Organic Chem Nomenclature (need an expert)

Click For Summary
SUMMARY

The discussion focuses on the correct nomenclature of two organic molecules: ethoxycyclohexane and 5-chloro-2-ethenyl-4-iodobenzonitrile. The first molecule is identified with the ethyl chain as the parent due to the presence of the functional group, while the second molecule's nomenclature is confirmed but requires verification of the numbering and ordering of substituents according to IUPAC rules. The conversation highlights the importance of understanding functional groups and the correct application of nomenclature rules in organic chemistry.

PREREQUISITES
  • Familiarity with IUPAC nomenclature rules
  • Understanding of functional groups in organic chemistry
  • Knowledge of substituent ordering and numbering
  • Basic concepts of ether and alcohol classifications
NEXT STEPS
  • Study IUPAC nomenclature for complex organic compounds
  • Learn about functional groups and their significance in naming
  • Research the rules for numbering and ordering substituents in organic molecules
  • Explore examples of ethers and alcohols to differentiate their nomenclature
USEFUL FOR

Chemistry students, organic chemists, and educators seeking to enhance their understanding of organic compound nomenclature and functional group identification.

IntegralDerivative
Messages
27
Reaction score
3

Homework Statement


Need help naming these 2 molecules:
2016-11-11_14-38-11.png


2016-11-11_14-47-27.png


Homework Equations

The Attempt at a Solution



I think they are:

ethoxycyclohexane

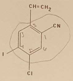
5-chloro-2-ethenyl-4-iodobenzonitrile
 
Physics news on Phys.org
For #1, the parent chain is actually the ethyl chain because it contains the functional group. Also, the ethoxy- nomenclature suggests an ether, not an alcohol.

For #2, it looks ok to me, but I don't remember enough of the nomenclature rules to know whether you have numbered and ordered the substituents correctly.
 

Similar threads

  • · Replies 5 ·
Replies
5
Views
2K
Replies
2
Views
2K
  • · Replies 8 ·
Replies
8
Views
3K
Replies
1
Views
3K
  • · Replies 2 ·
Replies
2
Views
13K
  • · Replies 7 ·
Replies
7
Views
3K
  • · Replies 10 ·
Replies
10
Views
3K
Replies
19
Views
4K
  • · Replies 3 ·
Replies
3
Views
3K
  • · Replies 7 ·
Replies
7
Views
2K