Proving an Integral with a Direct Proof & Epsilon Argument

Click For Summary

Discussion Overview

The discussion revolves around proving an integral using a direct proof and epsilon-delta arguments. Participants explore different approaches to the problem, including proofs by contradiction and the implications of continuity on integrals. The scope includes theoretical aspects of integration and the application of limits in proofs.

Discussion Character

  • Technical explanation
  • Mathematical reasoning
  • Debate/contested

Main Points Raised

  • Some participants discuss the necessity of a direct proof after attempting a proof by contradiction, suggesting that it should be straightforward.
  • One participant asserts that if a function \( f(x) > 0 \) for all \( x \in [a,b] \), then the integral \( \int_a^b f > 0 \), and proposes a correct statement regarding the conditions under which \( \int_a^b f = 0 \).
  • Another participant mentions using a delta of \( 1/n \) and suggests employing an epsilon argument to show equality between the Riemann sum and the integral.
  • There is a discussion about the choice of \( \delta \) being independent of \( n \) and the implications of uniform continuity on the function \( f \).
  • Participants explore the relationship between the Riemann sum and the integral, noting that the difference can be made less than \( \epsilon \) under certain conditions.
  • One participant expresses confusion about the role of continuity in proofs involving integrals and suggests that proofs should be introduced earlier in learning.
  • Another participant proposes a limit approach to show that \( f(x) = 0 \) for all \( x \in [a,b] \) based on the integral being zero over small intervals.
  • There is a correction regarding a typo in a mathematical expression, indicating the collaborative nature of the discussion.
  • One participant questions whether an epsilon-delta argument should be used for a specific proof, while another suggests using basic properties of the integral instead.

Areas of Agreement / Disagreement

Participants express differing views on the methods for proving the integral, with some advocating for direct proofs and others suggesting alternative approaches. The discussion remains unresolved regarding the best method to employ, as multiple competing views are presented.

Contextual Notes

Limitations include the dependence on the continuity of the function and the assumptions made about the function's behavior over the interval. There are unresolved mathematical steps and conditions that participants acknowledge but do not fully clarify.

joypav
Messages
149
Reaction score
0
Okay, these are my last questions and then I'll get out of your hair for a while.

For 1, I have already done a proof by contradiction, but I'm supposed to also do a direct proof. Seems like it should be simple?

For 2, this seems obvious because it's the definition of an integral. My delta is 1/n. So I should try choosing a smart point, then I need to use an epsilon argument to prove that they are equal?

View attachment 6493
 

Attachments

  • summation.jpg
    summation.jpg
    10.2 KB · Views: 176
Physics news on Phys.org
Hi joypav,
joypav said:
Okay, these are my last questions and then I'll get out of your hair for a while.

You're not bothering us with your questions, so feel free to ask whenever you have trouble. :)
joypav said:
For 1, I have already done a proof by contradiction, but I'm supposed to also do a direct proof. Seems like it should be simple?

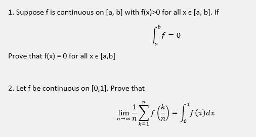
The problem is impossible. For we cannot have both $f(x) > 0$ for all $x\in [a,b]$, and also $f(x) = 0$ for all $x\in [a,b]$. In fact, if $f(x) > 0$ for all $x\in [a,b]$, then $\int_a^b f > 0$. The correct statement would be as follows:

Suppose $f$ is continuous on $[a,b]$ with $f(x) \ge 0$ for all $x\in [a,b]$. If $\int_a^b f = 0$, then $f(x) = 0$ for all $x\in [a,b]$.

joypav said:
For 2, this seems obvious because it's the definition of an integral. My delta is 1/n. So I should try choosing a smart point, then I need to use an epsilon argument to prove that they are equal?

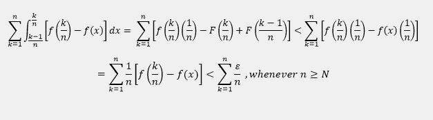
That won't work. The $\delta$ chosen should be independent of $n$. Here's what we can do. Continuity of $f$ on the closed interval $[a,b]$ implies uniform continuity of $f$. Given $\epsilon > 0$, choose $\delta > 0$ in the definition of uniform continuity of $f$. Choose a positive integer $N$ such that $\frac{1}{N} < \delta$, write

$$\frac{1}{n}\sum_{k = 1}^n f\left(\frac{k}{n}\right) - \int_0^1 f(x)\, dx = \sum_{k = 1}^n \int_{(k-1)/n}^{k/n} \left[f\left(\frac{k}{n}\right) - f(x)\right]\, dx$$

and show that the integrals on the right hand side are bounded by $\frac{\epsilon}{n}$ whenever $n \ge N$.
 
Euge said:
The problem is impossible. For we cannot have both $f(x) > 0$ for all $x\in [a,b]$, and also $f(x) = 0$ for all $x\in [a,b]$. In fact, if $f(x) > 0$ for all $x\in [a,b]$, then $\int_a^b f > 0$. The correct statement would be as follows:

Yes, I'm sorry, you're right. I copied it down wrong.
But also, I know you could use a proof with measure zero and Lebesgue stuff, but that isn't allowed. It's supposed to be a simple straightforward proof. Reading it, it is obvious, but my first instinct is to assume that there is a point where f is not zero, but that isn't allowed either.
 
View attachment 6494

Is this what you mean? And n needs to be larger than N because we need that for uniform continuity so that we can make f(k/n)-f(x) less than any epsilon, yes? Because k/n will always be in the interval [0,1], so we can use the usual uniform continuity.
 

Attachments

  • problem4.jpg
    problem4.jpg
    12.6 KB · Views: 139
Not quite. Fix $k$. If $n \ge N$ and $x\in \left[\frac{k-1}{n}, \frac{k}{n}\right]$, then $\lvert \frac{k}{n} - x\rvert \le \frac{1}{n} \le \frac{1}{N} < \delta$. Thus, for all $n \ge N$, $\lvert f(k/n) - f(x)\rvert < \epsilon$ for all $x\in \left[\frac{k-1}{n}, \frac{k}{n}\right]$. Hence,

$$\int_{(k-1)/n}^{k/n} \left\lvert f\left(\frac{k}{n}\right) - f(x)\right\rvert\, dx < \frac{\epsilon}{n}\quad (n \ge N)$$
 
Euge said:
Not quite. Fix $k$. If $n \ge N$ and $x\in \left[\frac{k-1}{n}, \frac{k}{n}\right]$, then $\lvert \frac{k}{n} - x\rvert \le \frac{1}{n} \le \frac{1}{N} < \delta$. Thus, for all $n \ge N$, $\lvert f(k/n) - f(x)\rvert < \epsilon$ for all $x\in \left[\frac{k-1}{n}, \frac{k}{n}\right]$. Hence,

$$\int_{(k-1)/n}^{k/n} \left\lvert f\left(\frac{k}{n}\right) - f(x)\right\rvert\, dx < \frac{\epsilon}{n}\quad (n \ge N)$$

Oh, okay, duh. That becomes less than epsilon, because of continuity, but epsilon is a constant. So when you integrate it's just epsilon(b-a).
 
Well, the difference between the Riemann sum and integral is made less than $\epsilon$ in magnitude when $n\ge N$, but since $\epsilon$ was arbitrary, we obtain the desired limit.
 
I got you.
I think these are making much more sense. You have been a big help. This is my first time doing any proofs with integrals and I was very confused on where to start with them. Continuity plays a bigger role than I realized. I wish they'd start doing proofs earlier on.
 
joypav said:
I know you could use a proof with measure zero and Lebesgue stuff, but that isn't allowed. It's supposed to be a simple straightforward proof. Reading it, it is obvious, but my first instinct is to assume that there is a point where f is not zero, but that isn't allowed either.

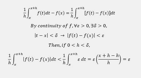
To prove problem 1 directly, fix $x\in [a,b]$ and show that

$$f(x) = \lim_{h\to 0^+} \frac{1}{h}\int_x^{x+h} f(t)\, dt$$

Then show that for all sufficiently small $h > 0$, $\int_x^{x+h} f(t)\, dt = 0$. The limit above will then give $f(x) = 0$ for all $x\in [a,b]$.
 
  • #10
Euge said:
To prove problem 1 directly, fix $x\in [a,b]$ and show that

$$f(x) = \lim_{h\to 0^+} \frac{1}{h}\int_x^{x+h} f(t)\, dt$$

View attachment 6495
Is this correct?
 

Attachments

  • realanalysisprob21.jpg
    realanalysisprob21.jpg
    10.7 KB · Views: 134
  • #11
Almost. You have a typo in the last line: the fraction $\frac{x + h - h}{h}$ should be $$\frac{x + h - \color{red}{x}}{h}$$
 
  • #12
Euge said:
Then show that for all sufficiently small $h > 0$, $\int_x^{x+h} f(t)\, dt = 0$. The limit above will then give $f(x) = 0$ for all $x\in [a,b]$.

And do the same type thing for this? An epsilon-delta argument?
 
  • #13
No. Use the conditions $f \ge 0$ and $\int_a^b f = 0$, along with basic properties of the integral to prove that result.
 

Similar threads

  • · Replies 48 ·
2
Replies
48
Views
5K
Replies
2
Views
2K
Replies
2
Views
2K
  • · Replies 20 ·
Replies
20
Views
3K
  • · Replies 14 ·
Replies
14
Views
5K
  • · Replies 3 ·
Replies
3
Views
2K
Replies
2
Views
3K
  • · Replies 4 ·
Replies
4
Views
2K
  • · Replies 11 ·
Replies
11
Views
3K
  • · Replies 4 ·
Replies
4
Views
3K