Numerical Integration Scheme: Interpolating Polynomials Explained

Click For Summary
SUMMARY

The discussion centers on the understanding of interpolating polynomials and their associated errors, specifically in relation to the composite Simpson's rule, which is exact for polynomials of order up to 3 with an error term proportional to h4. The original poster, Lwooley90, seeks clarification on this topic but is informed by a moderator that assistance cannot be provided for questions contributing to a student's final grade, as per MHB policy. The thread is subsequently closed to maintain academic integrity.

PREREQUISITES
  • Understanding of numerical integration techniques
  • Familiarity with polynomial interpolation
  • Knowledge of error analysis in numerical methods
  • Basic principles of academic integrity in educational settings
NEXT STEPS
  • Research the properties of composite Simpson's rule in numerical integration
  • Study the theory behind polynomial interpolation and its applications
  • Explore error analysis techniques in numerical methods
  • Review academic integrity policies and their implications in online forums
USEFUL FOR

Students in mathematics or engineering fields, educators teaching numerical methods, and anyone interested in the ethical considerations of academic assistance in online communities.

f00lishroy
Messages
6
Reaction score
0
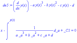
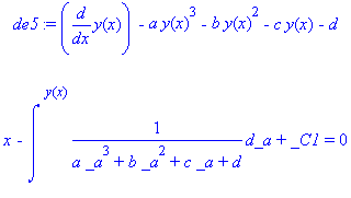
I am struggling to understand interpolating polynomials and their errors. I have a problem off of a study guide here:
http://terminus.sdsu.edu/SDSU/Math541_f2012/Resources/studyguide-mt01.pdf

View attachment 810

I understand that the composite simpsons rule is only exact for polynomials up to order 3, with error term proportional to h4. Is this the same case? A detailed explanation would be much appreciated, as I mentioned I'm having a hard time grasping this subject. Thank you

-L
 

Attachments

  • Screen Shot 2013-05-07 at 6.02.13 PM.png
    Screen Shot 2013-05-07 at 6.02.13 PM.png
    13.5 KB · Views: 107
Physics news on Phys.org
Hello Lwooley90,

The attached image indicates that this is a graded assignment, and we do not knowingly help with problems which contribute to a student's final grade as per rule #6, which states:

Do not cheat. Teachers expect questions that form part of an assessment that contributes towards the final grade of a student to be the work of that student and not the work of others. For that reason, MHB policy is to not knowingly help with such questions. If a question presents in such a way as to suggest that it falls in this category, a Moderator will Close the thread (with an explanation as to why the thread was closed). The original poster can always send a pm to the Moderator to discuss the situation but if the Moderator is unconvinced, then the thread will remain closed. When a Moderator is certain that a particular member is attempting to cheat, that member will be banned and the offending thread removed. Where possible, the institute at which the member studies at will also be notified and a copy of the thread provided. This may sound harsh but the fact is that MHB places a high premium on academic honesty and integrity.

I am now directed by MHB policy to close this topic. If this question is from a past exam or for any other reason is not actually a graded assignment, please let me know and I will reopen the topic.
 

Similar threads

  • · Replies 6 ·
Replies
6
Views
2K
  • · Replies 16 ·
Replies
16
Views
2K
  • · Replies 1 ·
Replies
1
Views
2K
Replies
3
Views
3K
Replies
12
Views
4K
  • · Replies 25 ·
Replies
25
Views
10K
  • · Replies 13 ·
Replies
13
Views
4K
Replies
2
Views
1K
Replies
5
Views
47K