Potential outside a grounded conductor with point charge inside

Click For Summary

Homework Help Overview

The discussion revolves around the potential outside a grounded conductor with a point charge inside. Participants explore the implications of the method of image charges and the behavior of electric fields in various geometries, particularly focusing on spherical and arbitrary shapes.

Discussion Character

  • Exploratory, Conceptual clarification, Assumption checking

Approaches and Questions Raised

  • Participants discuss using Gaussian surfaces to analyze the electric field and potential, questioning how to apply this to both spherical and asymmetric geometries.
  • Some participants raise concerns about the implications of grounding and the cancellation of electric fields due to induced charges.
  • There are inquiries about the relationship between total charge and induced charge in grounded conductors, particularly in non-spherical shapes.

Discussion Status

The conversation is ongoing, with various interpretations being explored. Some participants have provided insights into the use of numerical methods for complex structures, while others question the assumptions regarding charge distribution and grounding effects. No explicit consensus has been reached yet.

Contextual Notes

Participants note the challenges of integrating charge density in complex geometries and the limitations of applying the method of image charges in non-standard shapes. There is also mention of constraints related to homework rules and the need for clarity in definitions and assumptions.

daiisibil
Messages
3
Reaction score
1
Homework Statement
If we have a grounded sphere with a point charge inside, what is the potential outside?
What if it's not a sphere and arbitrary shape?
Relevant Equations
Poisson equation for electrostatic potential
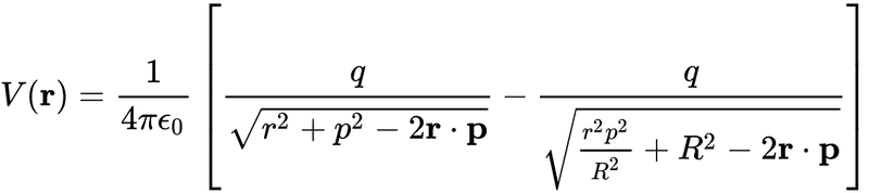
Potential inside is given as in ,https://en.wikipedia.org/wiki/Method_of_image_charges, which is the sum of excitation and induced potential. When the charge is outside it is easy to argue potential is zero in the sphere. But when we have charge inside and image outside, what is potential outside?
350px-SphericalImage.svg.png
52743d0a81a388b2953818dd92243520c7b21231 (1).png


1) could one use a Gaussian surface enclosing the charge q and surface charge density?
2) in the case of a sphere it's easy to integrate surface charge, what about asymmetric volume?
PS apologies for some reason couldn't write in tex.
 
  • Like
Likes   Reactions: Delta2
Physics news on Phys.org
Charge -q is supplied from the ground Earth to the sphere and it together with point charge q cancel out electric field outside to make V=0. Not only sphere but any shape is all right for this cancellation outside.
 
  • Like
Likes   Reactions: daiisibil and baby_1
daiisibil said:
Homework Statement:: If we have a grounded sphere with a point charge inside, what is the potential outside?
What if it's not a sphere and arbitrary shape?
Relevant Equations:: Poisson equation for electrostatic potential

Potential inside is given as in ,https://en.wikipedia.org/wiki/Method_of_image_charges, which is the sum of excitation and induced potential. When the charge is outside it is easy to argue potential is zero in the sphere. But when we have charge inside and image outside, what is potential outside?
View attachment 286626View attachment 286628

1) could one use a Gaussian surface enclosing the charge q and surface charge density?
2) in the case of a sphere it's easy to integrate surface charge, what about asymmetric volume?
PS apologies for some reason couldn't write in tex.

Hello,
1) The Gaussian surface around the charge is a Sphere too. So we can write:
[tex]D_{r}4\pi r^2=q_{in}=>D_{r}=\frac{q_{in}}{\pi r^2}=>E_{r}=\frac{q_{in}}{\varepsilon \pi r^2}[/tex]
It is valid between the Sphere and charge. Outside of sphere we have no charge regarding the sphere is grounded.
2) For complex structure we use numerical electromagnetic approaches if we are unable to calculate the integral easily.However, if the structure is PEC and is grounded the same approach -as anuttarasammyak said- can be applied.
 
  • Like
Likes   Reactions: daiisibil and Delta2
baby_1 said:
Hello,
1) The Gaussian surface around the charge is a Sphere too. So we can write:
[tex]D_{r}4\pi r^2=q_{in}=>D_{r}=\frac{q_{in}}{\pi r^2}=>E_{r}=\frac{q_{in}}{\varepsilon \pi r^2}[/tex]
It is valid between the Sphere and charge. Outside of sphere we have no charge regarding the sphere is grounded.
2) For complex structure we use numerical electromagnetic approaches if we are unable to calculate the integral easily.However, if the structure is PEC and is grounded the same approach -as anuttarasammyak said- can be applied.
For the charge +q inside, the induced charge on the boundary is -qR/p, so in a Gaussian surface outside shouldn't we see a charge equal to the sum of these and thus have electric field and potential difference?
 
Based on the Gaussian law [itex]qin[/itex] is the charge which is enclosed by the surface not out of the Gaussian surface. Total charge which is the sum of +q and induced charge is equal to each other and cancel each other( when the sphere is grounded). If sphere is not grounded the the Total charge out of the sphere is +q.
 
  • Like
Likes   Reactions: daiisibil
Thank for the reply, I don't know why I confused the total charge with the image point charge.
If you don't mind another rudimentary question, in the case of the sphere we find surface charge density by taking the gradient of the potential evaluated at the boundar, and to find total charge we integrate charge density. Is there an easy argument for why the total charge of an arbitrary shaped grounded conductor is equal to the charge inside it?
 
Dear daiisibil,

First, It is not the image theorem when the surface is not limited. It is just a simple question:
if we have a conductor near a positive charge, based on the free electron which exist on the conductor they are affected by the charge electric field and they sit on the conductor surface. So when the electrons sit on the one side of conductor on the other side of the conductor positive charges appear. if we ground the conductor, the positive charges goes to the ground.
 
  • Like
Likes   Reactions: daiisibil
  • Like
Likes   Reactions: daiisibil

Similar threads

  • · Replies 4 ·
Replies
4
Views
2K
  • · Replies 5 ·
Replies
5
Views
1K
Replies
6
Views
4K
  • · Replies 2 ·
Replies
2
Views
5K
Replies
2
Views
5K
  • · Replies 7 ·
Replies
7
Views
1K
  • · Replies 1 ·
Replies
1
Views
2K
  • · Replies 3 ·
Replies
3
Views
2K
Replies
4
Views
5K
Replies
23
Views
5K