Permutations and Transpositions

Click For Summary
SUMMARY

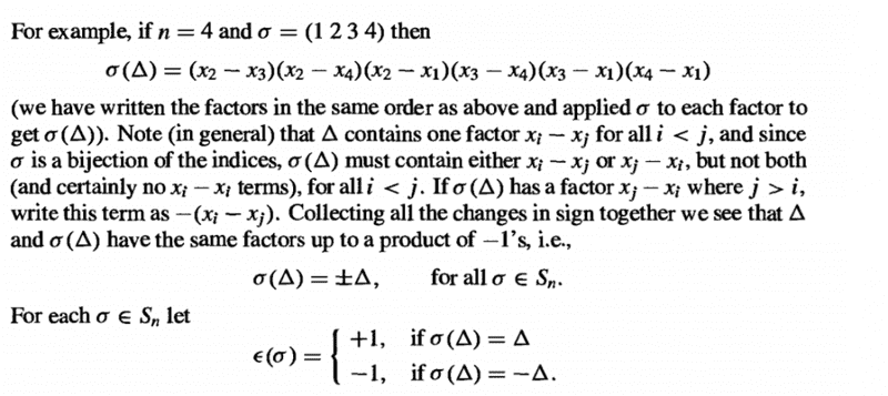
The discussion centers on the mathematical concepts of permutations and transpositions, specifically regarding the determinant function denoted as ##\Delta##. Participants clarify that ##\Delta## can be expressed as ##\Delta = \prod_{(i,j) \in S} (x_i - x_j)##, where the set ##S## consists of unique index pairs, ensuring that terms like ##x_p - x_q## appear only once. The conversation also addresses the proof that ##\sigma(\Delta)## can contain either ##x_p - x_q## or ##x_q - x_p##, but not both, due to the properties of the determinant and the implications of index permutation. The discussion highlights the importance of understanding the uniqueness of index pairs in combinatorial mathematics.

PREREQUISITES
  • Understanding of determinants in linear algebra
  • Familiarity with permutations and transpositions
  • Knowledge of set theory, particularly regarding unique elements
  • Basic proficiency in mathematical proofs and notation
NEXT STEPS
  • Study the properties of determinants in linear algebra
  • Learn about the implications of permutations on mathematical expressions
  • Explore combinatorial proofs involving unique index pairs
  • Investigate the role of transpositions in algebraic structures
USEFUL FOR

Mathematicians, students studying linear algebra, and anyone interested in combinatorial mathematics and the properties of determinants.

Bashyboy
Messages
1,419
Reaction score
5

Homework Statement


Attached are some screen shots of portion of the textbook I'm currently working through:
Capture.PNG
Capture'.PNG


Homework Equations

The Attempt at a Solution



My first question, why exactly can't ##\Delta## contains ##x_p - x_q## only once (note, switched from ##i,j## to ##p,q##)? As you can see, the author didn't give many very details concerning this. Clearly ##\Delta## can also be written ##\Delta = \prod_{(i,j) \in S} (x_i - x_j)##, where ##S = \{(i,j) ~|~ 1 \le i < j \le n \}##. Since sets don't contain duplicates of elements, ##S## won't contain any pair ##(p,q)## twice, implying that ##x_p - x_q## won't appear in ##\Delta## more than once. Would this be the reason, that ##S## cannot contain duplicates? Seems to be a rather unremarkable reason, but if it gets job done...

Next, I am trying to prove that ##\sigma(\Delta)## contains either ##x_p - x_q## or ##x_q - x_p##, but not both. For simplicity, let ##g = \sigma^{-1}##. Suppose that ##\sigma (\Delta)## contains both factors. Then ##\sigma (\Delta) = (x_p - x_q)(x_q - x_p) \prod_{(i,j) \in S \setminus \{(p,q),(q,p)\}}##, and therefore

$$g (\sigma(\Delta)) = (x_{g(p))} - x_{g(q)})(x_{g(q)} - x_{g(p)}) \prod (x_{g(i)} - x_{g(j)})$$

$$\Delta = - (x_{g(p))} - x_{g(q)}) (x_{g(p))} - x_{g(q)}) \prod (x_{g(i)} - x_{g(j)})$$,

showing that ##\Delta## contains ##(x_{g(p))} - x_{g(q)})## twice, contradicting what we showed above.

I know: it isn't great. For one thing, the RHS could be ##- \Delta##, so that is one flaw in the argument. I hope someone can help. For all DF's verbosity, it doesn't really clearly spell out the details very well, which is why I don't like DF very much, although it has massive number of problems.
 
Physics news on Phys.org
Bashyboy said:
why exactly can't Δ contains ##x_p - x_q## only once
I presume you mean, why not more than once.
It's because of the definition of the product. It is taken over the pairs (i,j) for which i<j. Therefore for a given pair of indices with i<j, the pair (i,j) occurs exactly once and the pair(j,i) does not occur at all.

For the same result after permuting the indices, it seems reasonably obvious to me, so I would be happy with the text as it stands. But if you feel it needs to be proved, your proof looks ok.
 

Similar threads

  • · Replies 2 ·
Replies
2
Views
2K
  • · Replies 19 ·
Replies
19
Views
4K
  • · Replies 1 ·
Replies
1
Views
2K
Replies
1
Views
2K
Replies
27
Views
4K
  • · Replies 2 ·
Replies
2
Views
3K
  • · Replies 13 ·
Replies
13
Views
3K
  • · Replies 8 ·
Replies
8
Views
2K
  • · Replies 31 ·
2
Replies
31
Views
4K
  • · Replies 52 ·
2
Replies
52
Views
13K