One solution, no solution or infinite solutions with k

  • Thread starter Thread starter Mrencko
  • Start date Start date
  • Tags Tags
    Infinite
Click For Summary

Homework Help Overview

The discussion revolves around determining the values of "k" in a system of equations that yield no solutions, exactly one solution, or infinite solutions. The equations in question are linear, and participants explore the implications of different values of k on the solution set.

Discussion Character

  • Exploratory, Conceptual clarification, Mathematical reasoning, Problem interpretation

Approaches and Questions Raised

  • Participants discuss testing specific values for k and inquire about methods for solving more complex systems. There is mention of using matrix methods and substitution, as well as the theoretical implications of keeping k in the equations.

Discussion Status

The conversation includes various interpretations of how the equations behave based on the value of k. Some participants suggest that if k equals 6, the lines represented by the equations are equivalent, leading to infinite solutions. Others question the conditions under which the lines might be parallel or intersect at a single point, indicating a productive exploration of the topic.

Contextual Notes

Participants note the complexity of systems with multiple equations containing k, and there is an acknowledgment of the need for methods that apply to larger systems, such as 3x3 or 5x5 equations.

Mrencko
Messages
109
Reaction score
0

Homework Statement


¿which one values of "k" the next equation sistem don't have solutions, exactly one solution, infinite solutions?

Homework Equations


testy.png


The Attempt at a Solution


well i guess i need to assign values to test the equations, but i am asking for a metod to help solve this if they are more complex, by the way i am finding solutions, like k=6
but i don't know if foward in number scale are there other solutions
[/B]
 
Physics news on Phys.org
Mrencko said:

Homework Statement


¿which one values of "k" the next equation sistem don't have solutions, exactly one solution, infinite solutions?

Homework Equations


View attachment 100081

The Attempt at a Solution


well i guess i need to assign values to test the equations, but i am asking for a metod to help solve this if they are more complex, by the way i am finding solutions, like k=6
but i don't know if foward in number scale are there other solutions
In general, how do you solve such a system for x and y ?
 
well doing matrix, or for this simple equations sustitution metod, but how to solve whith a teorical k in place?
 
Mrencko said:
well doing matrix, or for this simple equations sustitution metod, but how to solve whith a teorical k in place?
Leave it as k. Try substitution.
Mrencko said:
well doing matrix, or for this simple equations sustitution metod, but how to solve whith a teorical k in place?
Just keep k and solve as you would normally solve with substitution.
 
do you mean, solve like k doesn't exist? and put a 0?
 
Mrencko said:
do you mean, solve like k doesn't exist? and put a 0?
No leave it as k.
Use algebra.
 
its says k=6 so i am ok, but its ok to do the metod whith complex equations? like 5x5
 
Mrencko said:
its says k=6 so i am ok, ...but its ok to do the metod whith complex equations? like 5x5
Now put 6 in for k. Solve the system again in this specific case. (Matrix method may be clearer.)

(I don't understand your last question.)
 
there are some exercices when they put 3x3 equation sistem and in all the equations a k, or in two of them and they ask the same about solutions
 
  • #10
If you use a 6 for k, how would you describe the solution set?
 
  • #11
correct me if i am wrong but must be k=6 and must be x>y because x-y=positive number, so y=x-3
 
  • #12
Mrencko said:
correct me if i am wrong but must be k=6 and must be x>y because x-y=positive number, so y=x-3
k must be 6 , that's correct.

y does not have to be positive.

It is also correct that y = x - 3.

How do you describe the equation y = x - 3 ?

How many possible solutions does that give for (x,y) ?
 
  • #13
Maybe it's unfair to call this 'obvious'. Maybe it's obviousness depends on familiarity.

But if it doesn't hit you in the eye now, after you divide the second equation by 2 doesn't it?
 
  • #14
I think its a linear function, starts at - 3 in y axis, and the solutions for that only and specific equation must be infinite
 
  • #15
Yes this is easy, i am looking for a metod to do this right and quick for more complex equation system, for my test
 
  • #16
Mrencko said:
I think its a linear function, starts at - 3 in y axis, and the solutions for that only and specific equation must be infinite
(Please try to use the "Reply" feature, so it's clear who you are addressing and what question you are answering.)

The y-intercept is -3, but the line doesn't start there.
 
  • #17
Mrencko said:

Homework Statement


¿which one values of "k" the next equation sistem don't have solutions, exactly one solution, infinite solutions?

Homework Equations


View attachment 100081

The Attempt at a Solution


well i guess i need to assign values to test the equations, but i am asking for a metod to help solve this if they are more complex, by the way i am finding solutions, like k=6
but i don't know if foward in number scale are there other solutions[/B]
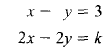
The system is
$$x - y = 3$$
$$2x - 2y = k$$
It might be helpful to look at the geometry here. If k = 6, the two equations are equivalent -- they describe exactly the same line. Any point (x, y) on one line is also on the other line.

If ##k \ne 6##, what can you say about the lines? Do they intersect?

Is it possible for the two lines to intersect at exactly one point?
 
Last edited:
  • #18
interesting, the way of the geometry, well if k its not 6 then the lines will be parallel whiout any intersection, am i right?
 
  • #19
Mrencko said:
interesting, the way of the geometry, well if k its not 6 then the lines will be parallel whiout any intersection, am i right?
Right !
 
  • #20
thanks for your time, people it was very rich the explanation and hit direct into the point of my question, thanks really
 
  • #21
so the system have infinite solutions, as long the functions overlap
 
  • #22
Mrencko said:
so the system have infinite solutions, as long the functions overlap
What if the overlap is just a single point?
 
  • #23
then there should be just one solution, because there isn't two functions, that overlap in one point and then overlap each other to ifinite
 
  • #24
Mrencko said:
then there should be just one solution, because there isn't two functions, that overlap in one point and then overlap each other to ifinite
What you say is true for linear functions, which is probably all that you are considering.

At some point you asked about more complicated systems such as 3×3 or 5×5 .

Those can best be analyzed using matrix methods.
 
  • #25
Mrencko said:
so the system have infinite solutions, as long the functions overlap

SammyS said:
What if the overlap is just a single point?

Mrencko said:
then there should be just one solution, because there isn't two functions, that overlap in one point and then overlap each other to ifinite
Can the system in this thread have just a single solution? In other words, can the lines represented by the two equations of this system intersect at exactly one point?
 

Similar threads

  • · Replies 13 ·
Replies
13
Views
4K
  • · Replies 26 ·
Replies
26
Views
2K
Replies
4
Views
2K
  • · Replies 3 ·
Replies
3
Views
2K
Replies
12
Views
2K
  • · Replies 13 ·
Replies
13
Views
2K
  • · Replies 2 ·
Replies
2
Views
3K
  • · Replies 10 ·
Replies
10
Views
2K
  • · Replies 34 ·
2
Replies
34
Views
8K
  • · Replies 2 ·
Replies
2
Views
2K