Partial Derivative of f(x,y): Solving with Maple & Book

Click For Summary

Discussion Overview

The discussion revolves around calculating the second order partial derivatives of the function f(x,y) = (x^2)tan(xy) using both manual methods and Maple software. Participants are examining their calculations and comparing them with answers from a textbook.

Discussion Character

  • Technical explanation
  • Debate/contested
  • Mathematical reasoning

Main Points Raised

  • One participant expresses confusion about their calculation of the second order partial derivative, noting a discrepancy between their result and that of the textbook and Maple.
  • Another participant provides a detailed derivation of the first and second partial derivatives, pointing out the need for careful application of the product and chain rules.
  • A participant acknowledges a mistake in their earlier calculations, specifically in the application of the chain rule, leading to an incorrect power in their result.
  • Another participant identifies an error in the application of the quotient rule and chain rule in the differentiation process, emphasizing the correct differentiation of the term cos^2(xy).

Areas of Agreement / Disagreement

Participants do not reach a consensus on the correct approach to the derivatives initially, but some express agreement on the need for careful application of differentiation rules. Discrepancies in results remain unresolved as participants continue to identify and discuss mistakes.

Contextual Notes

Participants mention specific terms and rules (product rule, chain rule, quotient rule) without fully resolving the mathematical steps or assumptions involved in their calculations. The discussion reflects ongoing uncertainty in the differentiation process.

Who May Find This Useful

Individuals interested in advanced calculus, particularly those working on partial derivatives and differentiation techniques, may find this discussion beneficial.

Yankel
Messages
390
Reaction score
0
Hello all,

I am trying to calculate the second order of the partial derivative by x of the function:

f(x,y)=(x^2)*tan(xy)

In the attach images you can see my work.

Both the answer in the book where it came from and maple say that the answer is almost correct, but not entirely. In the last fracture in the answer, they say it should be cos(xy)^2, while in my answer is seems to be cos(xy)^3.

I can't figure out what I am doing wrong...

I am attaching also the answer from the book.

Thank you !
 

Attachments

  • 1.PNG
    1.PNG
    1.5 KB · Views: 138
  • 2.PNG
    2.PNG
    5 KB · Views: 150
  • 3.PNG
    3.PNG
    5.9 KB · Views: 138
Physics news on Phys.org
We are given:

$$f(x,y)=x^2\tan(xy)$$

Hence:

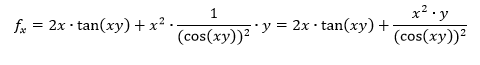
$$f_{x}(x,y)=x^2\left(\sec^2(xy)(y) \right)+2x\tan(xy)=x^2y\sec^2(xy)+2x\tan(xy)$$

and so:

$$f_{xx}(x,y)=\left(x^2y \right)\left(2\sec(xy)\left(\sec(xy)\tan(xy) \right)(y) \right)+(2xy)\sec^2(xy)+(2x)\left(\sec^2(xy)(y) \right)+2\tan(xy)=$$

$$2x^2y^2\sec^2(xy)\tan(xy)+4xy\sec^2(xy)+2\tan(xy)$$
 
thank you, can you please show me where was the mistake in my solution ?

because I just did it again for the second order derivative by y...I always get 3rd power when it's 2nd, I can't find out what I am doing wrong
 
I am a bit confused by the images. I have the feeling the ones with $f_x$ and $f_{xx}$ are your work, whereas the one with $\partial^2 w / \partial x^2$ is from the book. I'm having a hard time figuring out then where you could have gone wrong, so I'll spell out the passages and we can work together to find out where you went astray. :)

For the first partial derivative we have

$$
\begin{align}
f_x & = \frac{\partial}{\partial x} x^2 \tan (xy) \\
& = 2x \tan (xy) + x^2 \sec^2 (xy) \cdot y.
\end{align}
$$

For the second partial derivative we have

$$
\begin{align}
f_{xx} & = 2 \tan (xy) + 2x \sec^2 (xy) \cdot y + 2xy \sec^2 (xy) + x^2 y \cdot (2 \sec (xy)) \cdot \tan (xy) \cdot \sec (xy) \cdot y \\
& = 2 \tan (xy) + 4xy \sec^2 (xy) + 2 (xy)^2 \sec^2 (xy) \tan (xy).
\end{align}
$$

I am under the impression the greatest difficulty is in the second partial derivative. Let's investigate in closer detail. There are two functions to be differentiated: namely $2x \tan(xy)$ and $x^2 y \sec^2 (xy)$.

The first one requires the product rule for the functions $2x$ and $\tan (xy)$, yielding $2$ and $y \sec^2 (xy)$, therefore

$$\frac{\partial}{\partial x} 2x \tan (xy) = 2 \tan (xy) + 2 xy \sec^2 (xy),$$

which are the first two terms.

The second is the hardest, because we have to apply chain rule many times: for $\sec^2 (xy)$, then for $\sec (xy)$ and then for $xy$. Differentiating $x^2 y$ gives $2xy$, but differentiating $\sec^2 (xy)$ gives

$$\frac{\partial}{\partial x} \sec^2 (xy) = 2 \sec (xy) \cdot (\tan (xy) \cdot \sec(xy)) \cdot y,$$

therefore

$$\frac{\partial}{\partial x} x^2 y \sec^2 (xy) = 2xy \sec^2 (xy) + x^2 y (2 y \sec^2 (xy) \tan(xy)) = 2xy \sec^2 (xy) + 2 (xy)^2 \sec^2 (xy) \tan (xy).$$

Best wishes. :)
 
Many thanks, I found my mistake...stupid one as expected.

you mentioned the chain rule, well, I multiplied by 2, I knew that cos becomes sin (the inner function), but I forgot to multiply by cos as well...

that's what I call a big Oop's :o
 
Yankel said:
thank you, can you please show me where was the mistake in my solution ?

because I just did it again for the second order derivative by y...I always get 3rd power when it's 2nd, I can't find out what I am doing wrong

I see where you are going wrong, it is in your application of the quotient rule, and within that, your application of the chain rule. It is this term you are differentiating incorrectly:

$$h(x,y)=\frac{x^2y}{\cos^2(xy)}$$

Now, applying the quotient rule to this, we find:

$$h_x(x,y)=\frac{\cos^2(xy)(2xy)-x^2y\left(2\cos(xy)\sin(xy)(y) \right)}{\cos^4(xy)}=\frac{2xy\cos(xy)-2x^2y^2\sin(xy)}{\cos^3(xy)}$$

You see, when you differentiated the term $$\cos^2(xy)$$, you wrote $$2y\sin(xy)$$, when you need $$2y\cos(xy)\sin(xy)$$. Note also that the quotient rule has a difference in the numerator, not a sum.
 

Similar threads

  • · Replies 6 ·
Replies
6
Views
2K
  • · Replies 0 ·
Replies
0
Views
2K
Replies
5
Views
2K
  • · Replies 4 ·
Replies
4
Views
2K
  • · Replies 3 ·
Replies
3
Views
2K
  • · Replies 6 ·
Replies
6
Views
3K
  • · Replies 1 ·
Replies
1
Views
7K
  • · Replies 1 ·
Replies
1
Views
3K
Replies
9
Views
2K
Replies
6
Views
2K