalization is good. Sorry for the confusion, I had an extra factor of two. Can you finish the problem now?
Sure, sir. Thank you very much for the help!
So I get this: solve by using c --> -c so that the integral can be evaluated and in the final answer revert it to +c back (using iota wherever necessary).
 
tanaygupta2000 said:
Sure, sir. Thank you very much for the help!
So I get this: solve by using c --> -c so that the integral can be evaluated and in the final answer revert it to +c back (using iota wherever necessary).

I think you missed my point in post #4. You do not use ##i=\sqrt{-1}## wherever necessary. To normalize, you do the integral $$1=\int (N\psi)^*(N\psi) dx=|N|^2 \int \psi^*\psi~dx$$ and solve for ##|N|.## You can drop the absolute signs, but you must keep in mind that the normalization constant ##N## is real. To remember that in this case, it helps to write the constant up front as ##k=\left[\frac{2(-c)}{\pi}\right]^{\frac{1}{4}}.## If someone gives you a value ##c=-8~\text{m}^{-2}##, then you can substitute and say ##k=\frac{2}{\pi^{1/4}}~\text{m}^{-1/2}.## If someone gives you a value ##c=+8~\text{m}^{-2}##, then you cannot substitute and must say "this wavefunction cannot be normalized"; you don't say ##k=\frac{\sqrt{2}+i\sqrt{2}}{\pi^{1/4}}~\text{m}^{-1/2}.##

What did you get for the constant exponential term that multiplies ##k## when you write ##N=k \exp(?)##. I don't think it is ##\exp(-a^2/c^2)## as you have in post #3.
 
Last edited:
  • Like
Likes   Reactions: tanaygupta2000
Okay, so we write N = [-2c/pi]^(1/4) with c strictly negative as the normalization constant.
So for calculating the expectation values, can I use
psi(x) = [2c/pi]^(1/4) exp(-cx^2 - 2(a+ib)x - a^2 /c) ?

because for this integral to convege, there should be a - sign before the c.
So I replaced c with -c to evaluate it and hence there is no - sign in N.
Or should I adopt some other method?
 
  • #10
If you replace ##c## with ##-c##, you are likely to be confused in the end. What I would do is replace ##c=-\gamma^2## where ##\gamma## is real. Do your calculations and integrals with that and then in the very end replace ##\gamma^2## with ##(-c)## (keep the parentheses) and ##\gamma^4## with ##c^2##. That will automatically sort out the negative signs.
 
  • Like
Likes   Reactions: tanaygupta2000
  • #11
In the end, I am getting a factor of sqrt(gamma) in the normalization constant.
How to justify it?
 
  • #12
tanaygupta2000 said:
In the end, I am getting a factor of sqrt(gamma) in the normalization constant.
How to justify it?
I don't get a factor of gamma. Please show me how it comes about in your calculation.
 
Last edited:
  • #13
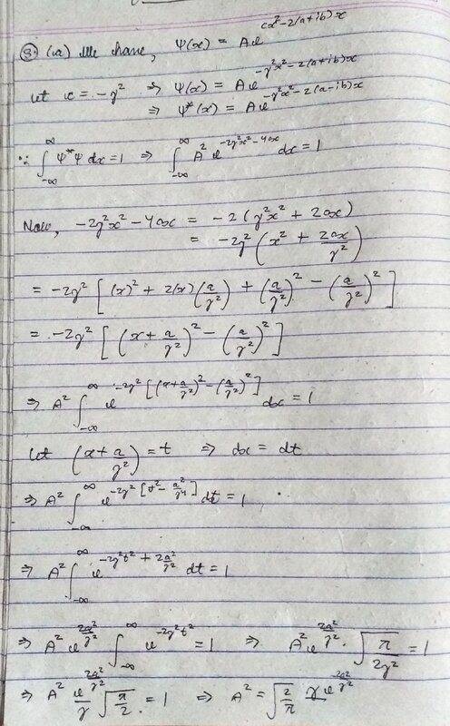
IMG_20210218_084040.jpg
 
  • #14
You have ##A^2e^{2a^2/\gamma^2}\sqrt{\frac{\pi}{2\gamma^2}}=1##.
If you follow the algebra, it should be ##A^2e^{2a^2/\gamma^4}\sqrt{\frac{\pi}{2\gamma^2}}=1##.

Then ##A^2=e^{-2a^2/\gamma^4}\left[\frac{2\gamma^2}{\pi}\right]^{1/2}=e^{-2a^2/c^2}\left[\frac{2(-c)}{\pi}\right]^{1/2}.##
 
  • Informative
Likes   Reactions: tanaygupta2000
  • #15
IMG_20210218_084040.jpg


Sir, am I correct upto this portion?
After this step, I am getting only (gamma)^2 below 2a^2 as (gamma)^2/ (gamma)^4 = (gamma)^(-2). isn't it?
Please help me where I am wrong.
 
  • #16
tanaygupta2000 said:
View attachment 278261

Sir, am I correct upto this portion?
After this step, I am getting only (gamma)^2 below 2a^2 as (gamma)^2/ (gamma)^4 = (gamma)^(-2). isn't it?
Please help me where I am wrong.
That looks right to me.
 
  • #17
Here's an alternative approach I would take to break the problem down into easier steps:

First, evaluate: $$\int_{-\infty}^{+\infty} e^{-x^2 -\beta x}dx$$ And write down this answer and keep it somewhere safe.

Then, using this result, evaluate $$\int_{-\infty}^{+\infty} e^{-\alpha x^2 -\beta x}dx$$ using the substitution ##u = \sqrt{\alpha} x##. And keep that safe too.

(I have six pages of standard integrals like this! I find it faster and more reliable than typing things into Wolfram.)

Finally, evaluate your integral with ##\alpha = -2c, \ \beta = 4a##.

You can figure out ##A## at the end.
 
  • Like
Likes   Reactions: tanaygupta2000
  • #18
kuruman said:
You have ##A^2e^{2a^2/\gamma^2}\sqrt{\frac{\pi}{2\gamma^2}}=1##.
If you follow the algebra, it should be ##A^2e^{2a^2/\gamma^4}\sqrt{\frac{\pi}{2\gamma^2}}=1##.

Then ##A^2=e^{-2a^2/\gamma^4}\left[\frac{2\gamma^2}{\pi}\right]^{1/2}=e^{-2a^2/c^2}\left[\frac{2(-c)}{\pi}\right]^{1/2}.##
I get no more than ##\gamma^2## in there. And I'm just looking up my standard integrals!
 
  • #19
PeroK said:
Here's an alternative approach I would take to break the problem down into easier steps:

First, evaluate: $$\int_{-\infty}^{+\infty} e^{-x^2 -\beta x}dx$$ And write down this answer and keep it somewhere safe.

Then, using this result, evaluate $$\int_{-\infty}^{+\infty} e^{-\alpha x^2 -\beta x}dx$$ using the substitution ##u = \sqrt{\alpha} x##. And keep that safe too.

(I have six pages of standard integrals like this! I find it faster and more reliable than typing things into Wolfram.)

Finally, evaluate your integral with ##\alpha = -2c, \ \beta = 4a##.

You can figure out ##A## at the end.
Thank You sir! But unfortunately the normalization constant is still coming imaginary.
 
  • #20
Can somebody please upload a picture with the solution?
I'm getting confused.
 
  • #21
tanaygupta2000 said:
Thank You sir! But unfortunately the normalization constant is still coming imaginary.
Your answer for ##A^2## is real and positive in post #15. That is correct.

All these integrals are real and positive. They can't possibly have a negative value. The only confusion is that they gave you ##c## (which forces ##c## to be a negative number). Or, let ##c = -\gamma^2##, where ##\gamma## is positive, as you've done.
 
  • Like
Likes   Reactions: tanaygupta2000
  • #22
PeroK said:
Your answer for ##A^2## is real and positive in post #15. That is correct.

All these integrals are real and positive. They can't possibly have a negative value. The only confusion is that they gave you ##c## (which forces ##c## to be a negative number). Or, let ##c = -\gamma^2##, where ##\gamma## is positive, as you've done.
But my value of A is coming to be complex. It must be real.
 
  • #23
tanaygupta2000 said:
But my value of A is coming to be complex. It must be real.
Why is ##A## complex?
 
  • #24
PeroK said:
Why is ##A## complex?
It is involving sqrt of iota.
 
  • #25
after making substitution c = -(gamma)^2
 
  • #26
tanaygupta2000 said:
It is involving sqrt of iota.
Not in post #15, where you have the right answer.
 
  • #27
PeroK said:
Not in post #15, where you have the right answer.
Gamma = iota times c
So already-complex A will be more complex as sq root of i comes into picture.
I am wondering is the question incorrect?
 
  • #28
tanaygupta2000 said:
Gamma = iota times c
So already-complex A will be more complex as sq root of i comes into picture.
I am wondering is the question incorrect?
No, no, no!

##c## is negative, ##-c## is positive, ##\gamma## is positive by definition.

There are no complex numbers involved.
 
  • Informative
Likes   Reactions: tanaygupta2000
  • #29
PeroK said:
No, no, no!

##c## is negative, ##-c## is positive, ##\gamma## is positive by definition.

There are no complex numbers involved.
Excellent sir! Now I understood everything !
Thank You so so much for yours and Kuruman sir's precious efforts in helping me.
 
  • Like
Likes   Reactions: kuruman and PeroK
  • #30
PeroK said:
I get no more than ##\gamma^2## in there. And I'm just looking up my standard integrals!
You are absolutely correct. I forgot the ##\gamma^2## up front when I separated the exponentials. This is especially infuriating to me because I squared ##\gamma## in the first place so that its dimensions match ##a## and make troubleshooting easier by dimensional analysis.
PeroK said:
##c## is negative,##-c## is positive, ##\gamma## is positive by definition
Actually the definition is ##c=-\gamma^2## where ##\gamma## is real. ##\gamma## doesn't have to be positive.

To @tanaygupta2000 :
Your expression in post #15 ##A^2e^{2a^2/\gamma^2}\sqrt{\frac{\pi}{2\gamma^2}}=1## is correct. Sorry for the confusion.
 
  • Like
Likes   Reactions: tanaygupta2000

Similar threads

  • · Replies 4 ·
Replies
4
Views
1K
  • · Replies 6 ·
Replies
6
Views
1K
  • · Replies 22 ·
Replies
22
Views
2K
  • · Replies 3 ·
Replies
3
Views
2K
  • · Replies 1 ·
Replies
1
Views
2K
  • · Replies 7 ·
Replies
7
Views
1K
  • · Replies 1 ·
Replies
1
Views
3K
  • · Replies 8 ·
Replies
8
Views
3K
  • · Replies 18 ·
Replies
18
Views
2K
Replies
1
Views
2K