Open Gas Turbine - calculate T2, T3, T4, efficiency

Click For Summary
SUMMARY

This discussion focuses on calculating the temperatures T2, T3, T4, and efficiency of an open gas turbine with a pressure ratio (πœ‹) of 10. The user successfully calculated T2 as 565.783K using the formula T2 = T1 * (πœ‹)^(k-1/k), where T1 is 293K. However, the user is seeking guidance on how to determine the pressures p1 and p2 from T1 and T2, which are necessary to proceed with the calculations for T3 and efficiency.

PREREQUISITES
  • Understanding of ideal gas laws
  • Familiarity with thermodynamic principles, specifically isentropic processes
  • Knowledge of heat capacity (cp) and its application in gas calculations
  • Ability to manipulate pressure ratios in thermodynamic systems
NEXT STEPS
  • Learn how to apply the ideal gas law to calculate pressures p1 and p2 from known temperatures T1 and T2
  • Research the relationship between pressure ratios and temperature in isentropic processes
  • Study the calculation of T3 and T4 in open gas turbines using energy balance equations
  • Explore methods for determining efficiency in gas turbine cycles
USEFUL FOR

Engineers, thermodynamics students, and professionals involved in gas turbine design and analysis will benefit from this discussion.

Waits
Messages
1
Reaction score
0
Thread moved from the technical forums to the schoolwork forums
Hello,

I am trying to solve a problem about an open Gas Turbine. The given information would be:

- An open gas turbine draws in air from the surroundings having the m, cp, T1 and constant kL with the next values:
1656942189944.png
,
1656942208959.png
- The air flow is heat over natural gas supplied:
1656942331209.png
- The pressure ratio is πœ‹ = 10.
- In the turbine, the exhaust gas is brought to ambient pressure relaxed.
- For simplification it is assumed:
ο‚· Medium is an ideal gas.
ο‚· The mass flow of the supplied natural gas can be neglected
become: π‘šΜ‡ 𝑧𝑒 = π‘šΜ‡ π‘Žπ‘ = π‘šΜ‡ 𝐿𝑒𝑓𝑑
ο‚· The heat capacity of the exhaust gas corresponds to the heat capacity
of the air: 𝑐𝑝,π‘Žπ‘–π‘Ÿ β‰ˆ 𝑐𝑝,π‘Žπ‘π‘”π‘Žπ‘ 
ο‚· The isentropic exponent is the same for all states valid.​

I should calculate T2, T3, T4 and efficiency.

But I am stuck at the temperatures calculation.

- I know T1=20ΒΊ+273=293K.
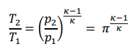
- I know the relation:
1656942732284.png
With this I can calculate T2=T1*(πœ‹)^(k-1/k)=293K*(10)^(0.4/1.4)=565.783K

- But now, how can I calculate the p1 or p2, the pressures from T1/T2. If I get p1 or p2, then I can calculate through their relationships with πœ‹, the other pressure and go further to p3. I also been given the mair and cp, but not sure how I can relate this to the pressures.

Thank you very much in advance.
 
Physics news on Phys.org
Waits said:
Hello,

I am trying to solve a problem about an open Gas Turbine. The given information would be:

- An open gas turbine draws in air from the surroundings having the m, cp, T1 and constant kL with the next values:
- The air flow is heat over natural gas supplied:
- The pressure ratio is πœ‹ = 10.
- In the turbine, the exhaust gas is brought to ambient pressure relaxed.
- For simplification it is assumed:
ο‚· Medium is an ideal gas.
ο‚· The mass flow of the supplied natural gas can be neglected
become: π‘šΜ‡ 𝑧𝑒 = π‘šΜ‡ π‘Žπ‘ = π‘šΜ‡ 𝐿𝑒𝑓𝑑
ο‚· The heat capacity of the exhaust gas corresponds to the heat capacity
of the air: 𝑐𝑝,π‘Žπ‘–π‘Ÿ β‰ˆ 𝑐𝑝,π‘Žπ‘π‘”π‘Žπ‘ 
ο‚· The isentropic exponent is the same for all states valid.​

I should calculate T2, T3, T4 and efficiency.

But I am stuck at the temperatures calculation.

- I know T1=20ΒΊ+273=293K.
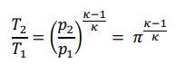
- I know the relation:
View attachment 303733 With this I can calculate T2=T1*(πœ‹)^(k-1/k)=293K*(10)^(0.4/1.4)=565.783K

- But now, how can I calculate the p1 or p2, the pressures from T1/T2. If I get p1 or p2, then I can calculate through their relationships with πœ‹, the other pressure and go further to p3. I also been given the mair and cp, but not sure how I can relate this to the pressures.

Thank you very much in advance.
Can you please provide the exact word-for-word statement of this problem?
 

Similar threads

  • Β· Replies 4 Β·
Replies
4
Views
2K
  • Β· Replies 8 Β·
Replies
8
Views
4K
Replies
5
Views
3K
  • Β· Replies 12 Β·
Replies
12
Views
2K
  • Β· Replies 5 Β·
Replies
5
Views
4K
  • Β· Replies 8 Β·
Replies
8
Views
3K
  • Β· Replies 4 Β·
Replies
4
Views
3K
  • Β· Replies 1 Β·
Replies
1
Views
2K
  • Β· Replies 1 Β·
Replies
1
Views
4K
  • Β· Replies 12 Β·
Replies
12
Views
3K