Proving F is Conservative: Steps to Show

  • Thread starter Thread starter mopar969
  • Start date Start date
Click For Summary

Homework Help Overview

The discussion revolves around proving that a force field, defined as F = a(r to the n)(r hat), is conservative. Participants are exploring the mathematical criteria and properties that characterize conservative forces.

Discussion Character

  • Exploratory, Assumption checking, Mathematical reasoning

Approaches and Questions Raised

  • Participants discuss the need for substitutions involving unit vectors and the calculation of partial derivatives. There are inquiries about the characteristics of conservative forces and how to mathematically demonstrate that the given force meets these criteria.

Discussion Status

Several participants have shared their attempts and are seeking guidance on completing the proof. There is a focus on taking partial derivatives and verifying the conditions for conservativeness, with some participants expressing confusion about the steps involved.

Contextual Notes

Participants are working under the constraints of homework rules that require them to show their work and make attempts before receiving help. The urgency of a deadline is also noted, as some participants mention needing to complete the problem soon.

mopar969
Messages
200
Reaction score
0
F = a(r to the n)(r hat) Prove F is conservative. Please show steps.
 
Physics news on Phys.org
Hi mopar969,

mopar969 said:
F = a(r to the n)(r hat) Prove F is conservative. Please show steps.

What have you tried so far?
 
I know you have to do a substitution with r hat j hat and k hat but I don't know how. Please show steps.
 
mopar969 said:
I know you have to do a substitution with r hat j hat and k hat but I don't know how. Please show steps.

I'm sorry, but the rules of this forum are that you have to make an attempt and show your work; then somebody should be able to help show where you might be going wrong.
 
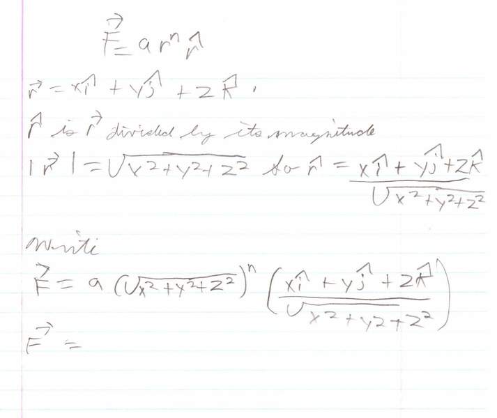
scan0001.jpg

Here is what I have done so far. Can you please show me how to finish this problem because it is due at 4 today. And thank you for all the help.
 
mopar969 said:
View attachment 29049
Here is what I have done so far. Can you please show me how to finish this problem because it is due at 4 today. And thank you for all the help.

Now what are the characteristics of a conservative force? If you look in your book, they probably have a list of several things that are true about conservative force fields; what you need to do is to prove that one of those is true. Which property would be easiest to prove is true for this problem?
 
The teacher wants us to show mathematically that it is conservative so the partial fractions Fx/y must equal the partial fraction of Fy/x etc. Please help me finish this problem and thank you!
 
mopar969 said:
The teacher wants us to show mathematically that it is conservative so the partial fractions Fx/y must equal the partial fraction of Fy/x etc. Please help me finish this problem and thank you!

Okay, so you're almost done. You have written out the force F in terms of x, y, and z.

There are really only two steps left. What is the x component of that force that you wrote out?

And what is its partial derivative with respect to y, which is [tex]\frac{\partial F_x}{\partial y}[/tex] ?

That last answer might look a bit messy, but once you do those steps for all three components (you'll end up with a total six derivatives to take) you'll see that they'll all cancel in pairs.
 
So I don't have to simplify the problem I can take the partial derivatives of what I have. (I am asking because I thought that I had to get one big fraction) Also if I am allowed to take the partial fractions now I can do this for all the requirements for the force to be a conservative force. Please help me finish the problem and thank you for the help.
 
  • #10
mopar969 said:
So I don't have to simplify the problem I can take the partial derivatives of what I have.

I would simplify your force formula a bit, by combining the two square roots (the one in the numerator and the one in the denominator) into one square root.

(I am asking because I thought that I had to get one big fraction) Also if I am allowed to take the partial fractions now I can do this for all the requirements for the force to be a conservative force. Please help me finish the problem and thank you for the help.

I'm not quite sure what you're asking, but once you have the x component of the force, you can just take its (partial) derivative with respect to y; and once you have the y-component of the force you can take its partial derivative with respect to x. If the force is conservative, those should cancel.

You then check the other four possible derivatives the same way. What do you get for these steps?
 
  • #11
How do I combine the square roots because the one in the numerator is to the n.
 
  • #12
mopar969 said:
How do I combine the square roots because the one in the numerator is to the n.

You have n in the numerator, and one in the denominator, so the total will be n-1. And you can also pull out the square root part into the exponent, so:

[tex]\frac{(\sqrt{x^2+y^2+z^2})^n}{\sqrt{x^2+y^2+z^2}}\Longrightarrow (x^2+y^2+z^2)^{(n-1)/2}[/tex]
 
  • #13
can you explain how you got that. Also how do I do the partial fraction with the n-1 all over 2 as the power of the x^2 +y^2+z^2.
 
Last edited:
  • #14
mopar969 said:
can you explain how you got that.

From algebra we know that

[tex]\frac{a^n}{a}=a^{n-1}[/tex]

and also

[tex]\sqrt{a}=a^{1/2}[/tex]

So we know that:

[tex]\frac{(\sqrt{x^2+y^2+z^2})^n}{\sqrt{x^2+y^2+z^2}}=(\sqrt{x^2+y^2+z^2})^{n-1}[/tex]

right? This is just saying if we have n radicals on top and 1 in the bottom, together we have a total of n-1.

Then you can rewrite the radical as an exponent:

[tex]\left\{ \sqrt{x^2+y^2+z^2}\right\}^{n-1}=\left\{ (x^2+y^2+z^2)^{1/2} \right\}^{n-1}[/tex]

and when you combine the exponents you will get the result in my post.
 
  • #15
Thank you that makes sense I just wasn't seeing it as being that simple. But my next question is how do I do the partial derivative of the (x^2+y^2+z^2) to the n-1 all over 2 power. Thanks for all the help.
 
  • #16
Also I wanted to ask what does this force formula represent or mean. In other words what is it used for?
 
  • #17
mopar969 said:
Thank you that makes sense I just wasn't seeing it as being that simple. But my next question is how do I do the partial derivative of the (x^2+y^2+z^2) to the n-1 all over 2 power. Thanks for all the help.

Two points here:

1. What is the derivative

[tex]\frac{d}{dy} y^m[/tex]

equal to?

2. We don't want just the derivative of that factor, we want to take the derivative of the entire x-component of the force. The components are found by matching it to the form:

[tex]\vec F = F_x\ \hat i +F_y\ \hat j + F_z\ \hat k[/tex]

So the square root part is part of the x-component, but what is the entire x-component of the force.
 
  • #18
I ended up getting the problem right and got 20 bonus points for my physics class. Thank you a lot and a lot for all the help. Thanks again Josh.
 
  • #19
mopar969 said:
I ended up getting the problem right and got 20 bonus points for my physics class. Thank you a lot and a lot for all the help. Thanks again Josh.

Sure, glad to help!
 

Similar threads

  • · Replies 7 ·
Replies
7
Views
1K
  • · Replies 3 ·
Replies
3
Views
1K
Replies
4
Views
2K
  • · Replies 10 ·
Replies
10
Views
1K
  • · Replies 40 ·
2
Replies
40
Views
5K
  • · Replies 17 ·
Replies
17
Views
2K
  • · Replies 7 ·
Replies
7
Views
1K
Replies
12
Views
2K
  • · Replies 11 ·
Replies
11
Views
2K