Order of summation in series with multiple indices

Click For Summary

Discussion Overview

The discussion revolves around the order of summation in series with multiple indices, particularly focusing on the implications of absolute convergence and theorems related to reordering sums. Participants explore the conditions under which the order of summation does not affect the result.

Discussion Character

  • Exploratory, Technical explanation, Debate/contested

Main Points Raised

  • One participant asserts that if the summation of the absolute values of a double-indexed sequence converges, the order of summation does not matter.
  • Another participant suggests that this situation resembles a special case of Fubini's theorem.
  • A different participant counters that it is not directly Fubini's theorem but refers to it as the "Re-ordering Theorem," mentioning Mertens's theorem and providing a link to a relevant Wikipedia page.
  • An example is provided to illustrate the necessity of absolute convergence for the reordering of sums, specifically citing the series ##\sum_{k=0}^\infty \frac{(-1)^k}{\sqrt{1+k}}##.
  • One participant encourages sharing the answer found by the original poster for the benefit of others and to foster further discussion.

Areas of Agreement / Disagreement

Participants express differing views on the relationship between the discussed concepts and theorems, indicating that multiple competing interpretations exist regarding the implications of absolute convergence and theorems applicable to the order of summation.

Contextual Notes

There are references to specific theorems and conditions (such as absolute convergence) that are not fully resolved or agreed upon, highlighting the complexity of the topic.

user15197573
Messages
2
Reaction score
0
TL;DR
Series property
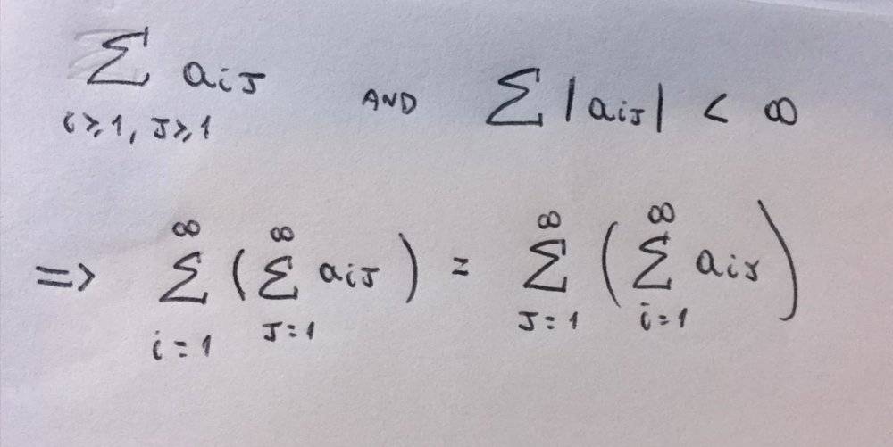
Can someone help me understand why what I wrote is correct? That is: If I have a sequence with double indices and if the summation of the elements modules of this sequence converges (less than infinite) than it does not matter how I make this sum (second line) they are going to be always the same. Thank you.
USA AQUI.jpeg
edit: Guys, I've just found the answer to this question in another post but I don't know how to delete this.
 
Last edited:
Physics news on Phys.org
Why not post the answer you found for the benefit of others who may find your post and who may have the same question. This would also allow us to comment on how good an answer it was and perhaps give you some deeper insight to your question.
 
  • Like
Likes   Reactions: user15197573
Sounds like a special case of Fubini's theorem to me.
 
  • Like
Likes   Reactions: user15197573
  • Like
Likes   Reactions: user15197573
jedishrfu said:
Why not post the answer you found for the benefit of others who may find your post and who may have the same question. This would also allow us to comment on how good an answer it was and perhaps give you some deeper insight to your question.
I'll take that into consideration in my next post since some people already answered here. Thank you.
 

Similar threads

  • · Replies 10 ·
Replies
10
Views
3K
  • · Replies 3 ·
Replies
3
Views
2K
  • · Replies 7 ·
Replies
7
Views
3K
  • · Replies 14 ·
Replies
14
Views
3K
  • · Replies 5 ·
Replies
5
Views
3K
  • · Replies 7 ·
Replies
7
Views
2K
  • · Replies 1 ·
Replies
1
Views
2K
  • · Replies 3 ·
Replies
3
Views
2K
  • · Replies 11 ·
Replies
11
Views
3K
  • · Replies 7 ·
Replies
7
Views
2K