Pytels Dynamics 12.25: Plane tracking

Click For Summary

Homework Help Overview

The problem involves a plane being tracked by two radar stations, with angles of elevation provided. The objective is to determine the altitude, speed, and climb angle of the plane based on the radar readings and their rates of change.

Discussion Character

  • Exploratory, Assumption checking, Mathematical reasoning

Approaches and Questions Raised

  • Participants discuss using trigonometry to find the altitude and explore the relationships between angles and distances. There are inquiries about deriving equations symbolically rather than numerically and how to differentiate to find velocities.

Discussion Status

Several participants have provided hints and suggestions for approaching the problem, particularly regarding the use of symbolic equations and differentiation. There is ongoing exploration of the relationships between variables and the application of the chain rule.

Contextual Notes

Participants note the importance of maintaining symbolic representations and the potential confusion arising from the use of trigonometric functions. There is also mention of the need for clarity in notation and the application of calculus rules.

Alexanddros81
Messages
177
Reaction score
4

Homework Statement


the plane C is being tracked by radar stations A and B. At the instant shown,
the triangle ABC lies in the vertical plane, and the radar readings are θA=30o,
θB = 22o, θA(dot) = 0.026rad/s and θΒ(dot) = 0.032rad/s. Determine (a) the altitude y; (b) the speed v; and (c) the climb angle α of the plane at this instant

Homework Equations

The Attempt at a Solution


I guess I can find (a) from trogonometry. Any hints for part (b)?
 

Attachments

  • 12_25 Pytel.jpg
    12_25 Pytel.jpg
    21.2 KB · Views: 680
Physics news on Phys.org
I'd draw a good picture and think long and hard about related rates.
 
Alexanddros81 said:
Any hints for part (b)?
Solve part a) keeping everything symbolic - do not plug any of the given numbers in.
That will give you an equation for y in terms of the two angles and the distance between the stations.
Get another equation for the x coordinate.
With those two equations, how might you get an equation for velocities?
 
Alexanddros81 said:

Homework Statement


the plane C is being tracked by radar stations A and B. At the instant shown,
the triangle ABC lies in the vertical plane, and the radar readings are θA=30o,
θB = 22o, θA(dot) = 0.026rad/s and θΒ(dot) = 0.032rad/s. Determine (a) the altitude y; (b) the speed v; and (c) the climb angle α of the plane at this instant

Homework Equations



The Attempt at a Solution


I guess I can find (a) from trogonometry. Any hints for part (b)?
Posting the picture, rather than the thumbnail makes the problem clearer and may encourage more help,

12_25-pytel-jpg.jpg
 
haruspex said:
Solve part a) keeping everything symbolic - do not plug any of the given numbers in.
That will give you an equation for y in terms of the two angles and the distance between the stations.
Get another equation for the x coordinate.
With those two equations, how might you get an equation for velocities?

x is the distance from the first station to the second station plus the distance to the point that the vertical line meet the plane? (my english are not that good)
 
Alexanddros81 said:
x is the distance from the first station to the second station plus the distance to the point that the vertical line meet the plane? (my english are not that good)
You can choose any coordinate system you like. Placing the origin at station A is a good choice.

Yes, if the origin is at A then the x coordinate of the plane is the distance from A to B plus the distance from B to a vertical line from plane to ground.
 
so I got
##y=\frac {1000} {tanθ_A - tanθ_B}##

and

##x=1000\frac {tanθ_A} {tanθ_A-tanθ_B}##

I guess I deffirentiate to get vx and vy
but I don't know how to proceed since tan is confusing me
 
Alexanddros81 said:
so I got
##y=\frac {1000} {tanθ_A - tanθ_B}##

and

##x=1000\frac {tanθ_A} {tanθ_A-tanθ_B}##

I guess I deffirentiate to get vx and vy
but I don't know how to proceed since tan is confusing me
It's just a matter of applying the chain rule. What is the derivative wrt time of tan(θ)?
 
haruspex said:
It's just a matter of applying the chain rule. What is the derivative wrt time of tan(θ)?
since we apply the chain rule it should be:
if ##y=tanθ## then ##\frac {dy} {dt} = \frac {dy} {dθ} \frac {dθ} {dt} = sec^2θ\frac {dθ} {dt} = sec^2θ \dot θ##
Any hint how to proceed with the x and y derivatives?
 
  • #10
Alexanddros81 said:
since we apply the chain rule it should be:
if ##y=tanθ## then ##\frac {dy} {dt} = \frac {dy} {dθ} \frac {dθ} {dt} = sec^2θ\frac {dθ} {dt} = sec^2θ \dot θ##
Any hint how to proceed with the x and y derivatives?
In post #7 you have an equation for x as a function of the two angles. So differentiate it.
 
  • #11
haruspex said:
In post #7 you have an equation for x as a function of the two angles. So differentiate it.
 

Attachments

  • Pytel_Dynamics020.jpg
    Pytel_Dynamics020.jpg
    18.5 KB · Views: 622
  • #12
Looks right.
What about ##\dot y##?
 
  • #13
I will proceed finding ##\dot y## later but
for now I want some clarification with the notation.
In Mathematics for Engineers by Croft 2nd edition in pg. 709 the quotient rule is been described.
According to this:
if
##y(x) = \frac {u(x)} {v(x)}##
then

##\frac {dy} {dx} = \frac { v \frac {du} {dx} - u \frac {dv} {dx}} {v^2}##

an example is given

##y=\frac {sinx} {x} = \frac {u} {v}## so ##u=sinx , v=x##
and so
##\frac {du} {dx} = cosx, \frac {dv} {dx} = 1##
applying the quotient rule gives
##\frac {dy} {dx} = \frac { v \frac {du} {dx} - u \frac {dv} {dx}} {v^2}##
##=\frac {xcosx - sinx(1)} {x^2} ##
##=\frac {xcosx-sinx} {x^2}##

According to the above example and in relation to this post can we say:
##x(θ) = \frac {u(θ)} {v(θ)}##
but I guess this is not what we want. We want ##x(t) = \frac {u(t)} {v(t)}## so ##\frac {dy} {dt} = \frac { v \frac {du} {dt} - u \frac {dv} {dt}} {v^2}##
We can say then that u is a function of θ and θ is a function of t or ##u = u(θ) = u(θ(t))## (chain rule)
So the first line of my attached solution of post #11 should be ##x=\frac {u(t)} {v(t)}## and not ##x=\frac {u(θ)} {v(θ)}##

Also I forgot to multiply the solution at post #11 with 1000

Please verify/comment the above

Alexandros
 
  • #14
##x=\frac{u(\theta)}{v(\theta)}## is fine. ##\theta## is allowed to be a function of t. ##\dot x=\frac{d}{dt}\frac{u(\theta)}{v(\theta)}= \dot\theta\frac {d}{d\theta}\frac{u(\theta)}{v(\theta)}##.
Alexanddros81 said:
I forgot to multiply the solution at post #11 with 1000
True.
 
  • #15
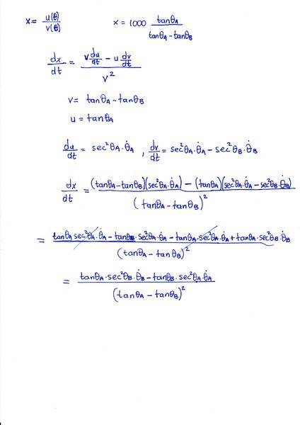
Is the following correct?

##\frac {dx} {dt} = \frac {dx} {dθ} \frac {dθ} {dt} = \dot θ \frac {dx} {dθ}##

and since ##x(θ) = \frac {u(θ)} {v(θ)}## where ##u(θ) = tanθ_A## and ##v(θ) = tanθ_A - tanθ_B##

then ##\frac {dx} {dθ} =1000 \frac {v \frac {du} {dθ} - u \frac {dv} {dθ}} {v^2}##

so ##\frac {du} {dθ} = sec^2 θ_A ## and ##\frac {dv} {dθ} = sec^2 θ_Α - sec^2 θ_B##

so ##\frac {dx} {dθ} =1000 \frac {(tanθ_A - tanθ_B)(sec^2 θ_A) - (tanθ_A)(sec^2 θ_Α - sec^2 θ_B)} {(tanθ_A - tanθ_B)^2}##
##=1000\frac {tanθ_Asec^2 θ_A - tanθ_Bsec^2 θ_A - tanθ_Asec^2 θ_Α + tanθ_Asec^2 θ_B} {(tanθ_A - tanθ_B)^2}##
##=1000\frac {- tanθ_Bsec^2 θ_A + tanθ_Asec^2 θ_B} {(tanθ_A - tanθ_B)^2}##
so
##\frac {dx} {dt} = \dot θ 1000\frac {- tanθ_Bsec^2 θ_A + tanθ_Asec^2 θ_B} {(tanθ_A - tanθ_B)^2}##
 
  • #16
Alexanddros81 said:
Is the following correct?

##\frac {dx} {dt} = \frac {dx} {dθ} \frac {dθ} {dt} = \dot θ \frac {dx} {dθ}##

and since ##x(θ) = \frac {u(θ)} {v(θ)}## where ##u(θ) = tanθ_A## and ##v(θ) = tanθ_A - tanθ_B##

then ##\frac {dx} {dθ} =1000 \frac {v \frac {du} {dθ} - u \frac {dv} {dθ}} {v^2}##

so ##\frac {du} {dθ} = sec^2 θ_A ## and ##\frac {dv} {dθ} = sec^2 θ_Α - sec^2 θ_B##

so ##\frac {dx} {dθ} =1000 \frac {(tanθ_A - tanθ_B)(sec^2 θ_A) - (tanθ_A)(sec^2 θ_Α - sec^2 θ_B)} {(tanθ_A - tanθ_B)^2}##
##=1000\frac {tanθ_Asec^2 θ_A - tanθ_Bsec^2 θ_A - tanθ_Asec^2 θ_Α + tanθ_Asec^2 θ_B} {(tanθ_A - tanθ_B)^2}##
##=1000\frac {- tanθ_Bsec^2 θ_A + tanθ_Asec^2 θ_B} {(tanθ_A - tanθ_B)^2}##
so
##\frac {dx} {dt} = \dot θ 1000\frac {- tanθ_Bsec^2 θ_A + tanθ_Asec^2 θ_B} {(tanθ_A - tanθ_B)^2}##
I do not understand the direction you have taken. What is this angle θ? Your attachment in post #11 was correct.
 
  • #17
haruspex said:
I do not understand the direction you have taken. What is this angle θ? Your attachment in post #11 was correct.
ok.

for vy look the attachement
 

Attachments

  • Pytel_Dynamics023.jpg
    Pytel_Dynamics023.jpg
    12.8 KB · Views: 573
  • #18
Alexanddros81 said:
ok.

for vy look the attachement
You have not applied the chain rule correctly this time. The derivative of 1/v is not ##-(\dot v)^2##.
 
  • #19
ok I am totally confused. any hint?
should that be ##\frac {dy} {dt} = 1000\frac {d} {dt} \left(\frac {1} {v}\right) = 1000(-1) (\frac {1} {v^2}) ##
 
Last edited:
  • #20
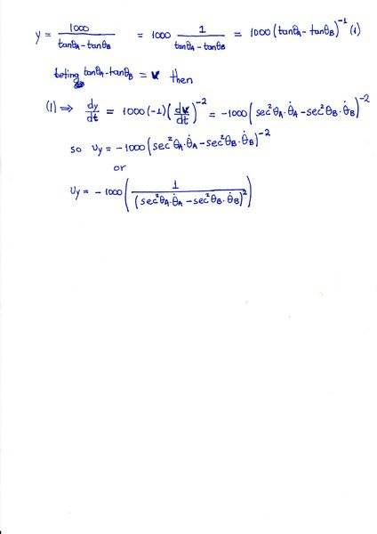
what about this:

##y(v) =1000\frac {1} {v}## and ##v(θ) = tanθ_A-tanθ_B##

##\frac {dy} {dt} = \frac {dy} {dv} \frac {dv} {dt}##

where ##\frac {dy} {dv} = 1000(-1) \frac {1} {v^2}## and ##\frac {dv} {dt} = sec^2θ_A \dot θ_A - sec^2θ_B \dot θ_B##

so

##\frac {dy} {dt}= -1000\frac{sec^2θ_A \dot θ_A - sec^2θ_B \dot θ_B} {(tanθ_A-tanθ_B)^2}##
 
  • #21
Alexanddros81 said:
what about this:

##y(v) =1000\frac {1} {v}## and ##v(θ) = tanθ_A-tanθ_B##

##\frac {dy} {dt} = \frac {dy} {dv} \frac {dv} {dt}##

where ##\frac {dy} {dv} = 1000(-1) \frac {1} {v^2}## and ##\frac {dv} {dt} = sec^2θ_A \dot θ_A - sec^2θ_B \dot θ_B##

so

##\frac {dy} {dt}= -1000\frac{sec^2θ_A \dot θ_A - sec^2θ_B \dot θ_B} {(tanθ_A-tanθ_B)^2}##
Yes!
 
  • #22
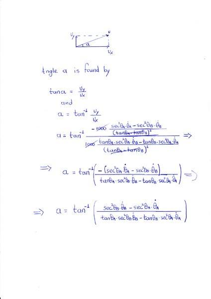
the angle α is given in the attachement. please verify
 

Attachments

  • Pytel_Dynamics024.jpg
    Pytel_Dynamics024.jpg
    14.5 KB · Views: 532
  • #23
Anyone to verify angle α?
 
  • #24
Alexanddros81 said:
Anyone to verify angle α?
Yes, that looks right.
 

Similar threads

  • · Replies 2 ·
Replies
2
Views
2K
  • · Replies 1 ·
Replies
1
Views
4K
  • · Replies 7 ·
Replies
7
Views
2K
  • · Replies 2 ·
Replies
2
Views
17K
  • · Replies 2 ·
Replies
2
Views
3K
  • · Replies 2 ·
Replies
2
Views
2K
  • · Replies 6 ·
Replies
6
Views
8K
  • · Replies 33 ·
2
Replies
33
Views
4K
Replies
9
Views
26K
  • · Replies 2 ·
Replies
2
Views
7K