Paschen-Back and Zeeman in different base

  • Context: Graduate 
  • Thread starter Thread starter Dreak
  • Start date Start date
  • Tags Tags
    Base Zeeman
Click For Summary

Discussion Overview

The discussion revolves around the Zeeman and Paschen-Back effects in a magnetic field, specifically examining how these effects can be described using different basesets (coupled J,mj and uncoupled mlms). Participants explore the discrepancies between their results and exact outcomes when using these different bases.

Discussion Character

  • Exploratory
  • Technical explanation
  • Debate/contested

Main Points Raised

  • One participant expresses confusion about why results differ significantly when using different bases, questioning the assumption that transitioning between coupled and uncoupled bases should yield consistent results.
  • Another participant inquires whether the calculations were based on a perturbational treatment.
  • A participant confirms the use of perturbation theory, detailing the Hamiltonians involved, including the zeroth order Hamiltonians and the perturbation Hamiltonian related to spin-orbit coupling.
  • One participant suggests that the discrepancies may arise from using different zeroth order Hamiltonians, which can lead to dramatically different perturbation series and convergence behaviors.
  • A later reply acknowledges this explanation as fitting, indicating some level of understanding reached.

Areas of Agreement / Disagreement

Participants do not reach a consensus on the nature of the discrepancies, and multiple viewpoints regarding the effects of different Hamiltonians and bases remain present.

Contextual Notes

The discussion highlights potential limitations in the perturbation series obtained from different zeroth order Hamiltonians, which may affect the accuracy of approximations to the exact eigenstates and energies.

Dreak
Messages
52
Reaction score
0
Hello,

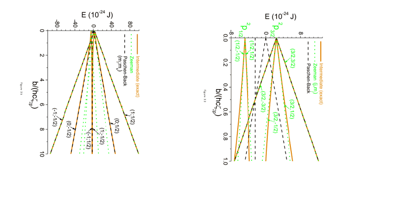
In the image below, we see the result of the Zeeman and Paschen-Back effect in a magnetic field which we worked out, together with the exact result, described in different basesets (coupled J,mj and uncoupled mlms).


fe8_zeemanpaschenback.png


I understand that each effect can be better described in a different set, but I don't understand how that the result can be so 'wrong' compared to the exact result by using this different base.

I thought it was possible to go from coupled to uncoupled and visa versa, doesn't this also mean that an effect has to give the same results in a different base? Where does these errors come from?


I hope my question is clear enough :X
 
Physics news on Phys.org
How exactly did you "work it out"? Do you refer to a perturbational treatment?
 
DrDu said:
How exactly did you "work it out"? Do you refer to a perturbational treatment?

yes.

For example PB:

H(0) = H_Bohr + H_Zeeman
H(1) (perturbation Hamiltonian) = H_SO (spin orbit coupling)

with H_Zeeman = b(l_z = g_e.s_Z

and H_SO = l.s = 1/2(l_+s_- + l_-s_+) + l_z.s_z
 
What you probably did was not using different bases but different zeroth order hamiltonians which have the corresponding basefunctions as eigenstates.
The perturbation series obtained starting from different zeroth order hamiltonians may differ dramatically. Using one H_0 already a first order correction may be sufficient to obtain a very good approximation to the exact eigenstates and energies while with another H_0 the perturbation series may be highly divergent.
 
DrDu said:
What you probably did was not using different bases but different zeroth order hamiltonians which have the corresponding basefunctions as eigenstates.
The perturbation series obtained starting from different zeroth order hamiltonians may differ dramatically. Using one H_0 already a first order correction may be sufficient to obtain a very good approximation to the exact eigenstates and energies while with another H_0 the perturbation series may be highly divergent.


Ah yes, seems a fitting explanation, thanks! :)
 

Similar threads

  • · Replies 1 ·
Replies
1
Views
3K
  • · Replies 0 ·
Replies
0
Views
3K
Replies
2
Views
2K
  • · Replies 2 ·
Replies
2
Views
5K
  • · Replies 1 ·
Replies
1
Views
2K
  • · Replies 5 ·
Replies
5
Views
2K
  • · Replies 1 ·
Replies
1
Views
4K
  • · Replies 1 ·
Replies
1
Views
2K
  • · Replies 16 ·
Replies
16
Views
4K
  • · Replies 2 ·
Replies
2
Views
3K