On the Coriolis Forcing vector and its Matrix

Click For Summary
SUMMARY

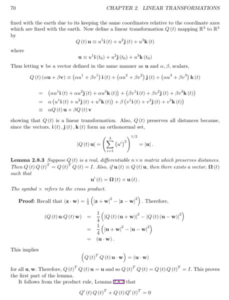
The discussion centers on the Coriolis Forcing vector and its matrix representation, specifically focusing on the differential equation Q'(t)Q(t)T + Q(t)Q'(t)T = 0. The inquiry suggests that under certain conditions, Q(t0) = I can be assumed true, leading to the conclusion that the matrix expression of Q(t) varies with the choice of orthonormal basis vectors {i(t0), j(t0), k(t0)}. The participants agree that while Q(t) maintains certain properties, its representation is basis-dependent, impacting the trajectory of points in ℝn.

PREREQUISITES
  • Understanding of differential equations, particularly Picard's existence theorem.
  • Familiarity with matrix operations and properties of orthonormal bases.
  • Knowledge of the Coriolis effect in physics and its mathematical representation.
  • Basic proficiency in LaTeX for mathematical expressions.
NEXT STEPS
  • Research the implications of Picard's existence theorem on differential equations.
  • Study the properties of orthonormal bases in linear algebra.
  • Explore the mathematical formulation of the Coriolis effect and its applications.
  • Learn how to effectively use LaTeX for typesetting mathematical equations.
USEFUL FOR

Mathematicians, physicists, and engineers interested in the dynamics of rotating systems, as well as students studying advanced linear algebra and differential equations.

Gear300
Messages
1,211
Reaction score
10
The context for the question is in the attachments (pg1.png, pg2.png, pg3.png), so there is some reading involved. Although, it is a short and simple read if anything. The inquiry is in (inquiry.png).
My understanding of the situation is that Q(t) abides by the differential equation
Q'(t)Q(t)T + Q(t)Q'(t)T = 0 .
So by something akin to Picard's existence theorem on differential equations, we can resolve exact trajectories for Q(t) given initial conditions. The peculiar thing is that
Q(t0) z(t0) = z(t0)
can likely be assumed to be true for all z(t0) ∈ ℝn, in which case
Q(t0) = I
should also be true.
Now if I let R = ( i(t0) , j(t0) , k(t0) ), then
RTR = RRT = I ,
and the question insists that
RTQ(t)R = Q ⇒ Q(t)R = RQ(t).
Although, our choice of the initial condition basis vectors for R is arbitrary, so how can we expect that R necessarily commutes with Q(t)? Unless of course, the question is asking for the matrix expression of Q(t) in the { i(t0) , j(t0) , k(t0) } basis. I am just wondering if I am to expect the matrix expression of Q(t) to remain invariant given any orthonormal basis of the same orientation?
(Also, how do I insert latex?)
 

Attachments

  • pg1.png
    pg1.png
    37.2 KB · Views: 510
  • pg2.png
    pg2.png
    24.6 KB · Views: 538
  • pg3.png
    pg3.png
    16 KB · Views: 475
  • inquiry.png
    inquiry.png
    8.3 KB · Views: 463
Last edited:
Physics news on Phys.org
Well, by the looks of it, the matrix expression for Q(t) would change depending on the basis { i(t0) , j(t0) , k(t0) } used. So I suppose the answer is simply in the context of the trajectory of one point.
 

Similar threads

  • · Replies 0 ·
Replies
0
Views
4K
  • · Replies 7 ·
Replies
7
Views
3K
  • · Replies 1 ·
Replies
1
Views
4K
  • · Replies 12 ·
Replies
12
Views
2K
  • · Replies 5 ·
Replies
5
Views
2K
Replies
19
Views
3K
  • · Replies 1 ·
Replies
1
Views
4K
  • · Replies 1 ·
Replies
1
Views
1K
  • · Replies 9 ·
Replies
9
Views
3K
  • · Replies 4 ·
Replies
4
Views
2K