Physics Exam Preparation: General question about auxiliary quantity and linearization of a function in physics

  • Thread starter Thread starter Voidness
  • Start date Start date
  • Tags Tags
    Exam Study
Click For Summary

Homework Help Overview

The discussion revolves around the concepts of auxiliary quantities and the linearization of functions in physics, particularly in the context of preparing for an exam. The original poster expresses confusion about these topics and seeks clarification.

Discussion Character

  • Exploratory, Conceptual clarification, Assumption checking

Approaches and Questions Raised

  • Participants explore the definition of auxiliary quantities, with references to historical examples like the Planck constant and absolute magnitude. There is discussion on linearization, particularly through the Taylor series, and how changing variables can transform quadratic relationships into linear ones.

Discussion Status

Some participants provide general insights and examples, while others express the need for more beginner-friendly explanations. There is an acknowledgment of the challenges posed by language barriers, and the conversation appears to be ongoing with various interpretations being explored.

Contextual Notes

The original poster indicates a lack of understanding due to their beginner status in physics and language difficulties. There are references to specific exercises and a desire for further assistance, highlighting the need for more tailored guidance.

Voidness
Messages
18
Reaction score
0
Hello guys,

Tomorrow Ive got exam. Ive studied well but I dont understand everything, I would appreciate if someone could help me about auxiliary quantity and linearization of a function in physics.

I dont speak English well.
 
Physics news on Phys.org
Hello and :welcome:!

You're a bit late, are you?

I'm not sure I know what exactly you mean by auxiliary quantity. The Planck constant has been regarded as such when it first was introduced in 1901, but that's possibly a more historical aspect. The absolute magnitude in astronomy is an auxiliary quantity. I would consider them as quantities that occur in solution processes although they are not the primary goal of an experiment or a calculation. This is very general and an exact definition might be impossible as it depends on the context.

Linearization of a function is probably the local (!) approximation of a function by its first derivative. If you consider the Taylor series of a function ##f(x)## at a point ##a## then its Taylor series is
$$f(x)=f(a)+f'(a)\cdot (x-a) + f''(a)\cdot \dfrac{(x-a)^2}{2}+f'''(a)\cdot \dfrac{(x-a)^3}{3!}+\ldots $$
and a linear approximation in a neighborhood of ##x=a## is thus ##f(x)\approx f(a)+f'(a)\cdot (x-a).##

Another form of a linearization (in mathematics) is the approximation of ##f(x)## by a chain of straights, i.e. a chain of piecewise linear functions along the graph of ##f(x).## However, in physics, it is probably the Taylor series.

Here is an article on some things that should be considered in an exam:
https://www.physicsforums.com/insights/10-math-tips-save-time-avoid-mistakes/

These are all very general considerations. It may help if you had more specific questions and examples.
 
fresh_42 said:
Hello and :welcome:!

You're a bit late, are you?

I'm not sure I know what exactly you mean by auxiliary quantity. The Planck constant has been regarded as such when it first was introduced in 1901, but that's possibly a more historical aspect. The absolute magnitude in astronomy is an auxiliary quantity. I would consider them as quantities that occur in solution processes although they are not the primary goal of an experiment or a calculation. This is very general and an exact definition might be impossible as it depends on the context.

Linearization of a function is probably the local (!) approximation of a function by its first derivative. If you consider the Taylor series of a function ##f(x)## at a point ##a## then its Taylor series is
$$f(x)=f(a)+f'(a)\cdot (x-a) + f''(a)\cdot \dfrac{(x-a)^2}{2}+f'''(a)\cdot \dfrac{(x-a)^3}{3!}+\ldots $$
and a linear approximation in a neighborhood of ##x=a## is thus ##f(x)\approx f(a)+f'(a)\cdot (x-a).##

Another form of a linearization (in mathematics) is the approximation of ##f(x)## by a chain of straights, i.e. a chain of piecewise linear functions along the graph of ##f(x).## However, in physics, it is probably the Taylor series.

Here is an article on some things that should be considered in an exam:
https://www.physicsforums.com/insights/10-math-tips-save-time-avoid-mistakes/

These are all very general considerations. It may help if you had more specific questions and examples.
Hello,

Thank you for your reply. I am not late, I can almost do everything but there are some things I dont understand. I am beginner to physics and I think what you have written there is not for beginners. I also think that there is an misunderstanding because lack of my language. I am sorry of my deficit of my English.

20250112_180732 (1).jpg


image_2025-01-12_181235421.png
 
Last edited by a moderator:
Voidness said:
Hello,

Thank you for your reply. I am not late, I can almost do everything but there are some things I dont understand. I am beginner to physics and I think what you have written there is not for beginners. I also think that there is an misunderstanding because lack of my language. I am sorry of my deficit of my English.
After some time of studying I could understand some of it but not the whole thing.
 
Your example was ##x=\dfrac{1}{2}a\cdot t^2.## This means that ##x\sim t^2## is proportional to ##t^2.## If we forget that ##t^2## is time squared and call it ##H## then ##x \sim H## is proportional to ##H## which is an auxiliary quantity (Hilfsgröße) which we only need to draw the ##(x,H)##-diagram. Although ##x## is a quadratic function of ##t##, it is also a linear function in the new variable ##H=t^2.## That changes the diagram ##\left(x=\dfrac{a}{2}t^2, t\right)## which is a parabola into a diagram ##\left(x=\dfrac{a}{2}\cdot H, H\right)## which is now a linear line - that's why it is called linearization in this context.

What we did was change the scale of the horizontal axis from ##t## in seconds into ##H## in seconds squared. We "linearized" the diagram by introducing ##H.## It's mainly just words that should describe the change in our perspective.
 
  • Like
Likes   Reactions: Steve4Physics, SammyS and erobz
You should read the article I linked to. It definitely contains helpful tips for your exam. I wrote it from my experiences of tutoring kids at school.
 
fresh_42 said:
Your example was ##x=\dfrac{1}{2}a\cdot t^2.## This means that ##x\sim t^2## is proportional to ##t^2.## If we forget that ##t^2## is time squared and call it ##H## then ##x \sim H## is proportional to ##H## which is an auxiliary quantity (Hilfsgröße) which we only need to draw the ##(x,H)##-diagram. Although ##x## is a quadratic function of ##t##, it is also a linear function in the new variable ##H=t^2.## That changes the diagram ##\left(x=\dfrac{a}{2}t^2, t\right)## which is a parabola into a diagram ##\left(x=\dfrac{a}{2}\cdot H, H\right)## which is now a linear line - that's why it is called linearization in this context.

What we did was change the scale of the horizontal axis from ##t## in seconds into ##H## in seconds squared. We "linearized" the diagram by introducing ##H.## It's mainly just words that should describe the change in our perspective.
So it changed quadratic formula to linear formula, so we could calculate it easier. Why does it change to linear when we do t^2 = H, I know how to calculate quadratic- and linear functions but whats the theory behind it. I also got some exercises about this, could you help me with it please?
 
fresh_42 said:
Your example was ##x=\dfrac{1}{2}a\cdot t^2.## This means that ##x\sim t^2## is proportional to ##t^2.## If we forget that ##t^2## is time squared and call it ##H## then ##x \sim H## is proportional to ##H## which is an auxiliary quantity (Hilfsgröße) which we only need to draw the ##(x,H)##-diagram. Although ##x## is a quadratic function of ##t##, it is also a linear function in the new variable ##H=t^2.## That changes the diagram ##\left(x=\dfrac{a}{2}t^2, t\right)## which is a parabola into a diagram ##\left(x=\dfrac{a}{2}\cdot H, H\right)## which is now a linear line - that's why it is called linearization in this context.

What we did was change the scale of the horizontal axis from ##t## in seconds into ##H## in seconds squared. We "linearized" the diagram by introducing ##H.## It's mainly just words that should describe the change in our perspective.
Ok, thank you for the article.
 
Voidness said:
So it changed quadratic formula to linear formula, so we could calculate it easier.
We only look at it differently.
Voidness said:
Why does it change to linear when we do t^2 = H, I know how to calculate quadratic- and linear functions but whats the theory behind it.
There is no theory behind it. We use different scales all the time. Distances in space are measured in lightyears. However, you would have problems measuring your way to school in lightyears. Meters and kilometers are better suited.

It is a change of perspective: ##x=t^2## is a quadratic parabola, ##x=H## is a straight. It is a different point of view, not a different physical process.

Voidness said:
I also got some exercises about this, could you help me with it please?
It is only a change of perspective. Another example is the scale of earthquakes. It is a logarithmic scale and basically says that M5 is 10 times rougher than M4, and 100 times rougher than M3.

"How to calculate" depends on what quantities you have been given. I assume that we measured time, so we have been given values of ##t.## Then ##H=t^2## but we did not measure ##H.## That's why it is called auxiliary - we can calculate it as ##H=t\cdot t,## but we do not measure it.
 
  • #10
fresh_42 said:
We only look at it differently.

There is no theory behind it. We use different scales all the time. Distances in space are measured in lightyears. However, you would have problems measuring your way to school in lightyears. Meters and kilometers are better suited.

It is a change of perspective: ##x=t^2## is a quadratic parabola, ##x=H## is a straight. It is a different point of view, not a different physical process.


It is only a change of perspective. Another example is the scale of earthquakes. It is a logarithmic scale and basically says that M5 is 10 times rougher than M4, and 100 times rougher than M3.

"How to calculate" depends on what quantities you have been given. I assume that we measured time, so we have been given values of ##t.## Then ##H=t^2## but we did not measure ##H.## That's why it is called auxiliary - we can calculate it as ##H=t\cdot t,## but we do not measure it.
Ok, thank you. I was able to calculate the exercise with your help. I have one more question what is darkening time?
 

Attachments

  • Exercise 1.png
    Exercise 1.png
    8.3 KB · Views: 75
  • 20250112_190610.jpg
    20250112_190610.jpg
    42 KB · Views: 46
  • 20250112_190610 (1).jpg
    20250112_190610 (1).jpg
    40.4 KB · Views: 54
  • #11
Voidness said:
Ok, thank you. I was able to calculate the exercise with your help. I have one more question what is darkening time?
It's also only a word and a bit of "eine unglückliche Bezeichnung".

I assume that an object falls through a photoelectric sensor (Lichtschranke) and the moment it does so darkens the sensor (verdunkelt den Sensor). They have called it darkening time (Verdunklungszeit). It is the moment in time the sensor gets dark and measures the time, or maybe the time span during which the sensor is dark.

Nothing specific about it.
 
  • #12
fresh_42 said:
It's also only a word and a bit of "eine unglückliche Bezeichnung".

I assume that an object falls through a photoelectric sensor (Lichtschranke) and the moment it does so darkens the sensor (verdunkelt den Sensor). They have called it darkening time (Verdunklungszeit). It is the moment in time the sensor gets dark and measures the time, or maybe the time span during which the sensor is dark.

Nothing specific about it.
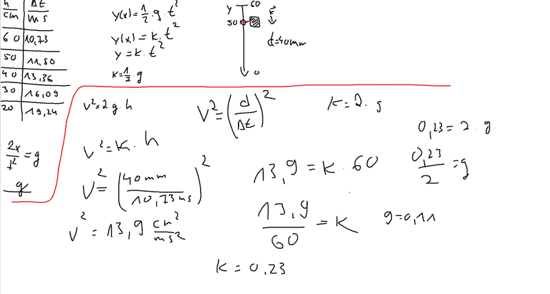
Ok, thank you. It looks like I am stuck again. I dont know how to continue with the exercise 2a). I only got this. Could you help me please.

image_2025-01-12_202211049.png
 
Last edited by a moderator:
  • #13
Voidness said:
Ok, thank you. It looks like I am stuck again. I dont know how to continue with the exercise 2a). I only got this. Could you help me please.

View attachment 355745
I think that I got it finally
 

Attachments

  • image_2025-01-12_210629430.png
    image_2025-01-12_210629430.png
    23.5 KB · Views: 71
  • #14
Voidness said:
Ok, thank you. It looks like I am stuck again. I dont know how to continue with the exercise 2a). I only got this. Could you help me please.
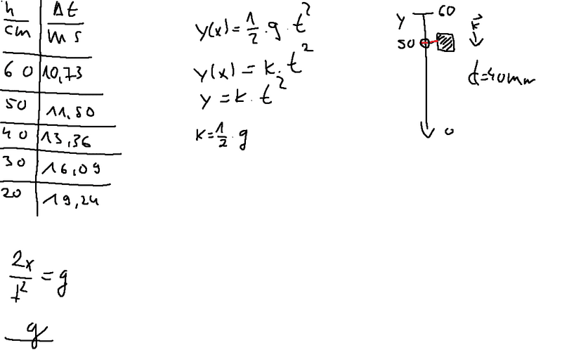
Let me think out loud to get the problem. We measure a timespan ##\Delta t## during which the steel ball falls with a constant acceleration ##g## through the sensor of sensor length ##d.## The timespan depends on the height ##h_0## of the fall, which is the only variable quantity resulting in varying velocities. It also means that the steel ball enters the sensor at different velocities.

My problem is now that my method differs from your method in the book and I have only limited access to the book. My equations get a bit complicated as I consider time as my central variable and not height.
If ##t_2## is the total timespan of the fall from height ##h_0## and ##t_1## the timespan of the fall until it enters the sensor, then ##h_0=\dfrac{1}{2}g\cdot t_2^2## and ##h_0-d=\dfrac{1}{2}g\cdot t_1^2## where ##d=40\, \mathrm{mm}## is the length of the sensor and we measure ## \Delta t= t_2-t_1.## Then
\begin{align*}
d&=h_0-(h_0-d)=\dfrac{1}{2}g\cdot t_2^2 -\left(\dfrac{1}{2}g\cdot t_1^2\right)\\
&=\dfrac{1}{2}g\cdot (t_1+\Delta t)^2 -\left(\dfrac{1}{2}g\cdot t_1^2\right)\\
&=g\cdot t_1\cdot\Delta t +\dfrac{1}{2}g\cdot \left(\Delta t\right)^2\\
&=\underbrace{\sqrt{2g\cdot (h_0-d)}}_{=v_0}\cdot \Delta t+ \dfrac{1}{2}g\cdot\left(\Delta t\right)^2\\
\end{align*}
where ##v_0## is the velocity of the ball when entering the sensor.
I need to find a suitable coordinate system, i.e. when time starts ticking: with the fall (as in my equations), or when entering the sensor, and a suitable way to describe the different velocities when the ball enters the sensor in dependence of height. This velocity is proportional to the time of the fall before and proportional to the square root of the height. I have to figure out how this is dealt with in your book without having the book. This velocity is crucial since it directly affects how long the ball takes to pass the sensor.

It would be easier if we only had falling time and height but the book mentions the "Verdunklungsdauer" as its variable.
 
  • #15
fresh_42 said:
Let me think out loud to get the problem. We measure a timespan ##\Delta t## during which the steel ball falls with a constant acceleration ##g## through the sensor of sensor length ##d.## The timespan depends on the height ##h_0## of the fall, which is the only variable quantity resulting in varying velocities. It also means that the steel ball enters the sensor at different velocities.

My problem is now that my method differs from your method in the book and I have only limited access to the book. My equations get a bit complicated as I consider time as my central variable and not height.
If ##t_2## is the total timespan of the fall from height ##h_0## and ##t_1## the timespan of the fall until it enters the sensor, then ##h_0=\dfrac{1}{2}g\cdot t_2^2## and ##h_0-d=\dfrac{1}{2}g\cdot t_1^2## where ##d=40\, \mathrm{mm}## is the length of the sensor and we measure ## \Delta t= t_2-t_1.## Then
\begin{align*}
d&=h_0-(h_0-d)=\dfrac{1}{2}g\cdot t_2^2 -\left(\dfrac{1}{2}g\cdot t_1^2\right)\\
&=\dfrac{1}{2}g\cdot (t_1+\Delta t)^2 -\left(\dfrac{1}{2}g\cdot t_1^2\right)\\
&=g\cdot t_1\cdot\Delta t +\dfrac{1}{2}g\cdot \left(\Delta t\right)^2\\
&=\underbrace{\sqrt{2g\cdot (h_0-d)}}_{=v_0}\cdot \Delta t+ \dfrac{1}{2}g\cdot\left(\Delta t\right)^2\\
\end{align*}
where ##v_0## is the velocity of the ball when entering the sensor.
I need to find a suitable coordinate system, i.e. when time starts ticking: with the fall (as in my equations), or when entering the sensor, and a suitable way to describe the different velocities when the ball enters the sensor in dependence of height. This velocity is proportional to the time of the fall before and proportional to the square root of the height. I have to figure out how this is dealt with in your book without having the book. This velocity is crucial since it directly affects how long the ball takes to pass the sensor.

It would be easier if we only had falling time and height but the book mentions the "Verdunklungsdauer" as its variable.
d is the diameter of the sphere. Sorry for the misunderstanding.
 
  • #16
Voidness said:
d is the diameter of the sphere. Sorry for the misunderstanding.
This makes no difference and does not solve the problem with the initial velocity when the ball arrives at the sensor. Let's see.

We basically have ##d = v(h) \cdot \Delta t + \dfrac{g}{2} \left(\Delta t\right)^2## where ##\Delta t## is the dark time and ##v(h)## the velocity when entering the sensor, dependent of the height ##h## between starting point and sensor. The ball needs ##d/v(h)## seconds to pass the sensor without additional acceleration. With additional acceleration, we have to solve ##d = v(h) \cdot \Delta t + \dfrac{g}{2} \left(\Delta t\right)^2## where we have measured ##\Delta t ## and know ##d##. We have one equation with two unknowns ##g## and ##v(h).##
 
  • #17
I love physics but sometimes I wonder if I am too dumb for it :rolleyes:
Cant even do beginners physics. I need to invest more time with physics.
 
  • #18
Voidness said:
I love physics but sometimes I wonder if I am too dumb for it :rolleyes:
Cant even do beginners physics. I need to invest more time with physics.
I think the velocity is ##v(h)=g\cdot h##. Since we know ##h## we can calculate ##v(h)## and solve the equation. I simply do not see where "linearization" kicks in as we get
$$
d=g\cdot h \cdot \Delta t + \dfrac{g}{2}\cdot \left(\Delta t\right)^2.
$$

Correction: ##v(h)=\sqrt{2\cdot g\cdot h}## and ##d=\sqrt{2\cdot g\cdot h} \cdot \Delta t + \dfrac{g}{2}\cdot \left(\Delta t\right)^2.##

Proof: Velocity is ##v(h)=g\cdot t## and height is ##h=\dfrac{1}{2}g\cdot t^2.## Eliminating ##t## as the time of the fall results in ##v(h)= g\cdot \sqrt{\dfrac{2h}{g}}=\sqrt{2\cdot g \cdot h}.##
 
Last edited:
  • #19
fresh_42 said:
I think the velocity is ##v(h)=g\cdot h##. Since we know ##h## we can calculate ##v(h)## and solve the equation. I simply do not see where "linearization" kicks in as we get
$$
d=g\cdot h \cdot \Delta t + \dfrac{g}{2}\cdot \left(\Delta t\right)^2.
$$
I dont see it either but it says, that I have to determine the fall acceleration with linearization. I will just skip this and continue with other themes. Next time will spend more time.
 
  • #20
fresh_42 said:
I think the velocity is ##v(h)=g\cdot h##. Since we know ##h## we can calculate ##v(h)## and solve the equation. I simply do not see where "linearization" kicks in as we get
$$
d=g\cdot h \cdot \Delta t + \dfrac{g}{2}\cdot \left(\Delta t\right)^2.
$$
I am very thankful for your help, Sir.
 
  • #21
Voidness said:
I dont see it either but it says, that I have to determine the fall acceleration with linearization. I will just skip this and continue with other themes. Next time will spend more time.
I made a mistake. The velocity is ##v(h)=\sqrt{2\cdot g\cdot h}.## It falls on a length of ##h## at an acceleration ##g##. Hence my formula should have been
$$
d=\sqrt{2\cdot g\cdot h}\cdot \Delta t +\dfrac{g}{2}\left(\Delta t\right)^2.
$$
The point is: the higher it falls the faster it is when it arrives at the sensor. Then it is also accelerated further when passing the sensor.

My suspicion is that we consider the quadratic term as too small to influence the result so that we have
$$
d=\sqrt{2\cdot g\cdot h}\cdot \Delta t +\dfrac{g}{2}\left(\Delta t\right)^2\approx \sqrt{2\cdot g\cdot h}\cdot \Delta t
$$
and that this is the linearization. This means
$$
g\approx \dfrac{d^2}{2h} \cdot \dfrac{1}{\left(\Delta t\right)^2}
$$
or
$$
\left(\Delta t\right)^2 \approx \dfrac{d^2}{2h}\cdot \dfrac{1}{g}
$$
 
Last edited:
  • #22
I have a question but this is a little personal. Next year I will have to go to uni but I havent chosen which degree. I have in my mind physics, math, chemistry, machine engineer or something with radiation. You prob. have much more experience than me. How did you chose which degree you wanted to study?
 
  • #23
You're too fast for me. I type directly here and make mistakes which I have to edit. Please refresh the page and see my edits.
Voidness said:
I have a question but this is a little personal. Next year I will have to go to uni but I havent chosen which degree. I have in my mind physics, math, chemistry, machine engineer or something with radiation. You prob. have much more experience than me. How did you chose which degree you wanted to study?
These are very different fields. They differ in my opinion mainly in the languages they use.

Mathematicians and physicists both write in mathematical formulas. However, mathematicians concentrate on the object, and physicists on the coordinate systems. That makes a huge difference in the sense that different notations become important. I am a mathematician and a Lie algebra is an algebraic object to me, a vector space with a certain multiplication. To a physicist, a Lie algebra is generated by the flows of a particle through a vector field. It is the same thing but viewed at very differently.

Chemistry needs a lot more things to learn by heart. It is full of facts that you cannot derive from something. You have to learn facts.

Engineering has a lot to do with actual calculations, full of formulas and explicit numbers.

Not sure what you mean by something with radiation. That can go from nuclear engineering, in which case I hope you are from Switzerland since Germany has quit running nuclear power plants, medical applications, or high-energy physics.

So which of the above descriptions match your strengths?
 
  • #24
fresh_42 said:
You're too fast for me. I type directly here and make mistakes which I have to edit. Please refresh the page and see my edits.

These are very different fields. They differ in my opinion mainly in the languages they use.

Mathematicians and physicists both write in mathematical formulas. However, mathematicians concentrate on the object, and physicists on the coordinate systems. That makes a huge difference in the sense that different notations become important. I am a mathematician and a Lie algebra is an algebraic object to me, a vector space with a certain multiplication. To a physicist, a Lie algebra is generated by the flows of a particle through a vector field. It is the same thing but viewed at very differently.

Chemistry needs a lot more things to learn by heart. It is full of facts that you cannot derive from something. You have to learn facts.

Engineering has a lot to do with actual calculations, full of formulas and explicit numbers.

Not sure what you mean by something with radiation. That can go from nuclear engineering, in which case I hope you are from Switzerland since Germany has quit running nuclear power plants, medical applications, or high-energy physics.
I am from Germany :cry:. I cant chose, I love four of them but also know that I cant learn everything. I even do internship in a Uni but still cant chose. Mostly math, physics and machine engineer. I can do math well and have even joined to math races when I was little. But with physics you can see the secrets of the universe and with the machine engineer you can build your own things which I love. Chemistry is also very cool, you can do many thing with the elements.
 
  • #25
Voidness said:
I am from Germany :cry:. I cant chose, I love four of them but also know that I cant learn everything. I even do internship in a Uni but still cant chose. Mostly math, physics and machine engineer. I can do math well and have even joined to math races when I was little. But with physics you can see the secrets of the universe and with the machine engineer you can build your own things which I love. Chemistry is also very cool, you can do many thing with the elements.
As I said. They require different strengths. You could figure out what is taught in the first or first two semesters in the different fields. Then search for them with the appendix "+pdf". E.g., search for
  • <Analysis I + pdf> or <calculus I + pdf>
  • <klassische Mechanik + pdf> or <classical mechanics + pdf>
  • <mathematik für ingenieure + pdf> or <mathematics for engineers + pdf>
  • <organische Chemie + pdf> or <organic chemistry + pdf>
  • <Kern und Teilchen Physik + pdf> or <nuclear physics + pdf>
then select a university site where you will usually find a lecture note. Sometimes you can also find a textbook. In any case, look at those and see which of them appears easy to learn for you.
 
  • #26
fresh_42 said:
You're too fast for me. I type directly here and make mistakes which I have to edit. Please refresh the page and see my edits.

These are very different fields. They differ in my opinion mainly in the languages they use.

Mathematicians and physicists both write in mathematical formulas. However, mathematicians concentrate on the object, and physicists on the coordinate systems. That makes a huge difference in the sense that different notations become important. I am a mathematician and a Lie algebra is an algebraic object to me, a vector space with a certain multiplication. To a physicist, a Lie algebra is generated by the flows of a particle through a vector field. It is the same thing but viewed at very differently.

Chemistry needs a lot more things to learn by heart. It is full of facts that you cannot derive from something. You have to learn facts.

Engineering has a lot to do with actual calculations, full of formulas and explicit numbers.

Not sure what you mean by something with radiation. That can go from nuclear engineering, in which case I hope you are from Switzerland since Germany has quit running nuclear power plants, medical applications, or high-energy physics.

So which of the above descriptions match your strengths?

fresh_42 said:
As I said. They require different strengths. You could figure out what is taught in the first or first two semesters in the different fields. Then search for them with the appendix "+pdf". E.g., search for
  • <Analysis I + pdf> or <calculus I + pdf>
  • <klassische Mechanik + pdf> or <classical mechanics + pdf>
  • <mathematik für ingenieure + pdf> or <mathematics for engineers + pdf>
  • <organische Chemie + pdf> or <organic chemistry + pdf>
  • <Kern und Teilchen Physik + pdf> or <nuclear physics + pdf>
then select a university site where you will usually find a lecture note. Sometimes you can also find a textbook. In any case, look at those and see which of them appears easy to learn for you.
Thank you for your help, Sir. May I contact you in the future?
 
  • #27
Voidness said:
Thank you for your help, Sir. May I contact you in the future?
Sure, PF is a good place to come for all of these fields.
 
  • #28
fresh_42 said:
Sure, PF is a good place to come for all of these fields.
Ok, have a good night. I will prob. continue to study till very late.
 

Similar threads

  • · Replies 12 ·
Replies
12
Views
2K
Replies
2
Views
3K
  • · Replies 18 ·
Replies
18
Views
2K
Replies
2
Views
2K
  • · Replies 9 ·
Replies
9
Views
2K
Replies
2
Views
2K
  • · Replies 1 ·
Replies
1
Views
2K
  • · Replies 2 ·
Replies
2
Views
2K
Replies
3
Views
2K