Math Challenge - September 2020

Click For Summary
SUMMARY

The forum discussion focuses on advanced mathematical concepts including group theory, number theory, commutative algebra, topology, calculus, and linear algebra. Key problems discussed involve the properties of the Frattini subgroup in group theory, the primality of Fermat numbers, and the characteristics of nilradical and Jacobson radical in commutative rings. Solutions to various mathematical challenges were provided by users, showcasing methods for proving the geometric mean inequality and calculating derivatives and integrals.

PREREQUISITES
  • Understanding of group theory, specifically Frattini subgroups
  • Familiarity with Fermat numbers and their properties
  • Knowledge of nilradical and Jacobson radical in commutative algebra
  • Basic concepts of topology and metric spaces
NEXT STEPS
  • Study the properties of nilpotent groups and their implications in group theory
  • Explore the proof techniques for the primality of Fermat numbers
  • Learn about the applications of the Jacobson radical in algebraic structures
  • Investigate the relationship between topology and calculus through metric spaces
USEFUL FOR

Mathematicians, advanced students in mathematics, and educators seeking to deepen their understanding of abstract algebra, number theory, and topology.

fresh_42
Staff Emeritus
Science Advisor
Homework Helper
Insights Author
2025 Award
Messages
20,819
Reaction score
28,464
Summary: group theory, number theory, commutative algebra, topology, calculus, linear algebra

Remark: new solution manual (01/20-06/20) attached
https://www.physicsforums.com/threads/solution-manuals-for-the-math-challenges.977057/

1. Given a group ##G## then the intersection of all maximal subgroups of ##G## is called Frattini subgroup ##\Phi(G)##. If ##G## hasn't a maximal subgroup, we set ##\Phi(G)=G.## Show that ##\Phi(G) \trianglelefteq G## is a normal subgroup, and that ##\Phi(G)## is nilpotent in case ##G## is finite.

2. The ##n##-th Fermat number ##F_n=2^{2^n}+1## is prime for ##n\in \mathbb{N}## if and only if ##3^{(F_n-1)/2}\equiv -1 \mod F_n.
## ##3## is a primitive root modulo ##F_n## in this case.

3. (solved by @The Fez ) Show that none of the numbers
$$11\, , \,111\, , \,1111\, , \,11111\, , \,111111\, , \,\ldots$$
can be written as a sum of two squares.

4. (solved by @julian ) Let ##G=\langle a,b\,|\,a^p=b^q=1,(aba)=b^r,a^s=b^t\rangle## be a group of order twelve which operates on ##\mathbb{R}^4## by
$$
a.v=\dfrac{1}{2}\cdot \begin{bmatrix}1&\sqrt{3}&0&0\\-\sqrt{3}&1&0&0\\0&0&1&-\sqrt{3}\\0&0&\sqrt{3}&1\end{bmatrix}.v, \quad b.v=\begin{bmatrix}0&0&1&0\\0&0&0&1\\-1&0&0&0\\0&-1&0&0\end{bmatrix}.v.
$$
a.) Determine the group ##G## and its presentation ##(p,q,r,s,t)##.
b.) Which group is
$$
H=\langle a,b\,|\,a^6=b^2=1,(aba)=b \rangle \,?
$$
c.) The above groups are obviously not Abelian. There is another non Abelian group ##L## of order twelve. Which one and what is ##(p,q,r,s,t)## in that case?

5. Let ##A## be an associative, finite dimensional algebra with ##1## over a field ##\mathbb{F},## ##M\neq 0## an ##A##-module, and ##0\neq P\subseteq A_A## a submodule of ##A## as right ##A##-module. Show that
a.) ##M## is irreducible if and only if ##0## and ##1## are the only idempotent elements of the endomorphism ring ##\operatorname{End}_A(M).##
b.) ##P## is a direct summand of ##A_A## if and only if there is an idempotent element ##e \in A## such that ##P=eA.##

6. (solved by @julian ) We consider the topological space ##\mathbb{C}_\infty =\mathbb{C}\cup \{\infty\}## equipped with distance
$$
\chi(x,y) :=\begin{cases}
\dfrac{\|x-y\|_2}{\sqrt{1+\|x\|_2^2}\sqrt{1+\|y\|_2^2}} &\text{ if } x,y\neq \infty \\[10pt]
\dfrac{1}{\sqrt{1+\|x\|_2^2}}&\text{ if }x\neq \infty,y=\infty \\[10pt]
\dfrac{1}{\sqrt{1+\|y\|_2^2}}&\text{ if }x= \infty,y\neq\infty \\[10pt]
0&\text{ if }x=y=\infty
\end{cases}
$$
Show that ##\chi## defines a metric such that ##\mathcal{C}:=(\mathbb{C}_\infty,\chi)## is a compact topological space.

7. a.) (solved by @benorin ) Calculate ##\displaystyle{\int_{|z|=5} \; \dfrac{e^z}{z^2+\pi^2}\,dz}\,.##
b.) (solved by @benorin ) Determine all ##z\in \mathbb{C}## such that ##f(z)=e^{z^7(\sin z)^{16}} +\bar{z}^2## is complex differentiable.

8. (solved by @etotheipi ) Calculate
$$
\int_1^\infty \dfrac{1 + x^2 - 2 x^2 \log(x)}{x (1 + x^2)^2}\;dx
$$

9. (solved by @julian ) Determine the square root and the inverse matrix of
$$
A=\begin{pmatrix}5&-4&2\\ -4&7&-8\\ 1&-4&6\end{pmatrix}
$$
Hint: What is the dimension of the simple Lie algebra whose Cartan matrix is ##\sqrt{A}##?

10. Let ##R## be a commutative ring with ##1##. We define the nilradical ##N(R) =N\subseteq R## as intersection of all prime ideals of ##R##, and the Jacobson radical ##J(R)=J## as intersection of all maximal ideals.
a.) (solved by @julian ) Show that ##N(R)## contains exactly all nilpotent Elements of ##R##.
b.) Assume ##R## is Artinian. Show that all prime ideals are maximal, hence ##N(R)=J(R)## in an Artinian ring.
c.) Assume ##R## is Artinian. Show that ##N(R)## is a nilpotent Ideal.
d.) Give an example of ##N(R)\neq J(R)## if ##R## is not Noetherian and thus not Artinian either.
1596234944639-png.png


High Schoolers only11. (solved by @Schalk21 ) Prove that the geometric mean of two numbers is less or equal the arithmetic mean of these numbers by three different methods (e.g.: geometric, algebraic, optimization).

12. (solved by @Schalk21 ) Calculate the formula for the tangent at the unit circle at ##p=\left(\frac{1}{2},\frac{\sqrt{3}}{2}\right)## by three different methods, or better points of view.

13. We are looking for the number ##n=abc##, where ##a## is the maximal number of rotations which are necessary to solve Rubik's cube out of any state, ##b## is the largest natural number of Chicken McNuggets which cannot be bought by the usual box sizes of ##6,9## or ##20##, and ##c## is the smallest three digit emirp number.

14. Show that the following linear equation system with variables ##x_1,\ldots,x_n## has always a unique solution:
\begin{align*}
x_1&= 2x_{n-m+1}+3x_{n-m+2}+b_1 \\
x_2&= 4x_{n-m+2}+9x_{n-m+3}+b_2 \\
\ldots &\qquad \ldots \\
x_{m-1}&=2^{m-1}x_{n-1}+3^{m-1}x_{n}+b_{m-1}\\
x_m&= 2^{m}x_{n} +b_m \\
x_{m+1}&=b_{m+1} \\
\ldots &\qquad \ldots \\
x_n&= b_n
\end{align*}
for all positive integers ##1\leq m < n## and any real numbers ##b_1,\ldots,b_n.##

15. Calculate the following derivatives:
a.) (solved by @Mayhem ) ##\dfrac{dy}{dx}## if ##y=1+y^x##
b.) ##\dfrac{dy}{dx}## and ##\dfrac{d^2y}{dx^2}## if ##y=x+\log y##
c.) ##\left. \dfrac{dy}{dx}\right|_{x=1}## and ##\left. \dfrac{d^2y}{dx^2}\right|_{x=1}## if ##x^2-2xy+y^2+x+y-2=0##
 
Last edited:
  • Like
Likes   Reactions: benorin, JD_PM, Infrared and 2 others
Physics news on Phys.org
##y = 1 + y^x##
##y-1 = y^x##
##\ln(y-1) = x\ln(y)##
Taking the derivative, we get:
##\frac{y'}{y-1} = \frac{xy'}{y} + \ln(y)##
Some algebra:
##\frac{y'}{y-1} - \frac{xy'}{y} = \ln(y)##
Factor y'
##y'(\frac{1}{y-1} - \frac{x}{y}) = \ln(y)##
Now, combine the fractions and divide them to the RHS
##y' = \frac{\ln(y)y(y-1)}{y-x(y-1)}##
Since we know that ##y-1=y^x ## we can substitute that back in
##y' = \frac{\ln(y)yy^x}{y-xy^x}##
There are a couple of ways we can simplify this. I prefer factoring out y in the denominator
##y' = \frac{\ln(y)yy^x}{y(1-xy^{x-1})}##
The y's cancel
##y' = \frac{ln(y)y^x}{1-xy^{x-1}}##
And we're done. I might take a crack at b, c later. For c, it means we're supposed to evaluate the derivative at x = 1, right?
 
$$\begin{align*}I(a) &= \int_1^a \dfrac{1 + x^2 - 2 x^2 \ln(x)}{x (1 + x^2)^2}\;dx \\

&= \int_1^a \frac{1+x^2}{x(1+x^2)^2} dx - 2\int_1^a \frac{x^2 \ln{x}}{x(1+x^2)^2} dx\\

&= \int_1^a \frac{1}{x(1+x^2)} dx - 2\int_1^a \frac{x \ln{x}}{(1+x^2)^2} dx

\end{align*}
$$We can evaluate the second integral by parts, with ##u = \ln{x}## and ##dv = \frac{x}{(1+x^2)^2} dx##,$$\begin{align*}
J(a) &= \int_1^a \frac{x \ln{x}}{(1+x^2)^2} dx \\
&= \left[ \frac{-\ln{x}}{2(1+x^2)} \right]_1^a + \frac{1}{2} \int_1^a \frac{1}{x(1+x^2)}
\end{align*}$$When reinserted into the original expression, the two remaining integrals cancel exactly,$$\begin{align*}

I(a) &= \int_1^a \frac{1}{x(1+x^2)} dx - 2 \left( \left[ \frac{-\ln{x}}{2(1+x^2)} \right]_1^a+ \frac{1}{2} \int_1^a \frac{1}{x(1+x^2)} \right) \\

&= \left[ \frac{\ln{x}}{(1+x^2)} \right]_1^a
\end{align*}
$$Because ##I(\infty)## is of the form ##\infty/\infty##, we can use Hopital's rule:$$I(\infty) = \lim_{a \rightarrow \infty} \frac{\ln a}{1+a^2} = \lim_{a \rightarrow \infty} \frac{ \frac{d}{da} (\ln a)}{ \frac{d}{da}(1+a^2)} = \lim_{a \rightarrow \infty}\frac{1}{2a^2} = 0 $$
 
  • Like
  • Wow
Likes   Reactions: Anti Hydrogen, benorin, Infrared and 1 other person
etotheipi said:
$$\begin{align*}I(a) &= \int_1^a \dfrac{1 + x^2 - 2 x^2 \ln(x)}{x (1 + x^2)^2}\;dx \\

&= \int_1^a \frac{1+x^2}{x(1+x^2)^2} dx - 2\int_1^a \frac{x^2 \ln{x}}{x(1+x^2)^2} dx\\

&= \int_1^a \frac{1}{x(1+x^2)} dx - 2\int_1^a \frac{x \ln{x}}{(1+x^2)^2} dx

\end{align*}
$$We can evaluate the second integral by parts, with ##u = \ln{x}## and ##dv = \frac{x}{(1+x^2)^2} dx##,$$\begin{align*}
J(a) &= \int_1^a \frac{x \ln{x}}{(1+x^2)^2} dx \\
&= \left[ \frac{-\ln{x}}{2(1+x^2)} \right]_1^a + \frac{1}{2} \int_1^a \frac{1}{x(1+x^2)}
\end{align*}$$When reinserted into the original expression, the two remaining integrals cancel exactly,$$\begin{align*}

I(a) &= \int_1^a \frac{1}{x(1+x^2)} dx - 2 \left( \left[ \frac{-\ln{x}}{2(1+x^2)} \right]_1^a+ \frac{1}{2} \int_1^a \frac{1}{x(1+x^2)} \right) \\

&= \left[ \frac{\ln{x}}{(1+x^2)} \right]_1^a
\end{align*}
$$Because ##I(\infty)## is of the form ##\infty/\infty##, we can use Hopital's rule:$$I(\infty) = \lim_{a \rightarrow \infty} \frac{\ln a}{1+a^2} = \lim_{a \rightarrow \infty} \frac{ \frac{d}{da} (\ln a)}{ \frac{d}{da}(1+a^2)} = \lim_{a \rightarrow \infty}\frac{1}{2a^2} = 0 $$
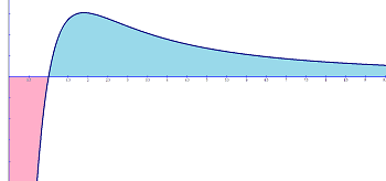
Correct. The function ##f(x)=\dfrac{\log(x)}{x^2+1}## has an interesting property:
$$
\left|\int_{0}^1 f(x)\,dx \,\right|= \int_1^\infty f(x)\,dx =C = 0.91596559417721901\ldots $$
where ##C## is Catalan's constant A006752 in the OEIS.

Catalan.png
 
Last edited:
  • Wow
Likes   Reactions: etotheipi
fresh_42 said:
The function ##f(x)=\dfrac{\log(x)}{x^2+1}## has an interesting property:$$\left|\int_{-\infty}^1 f(x)\,dx \,\right|= \int_1^\infty f(x)\,dx =C = 0.91596559417721901\ldots $$

Why is the integral on the LHS valid? Isn't ##\frac{\log{(x)}}{x^2 + 1}## undefined for ##x \leq 0##, but we're integrating over ##(-\infty, 1]## before taking the modulus? Edit: do we need complex numbers?
 
Mayhem said:
##y = 1 + y^x##
##y-1 = y^x##
##\ln(y-1) = x\ln(y)##
Taking the derivative, we get:
##\frac{y'}{y-1} = \frac{xy'}{y} + \ln(y)##
Some algebra:
##\frac{y'}{y-1} - \frac{xy'}{y} = \ln(y)##
Factor y'
##y'(\frac{1}{y-1} - \frac{x}{y}) = \ln(y)##
Now, combine the fractions and divide them to the RHS
##y' = \frac{\ln(y)y(y-1)}{y-x(y-1)}##
Since we know that ##y-1=y^x ## we can substitute that back in
##y' = \frac{\ln(y)yy^x}{y-xy^x}##
There are a couple of ways we can simplify this. I prefer factoring out y in the denominator
##y' = \frac{\ln(y)yy^x}{y(1-xy^{x-1})}##
The y's cancel
##y' = \frac{ln(y)y^x}{1-xy^{x-1}}##
And we're done.
I might take a crack at b, c later. For c, it means we're supposed to evaluate the derivative at x = 1, right?
Right.
 
etotheipi said:
Why is the integral on the LHS valid? Isn't ##\frac{\log{(x)}}{x^2 + 1}## undefined for ##x \leq 0##, but we're integrating over ##(-\infty, 1]## before taking the modulus? Edit: do we need complex numbers?
Sorry, that was a typo. It should have been ##0##. I was confused by the graphic and mixed ##x## and ##y## values.
 
  • Like
Likes   Reactions: etotheipi
Problem 3:
Since the last digit of the square of a number depends only on the last digit of the number, only the following last digits are possible:

0 (numbers ending in 0)
1 (numbers ending in 1 or 9)
4 (numbers ending in 2 or 8)
5 (numbers ending in 5)
6 (numbers ending in 4 or 6)

So for the sum of two squares to end in 1, the two numbers have to end in 0 and 1, 0 and 9, 4 and 5, or 5 and 6. If we write the numbers in 10a + b form, the square is 100a^2 + 20ab + b^2. The first term doesn't affect the second digit, and the second term always has an even second digit. Therefore, for the second digit to be 1, the sum of the squares of the last digits must have an odd second digit. This is not the case for any of the 4 possible combinations above. (0 + 1 = 1, 0 + 81 = 81, 16 + 25 = 41, 25 + 36 = 61). So no number ending in 11 (or 31, 51, 71, or 91 for that matter) can be the sum of two squares.
 
  • Like
Likes   Reactions: PeroK
The Fez said:
Problem 3:
Since the last digit of the square of a number depends only on the last digit of the number, only the following last digits are possible:

0 (numbers ending in 0)
1 (numbers ending in 1 or 9)
4 (numbers ending in 2 or 8)
5 (numbers ending in 5)
6 (numbers ending in 4 or 6)
What about numbers ending on 3 or 7?
So for the sum of two squares to end in 1, the two numbers have to end in 0 and 1, 0 and 9, 4 and 5, or 5 and 6. If we write the numbers in 10a + b form, the square is 100a^2 + 20ab + b^2. The first term doesn't affect the second digit,...
Do you count from left to right or from right to left?
... and the second term always has an even second digit. Therefore, for the second digit to be 1, the sum of the squares of the last digits must have an odd second digit. This is not the case for any of the 4 possible combinations above. (0 + 1 = 1, 0 + 81 = 81, 16 + 25 = 41, 25 + 36 = 61). So no number ending in 11 (or 31, 51, 71, or 91 for that matter) can be the sum of two squares.
Not quite what I had in mind, but I cannot find a flaw. Well done.
 
  • #10
Problem 12:
In a xOy plane, Let's consider the unit circle of equation ##x^2+y^2=1##. Each point of this curve ##(x_0 ; y_0)## has coordinates ##(\cos \alpha ; \sin \alpha)## for a simple definition of cosine and sine, where alpha is the angle between the radius and the positive verse of x-axis.
First method:
This method uses the classical definition of tangent line to a circunference. If we consider the point ##(\cos \alpha ; \sin \alpha)##, the line passing through this point and the origin has equation ##y= (\tan \alpha)x## or ##y=(y_0/x_0)x##. The angular coefficient of the tangent line will be ## -x_0/y_0## because these lines are perpendicular. So, the equation of the tangent will be ##y-y_0=-x_0/y_0 (x-x_0)##. With a little algebra we obtain ##y_0y-y_0^2=-x_0x+x_0^2## -> ##x_0x+y_0y-1=0## (we are in the unit circle so ##x_0^2+y_0^2=1##). Substituting ##x_0=1/2## and ##y_0= \sqrt{3}/2## we have ##x+\sqrt{3}y-2=0##
Second method:
In this method we'll use the rotation equations. In fact we can imagine the tangent line as a rotation of the line ##x=1## which is tangent to the unit circle in the point ##(1 ; 0)##. There is an interesting connection between this method and the symmetry of the line ##x=1## respect to the line ##y=(\tan {\alpha/2})x## (we obtain the parametric formula for cosine and sine). The rotation equations are ##x'={\cos \alpha} x- {\sin \alpha} y## and ## y'={\sin \alpha}x+{\cos \alpha}y ##. Applying the x'-inverse equation we have ##{\cos \alpha} x+{\sin \alpha} y=1## so ##x_0x+y_0y-1=0##.
Third method:
A simple way to find the angular coefficient of a tangent line is the application of the derivative. ##x^2+y^2=1## can be written as ##y=\sqrt{1-x^2}## for ##y\geq0##. This curve is the upper semi-circle. The derivative of this function is ##y'=-x/\sqrt{1-x^2}##; for each poin of the graph ##1-x^2=y^2## so ##y'=-x/y## and using the same approach of the first method we reach our goal equation ##x_0x+y_0y-1=0##
Sorry for my bad English
 
  • Like
Likes   Reactions: etotheipi and fresh_42
  • #11
Schalk21 said:
Problem 12:
In a xOy plane, Let's consider the unit circle of equation ##x^2+y^2=1##. Each point of this curve ##(x_0 ; y_0)## has coordinates ##(\cos \alpha ; \sin \alpha)## for a simple definition of cosine and sine, where alpha is the angle between the radius and the positive verse of x-axis.
First method:
This method uses the classical definition of tangent line to a circunference. If we consider the point ##(\cos \alpha ; \sin \alpha)##, the line passing through this point and the origin has equation ##y= (\tan \alpha)x## or ##y=(y_0/x_0)x##. The angular coefficient of the tangent line will be ## -x_0/y_0## because these lines are perpendicular. So, the equation of the tangent will be ##y-y_0=-x_0/y_0 (x-x_0)##. With a little algebra we obtain ##y_0y-y_0^2=-x_0x+x_0^2## -> ##x_0x+y_0y-1=0## (we are in the unit circle so ##x_0^2+y_0^2=1##). Substituting ##x_0=1/2## and ##y_0= \sqrt{3}/2## we have ##x+\sqrt{3}y-2=0##
Second method:
In this method we'll use the rotation equations. In fact we can imagine the tangent line as a rotation of the line ##x=1## which is tangent to the unit circle in the point ##(1 ; 0)##. There is an interesting connection between this method and the symmetry of the line ##x=1## respect to the line ##y=(\tan {\alpha/2})x## (we obtain the parametric formula for cosine and sine). The rotation equations are ##x'={\cos \alpha} x- {\sin \alpha} y## and ## y'={\sin \alpha}x+{\cos \alpha}y ##. Applying the x'-inverse equation we have ##{\cos \alpha} x+{\sin \alpha} y=1## so ##x_0x+y_0y-1=0##.
Third method:
A simple way to find the angular coefficient of a tangent line is the application of the derivative. ##x^2+y^2=1## can be written as ##y=\sqrt{1-x^2}## for ##y\geq0##. This curve is the upper semi-circle. The derivative of this function is ##y'=-x/\sqrt{1-x^2}##; for each poin of the graph ##1-x^2=y^2## so ##y'=-x/y## and using the same approach of the first method we reach our goal equation ##x_0x+y_0y-1=0##
Sorry for my bad English
Well, I think your methods one and three are very similar approaches, but this is due to the lack of specification in my question. I thought of (the physicists' ways): tangent line as at school, normal vector, parameterization.
 
  • #12
fresh_42 said:
Well, I think your methods one and three are very similar approaches, but this is due to the lack of specification in my question. I thought of (the physicists' ways): tangent line as at school, normal vector, parameterization.
Yes, you are right. I'll try to work on other methods as you suggested
 
  • #13
fresh_42 said:
What about numbers ending on 3 or 7?
Do you count from left to right or from right to left?
Not quite what I had in mind, but I cannot find a flaw. Well done.
Sorry missed 3 & 7. Numbers ending in 3 or 7 have squares that end in 9, but there are no square numbers that end in 2.

By second digit, I'm counting right to left.

I'm just an engineer, so I'm sure there is a more mathematically rigorous proof, but this is my high school math approach.
 
  • #14
The Fez said:
Sorry missed 3 & 7. Numbers ending in 3 or 7 have squares that end in 9, but there are no square numbers that end in 2.

By second digit, I'm counting right to left.

I'm just an engineer, so I'm sure there is a more mathematically rigorous proof, but this is my high school math approach.
No, it was fine. My answer was an overkill compared to yours. The comments were only meant to point out where you could have been a bit more precise.
 
  • #15
Schalk21 said:
Yes, you are right. I'll try to work on other methods as you suggested

You could consider the scalar field ##f(x,y) = x^2 + y^2 - 1## and specifically the level curve ##f(x,y) = 0##. You can find a normal to the level curve at ##p## with ##\nabla f |_p = (2x, 2y, 0)^T|_p##, and then deduce the gradient at ##p##.

You can alternatively parameterise the curve with ##\vec{r}(\theta) = (\cos{\theta}, \sin{\theta})^T## and determine the unit tangent vector ##\vec{r}'(\theta)/|\vec{r}'(\theta)| = \vec{r}'(\theta)## which is at the point ##p## is ##(-y_0, x_0)^T##.
 
  • Like
Likes   Reactions: Schalk21
  • #16
etotheipi said:
You could consider the scalar field ##f(x,y) = x^2 + y^2 - 1## and specifically the level curve ##f(x,y) = 0##. You can find a normal to the level curve at ##p## with ##\nabla f |_p = (2x, 2y, 0)^T|_p##, and then deduce the gradient at ##p##.

You can alternatively parameterise the curve with ##\vec{r}(\theta) = (\cos{\theta}, \sin{\theta})^T## and determine the unit tangent vector ##\vec{r}'(\theta)/|\vec{r}'(\theta)| = \vec{r}'(\theta)## which is at the point ##p## is ##(-y_0, x_0)^T##.
Well, the first method seems really clever but it's beyond my knowledge. I think I can learn and understand the second one.
 
  • #17
Schalk21 said:
Well, the first method seems really clever but it's beyond my knowledge.

I don't think it's more difficult than any of the methods you gave, it might just be new material. A scalar field is just a region where every point is assigned a scalar value, ##f(x,y)##. A level curve of such a scalar field would consist of a set of points that satisfy ##f(x,y) = k##, i.e. you can think of it as a contour. If the scalar field is ##f(x,y) = x^2 + y^2 - 1##, then the level curve ##f(x,y) = 0## is the unit circle. It can be https://ocw.mit.edu/courses/mathematics/18-02sc-multivariable-calculus-fall-2010/2.-partial-derivatives/part-b-chain-rule-gradient-and-directional-derivatives/session-36-proof/MIT18_02SC_notes_19.pdf that the gradient ##\nabla f## of the scalar field at some point ##p## on the level curve is perpendicular to the tangent to the level curve at ##p## :smile:
 
  • Like
Likes   Reactions: Schalk21
  • #18
etotheipi said:
I don't think it's more difficult than any of the methods you gave, it might just be new material. A scalar field is just a region where every point is assigned a scalar value, ##f(x,y)##. A level curve of such a scalar field would consist of a set of points that satisfy ##f(x,y) = k##, i.e. you can think of it as a contour. If the scalar field is ##f(x,y) = x^2 + y^2 - 1##, then the level curve ##f(x,y) = 0## is the unit circle. It can be https://ocw.mit.edu/courses/mathematics/18-02sc-multivariable-calculus-fall-2010/2.-partial-derivatives/part-b-chain-rule-gradient-and-directional-derivatives/session-36-proof/MIT18_02SC_notes_19.pdf that the gradient ##\nabla f## of the scalar field at some point ##p## on the level curve is perpendicular to the tangent to the level curve at ##p## :smile:
Yes perfect, I didn't know this concept but now it's clear. Thank you so much!
 
  • Love
Likes   Reactions: etotheipi
  • #19
etotheipi said:
$$\begin{align*}I(a) &= \int_1^a \dfrac{1 + x^2 - 2 x^2 \ln(x)}{x (1 + x^2)^2}\;dx \\

&= \int_1^a \frac{1+x^2}{x(1+x^2)^2} dx - 2\int_1^a \frac{x^2 \ln{x}}{x(1+x^2)^2} dx\\

&= \int_1^a \frac{1}{x(1+x^2)} dx - 2\int_1^a \frac{x \ln{x}}{(1+x^2)^2} dx

\end{align*}
$$We can evaluate the second integral by parts, with ##u = \ln{x}## and ##dv = \frac{x}{(1+x^2)^2} dx##,$$\begin{align*}
J(a) &= \int_1^a \frac{x \ln{x}}{(1+x^2)^2} dx \\
&= \left[ \frac{-\ln{x}}{2(1+x^2)} \right]_1^a + \frac{1}{2} \int_1^a \frac{1}{x(1+x^2)}
\end{align*}$$When reinserted into the original expression, the two remaining integrals cancel exactly,$$\begin{align*}

I(a) &= \int_1^a \frac{1}{x(1+x^2)} dx - 2 \left( \left[ \frac{-\ln{x}}{2(1+x^2)} \right]_1^a+ \frac{1}{2} \int_1^a \frac{1}{x(1+x^2)} \right) \\

&= \left[ \frac{\ln{x}}{(1+x^2)} \right]_1^a
\end{align*}
$$Because ##I(\infty)## is of the form ##\infty/\infty##, we can use Hopital's rule:$$I(\infty) = \lim_{a \rightarrow \infty} \frac{\ln a}{1+a^2} = \lim_{a \rightarrow \infty} \frac{ \frac{d}{da} (\ln a)}{ \frac{d}{da}(1+a^2)} = \lim_{a \rightarrow \infty}\frac{1}{2a^2} = 0 $$
I offer an alternate method to obtain your result (albeit not as elegant as your proof) and I would appreciate any criticisms and comments concerning an assertion I have made without proof for an infinite sum. We have:
$$
I=\int_1^{\infty}\frac{(1-x^2-x^2\log (x^2))dx}{x(1+x^2)^2}
$$
We make the substitution ## u=x^2## to obtain,
$$
I=\frac{1}{2}\int_1^{\infty}\frac{(1+u-u\log (u))du}{u(1+u)^2}
$$
Make another substitution ## v=\log (u)##,
$$
I=\frac{1}{2}\int_0^{\infty}\frac{(1+e^v-ve^v)dv}{(1+e^v)^2}
$$
We now divide the integral into two parts ##I=I_1+I_2##,
$$
I_1=\frac{1}{2}\int_0^{\infty}\frac{dv}{(1+e^v)}
$$
$$
I_2=\frac{1}{2}\int_0^{\infty}\frac{-ve^vdv}{(1+e^v)^2}
$$
I introduce a parameter ##\alpha## into ##I_1##,
$$
I_1(\alpha)=\frac{1}{2}\int_0^{\infty}\frac{dv}{(1+e^{\alpha v})}=\frac{1}{2}\int_0^{\infty}\frac{e^{-\alpha v}dv}{(1+e^{-\alpha v})}
$$
I expand the denominator in an infinite series,
$$
I_1(\alpha)=\frac{1}{2}\int_0^{\infty} dv e^{-\alpha v}\sum_{k=0}^{\infty}(-1)^k e^{-\alpha vk}
$$
$$
=\frac{1}{2}\sum_{k=0}^{\infty}(-1)^k\int_0^{\infty}e^{-\alpha v (k+1)}dv
$$
$$
=\frac{1}{2\alpha}\sum_{k=0}^{\infty}\frac{(-1)^k}{k+1}=\frac{1}{2\alpha}\sum_{k=1}^{\infty}\frac{(-1)^{k-1}}{k}=\frac{\log (2)}{2\alpha}
$$
I observe,
$$
\frac{dI_1(\alpha)}{d\alpha}=\frac{1}{2}\int_0^{\infty}\frac{-ve^{\alpha v}dv}{(1+e^{\alpha v})^2}=I_2|_{\alpha = 1}
$$
and so,
$$
I_2=\frac{dI_1(\alpha)}{d\alpha}|_{\alpha = 1}=-\frac{\log (2)}{2\alpha^2}|_{\alpha = 1}=-I_1
$$
$$
I_2=-I_1
$$
$$
I=0
$$
 
  • #20
Fred Wright said:
I offer an alternate method to obtain your result (albeit not as elegant as your proof) and I would appreciate any criticisms and comments concerning an assertion I have made without proof for an infinite sum. We have:
$$
I=\int_1^{\infty}\frac{(1-x^2-x^2\log (x^2))dx}{x(1+x^2)^2}
$$
We make the substitution ## u=x^2## to obtain,
$$
I=\frac{1}{2}\int_1^{\infty}\frac{(1+u-u\log (u))du}{u(1+u)^2}
$$
Make another substitution ## v=\log (u)##,
$$
I=\frac{1}{2}\int_0^{\infty}\frac{(1+e^v-ve^v)dv}{(1+e^v)^2}
$$
We now divide the integral into two parts ##I=I_1+I_2##,
$$
I_1=\frac{1}{2}\int_0^{\infty}\frac{dv}{(1+e^v)}
$$
$$
I_2=\frac{1}{2}\int_0^{\infty}\frac{-ve^vdv}{(1+e^v)^2}
$$
I introduce a parameter ##\alpha## into ##I_1##,
$$
I_1(\alpha)=\frac{1}{2}\int_0^{\infty}\frac{dv}{(1+e^{\alpha v})}=\frac{1}{2}\int_0^{\infty}\frac{e^{-\alpha v}dv}{(1+e^{-\alpha v})}
$$
I expand the denominator in an infinite series,
$$
I_1(\alpha)=\frac{1}{2}\int_0^{\infty} dv e^{-\alpha v}\sum_{k=0}^{\infty}(-1)^k e^{-\alpha vk}
$$
$$
=\frac{1}{2}\sum_{k=0}^{\infty}(-1)^k\int_0^{\infty}e^{-\alpha v (k+1)}dv
$$
$$
=\frac{1}{2\alpha}\sum_{k=0}^{\infty}\frac{(-1)^k}{k+1}=\frac{1}{2\alpha}\sum_{k=1}^{\infty}\frac{(-1)^{k-1}}{k}=\frac{\log (2)}{2\alpha}
$$
I observe,
$$
\frac{dI_1(\alpha)}{d\alpha}=\frac{1}{2}\int_0^{\infty}\frac{-ve^{\alpha v}dv}{(1+e^{\alpha v})^2}=I_2|_{\alpha = 1}
$$
and so,
$$
I_2=\frac{dI_1(\alpha)}{d\alpha}|_{\alpha = 1}=-\frac{\log (2)}{2\alpha^2}|_{\alpha = 1}=-I_1
$$
$$
I_2=-I_1
$$
$$
I=0
$$
Looks o.k. except a few typos, and the fact, that you did not explain why you can swap summation and integration, as well as integration and differentiation.
 
  • #21
Problem 11
Let's recall the simplest AM-GM inequality: for two non-negative numbers ##x_1## and ##x_2## ,
$$\frac {x_1+x_2} {2} \geq \sqrt {x_1×x_2}$$. The equality holds when ##x_1=x_2##.
Method 1:
This method is the simplest and classical one. It is based on the fact that ##(x_1-x_2)^2 \geq 0##. In fact ##(x_1)^2+(x_2)^2-2(x_1)(x_2) \geq 0##, so ##(x_1)^2+(x_2)^2 \geq 2(x_1×x_2)## and this is an equivalent way to express the result (for example ##x_1 = \sqrt {a}## , ##x_2 = \sqrt{b}## with ##a,b \gt 0##)
Method 2:
Now a geometrical approach. Let's consider a right triangle ABC as in Fig. 1. For a trivial theorem, a right triangle can be inscribed in a semi-circle with the hypotenuse as the diameter. If ##CH## is the height respect to ##AB##, according to Euclid's Second Theorem ##CH^2=AH×HB##, so ##CH= \sqrt {AH×HB}## or ##CH= \sqrt{ x_1 × x_2}## using the same notation of the image. Obviously ##AB=x_1 + x_2## and the radius of the cirlce is ##\frac {AB} {2}##. If we consider the right triangle ##CHO##, the hypotenuse ##CO## (which is a radius) is greater than ##CH## so ##\frac{ x_1+x_2} {2} \geq \sqrt{x_1 × x_2}##. The equality holds when ##CO = CH## as in Fig. 2.
Method 3:
I don't know if this method is totally correct, but it's interesting. Let's consider a parabola of equation ##y=x^2 + bx +c , b \lt 0## and ## c\gt 0## in order to have positive roots. In Fig. 3 we have an example ##y=x^2-5x+2##.
If the parabola has two different roots ##x_1, x_2## or two coincident ones, the sum of them is equal to ##\frac {-b} {a}## instead their product is ##\frac {c} {a}##. The Delta ##\Delta## of the equation ##x^2+bx+c=0## has to be greater or equal than zero so ##b^2 \geq 4ac## so ##\frac {-b} {2\sqrt{a}} \geq \sqrt{c}## --> ##\frac {-b} {2a}## ## \geq## ## \sqrt{\frac {c} {a}}## and finally ##\frac {x_1+x_2} {2}## ## \geq ## ##\sqrt{x_1 × x_2}##. If ##x_1 = x_2##, ##\Delta = 0##.
PS: Probably my question is wrong, but the inequality can be seen as an inequality between two scalar fields?
Fig1.png
Fig2.png
Fig3.png
 
  • #22
Schalk21 said:
Problem 11
Let's recall the simplest AM-GM inequality: for two non-negative numbers ##x_1## and ##x_2## ,
$$\frac {x_1+x_2} {2} \geq \sqrt {x_1×x_2}$$. The equality holds when ##x_1=x_2##.
Method 1:
This method is the simplest and classical one. It is based on the fact that ##(x_1-x_2)^2 \geq 0##. In fact ##(x_1)^2+(x_2)^2-2(x_1)(x_2) \geq 0##, so ##(x_1)^2+(x_2)^2 \geq 2(x_1×x_2)## and this is an equivalent way to express the result (for example ##x_1 = \sqrt {a}## , ##x_2 = \sqrt{b}## with ##a,b \gt 0##)
And where is the rest of the argument?
Method 2:
Now a geometrical approach. Let's consider a right triangle ABC as in Fig. 1. For a trivial theorem, a right triangle can be inscribed in a semi-circle with the hypotenuse as the diameter.
It is called Thales's theorem. Trivial is relative.
If ##CH## is the height respect to ##AB##, according to Euclid's Second Theorem ##CH^2=AH×HB##, so ##CH= \sqrt {AH×HB}## or ##CH= \sqrt{ x_1 × x_2}## using the same notation of the image. Obviously ##AB=x_1 + x_2## and the radius of the cirlce is ##\frac {AB} {2}##. If we consider the right triangle ##CHO##, the hypotenuse ##CO## (which is a radius) is greater than ##CH## so ##\frac{ x_1+x_2} {2} \geq \sqrt{x_1 × x_2}##. The equality holds when ##CO = CH## as in Fig. 2.
Method 3:
I don't know if this method is totally correct, but it's interesting. Let's consider a parabola of equation ##y=x^2 + bx +c , b \lt 0## and ## c\gt 0## in order to have positive roots. In Fig. 3 we have an example ##y=x^2-5x+2##.
If the parabola has two different roots ##x_1, x_2## or two coincident ones, the sum of them is equal to ##\frac {-b} {a}## instead their product is ##\frac {c} {a}##. The Delta ##\Delta## of the equation ##x^2+bx+c=0## has to be greater or equal than zero so ##b^2 \geq 4ac## so ##\frac {-b} {2\sqrt{a}} \geq \sqrt{c}## --> ##\frac {-b} {2a}## ## \geq## ## \sqrt{\frac {c} {a}}## and finally ##\frac {x_1+x_2} {2}## ## \geq ## ##\sqrt{x_1 × x_2}##. If ##x_1 = x_2##, ##\Delta = 0##.
PS: Probably my question is wrong, but the inequality can be seen as an inequality between two scalar fields?
What would that mean? How do you compare fields? Of course you could always rephrase the question in terms of scalar fields and demand inequality to hold at each point ##(x_1,x_2).## But what for?

Are you sure you are a high schooler? If not, please leave those questions for the kids.
 
  • #23
fresh_42 said:
And where is the rest of the argument?

It is called Thales's theorem. Trivial is relative.

What would that mean? How do you compare fields? Of course you could always rephrase the question in terms of scalar fields and demand inequality to hold at each point ##(x_1,x_2).## But what for?

Are you sure you are a high schooler? If not, please leave those questions for the kids.
Sorry I don't understand "the rest of the argument"
You are right, I'm not English so probably i had to use "simple", nothing is "trivial"
Yes, I' m an high schooler respect to my school system. I made that question after the discussion with etotheipi who suggested the "scalar field method" to solve Problem 12. I don't know how to compare fields because I don't have a deep mathematical knowledge of scalar fields, it was only a curiosity due to my ignorance about the topic.
 
  • #24
Schalk21 said:
Sorry I don't understand "the rest of the argument"
From ##x_1^2+x_2^2\geq 2\cdot x_1\cdot x_2## to ##AM\geq GM##.
I don't know how to compare fields because I don't have a deep mathematical knowledge of scalar fields, it was only a curiosity due to my ignorance about the topic.
A scalar field is an area where a number (scalar) is attached at every point of this area. So ##(x,y)\longmapsto f(x,y)\in \mathbb{R}## is automatically a scalar field if you simply write it as ##(x,y,f(x,y))## or more common as ##\displaystyle{\sqcup_{(x,y)}}\{f(x,y)\} .##The standard example is temperature or air pressure. At each point on earth, there is a temperature. So temperature defines a scalar field. The same works with air pressure. If you add height as dimension, you get a pressure field on a three dimensional object. If you combine temperature and pressure to a vector, which is measured at each point, then you have a vector field.
 
  • #25
Is correct to say that ##\sqrt {(x_{1,2})^2} = x_{1,2}## because ##x_{1,2} \geq 0##, so ## \frac {(x_1)^2 + (x_2)^2} {2} \geq \sqrt {(x_1 × x_2)^2}## ? Or in order to avoid any type of problem ## (x_1)^2+(x_2)^2 + 2 (x_1)(x_2) \geq 4(x_1)(x_2), (x_1+x_2)^2 \geq 4(x_1)(x_2)## and taking the square root both sides we obtain ##\frac {x_1 + x_2} {2} \geq \sqrt{ (x_1)(x_2)}##
Thank you for the explanation. I thought that there was a method to control each pair ##(x ; y)## in the two fields using the same couple in order to demonstrate the AM GM inequality 😀
 
  • #26
Schalk21 said:
I thought that there was a method to control each pair (x;y) in the two fields using the same couple in order to demonstrate the AM GM inequality
No. There is nothing special about scalar or vector fields. They are just another way to look at functions, either scalar valued functions, or vector valued functions.

Now why they are considered at all? This comes from the fact that they occur in physics all the time: measurements at the locations of the domain (phase space), and the change of these measurements if you follow a path (flow) through these fields. The vector fields are typically tangent spaces at a certain location, collected in a set over all possible locations. E.g. the path of an orbiter through a gravitational field is such a flow; same as car driving, you always follow the tangent vectors until you apply a force to change direction. Vector fields are thus a convenient notation to handle all these different tangent spaces (one at each location) at the same time and describe flows through such fields.
 
  • Like
Likes   Reactions: Schalk21
  • #27
##y = x +\ln{y}##
##y-\ln{y} = x##
##\frac{dx}{dy} = 1-\frac{1}{y}##
##\frac{dx}{dy} = \frac{y-1}{y}##
##\frac{dy}{dx} = \frac{y}{y-1}##
##\frac{dy}{dx} = 1+ \frac{1}{y-1}##

2nd part
##\frac{dx}{dy} = 1-\frac{1}{y}##
##\frac{d^2x}{dy^2} = \frac{1}{y^2}##
##\frac{d^2y}{dx^2} = y^2##
 
  • #28
Elbraido said:
##y = x +\ln{y}##
##y-\ln{y} = x##
##\frac{dx}{dy} = 1-\frac{1}{y}##
##\frac{dx}{dy} = \frac{y-1}{y}##
##\frac{dy}{dx} = \frac{y}{y-1}##
##\frac{dy}{dx} = 1+ \frac{1}{y-1}##

2nd part
##\frac{dx}{dy} = 1-\frac{1}{y}##
##\frac{d^2x}{dy^2} = \frac{1}{y^2}##
##\frac{d^2y}{dx^2} = y^2##
Not sure what you did there, but if I had to guess, I'd say it is wrong.
 
  • #29
Wait, what is the 2nd question asking?
 
  • #30
AndreasC said:
Wait, what is the 2nd question asking?
It asks for a proof of the equivalence and a proof why ##3## is primitive.
 

Similar threads

  • · Replies 61 ·
3
Replies
61
Views
13K
  • · Replies 100 ·
4
Replies
100
Views
13K
  • · Replies 60 ·
3
Replies
60
Views
13K
  • · Replies 61 ·
3
Replies
61
Views
12K
  • · Replies 93 ·
4
Replies
93
Views
16K
  • · Replies 86 ·
3
Replies
86
Views
14K
  • · Replies 69 ·
3
Replies
69
Views
9K
  • · Replies 42 ·
2
Replies
42
Views
12K
  • · Replies 67 ·
3
Replies
67
Views
12K
  • · Replies 114 ·
4
Replies
114
Views
12K