Q: The instantaneous gas discharge of the system and the C-E

  • Thread starter Thread starter tracker890 Source h
  • Start date Start date
  • Tags Tags
    Fluid dynamic
Click For Summary

Homework Help Overview

The discussion revolves around the concept of mass and volume in a system involving gas discharge. Participants are exploring the relationship between expelled air and the mass of the system, questioning how mass can remain unchanged despite air being expelled.

Discussion Character

  • Conceptual clarification, Assumption checking, Mathematical reasoning

Approaches and Questions Raised

  • Participants are questioning the implications of mass conservation in a system where air is expelled. There are inquiries about the determination of cross-section and the validity of taking time derivatives of volume integrals. Some are also discussing the role of control volumes in this context.

Discussion Status

There is an ongoing exploration of the concepts involved, with some participants providing insights into the nature of the system and control volumes. Guidance has been offered regarding the interpretation of mass flow and the dynamics of the system, though no consensus has been reached.

Contextual Notes

Participants are navigating complex ideas related to fluid dynamics and control volumes, with some expressing confusion over mathematical representations and assumptions about the system boundaries.

tracker890 Source h
Messages
90
Reaction score
11
Homework Statement
Confusing in the conservation of mass.
Relevant Equations
Continuity Equation
1694225190395.png


Q: Why is air expelled from the system, yet the system's mass remains unchanged? Isn't mass related to volume?
 

Attachments

  • 1694213871704.png
    1694213871704.png
    34.8 KB · Views: 114
  • 1694213895256.png
    1694213895256.png
    40.9 KB · Views: 102
  • 1694215726931.png
    1694215726931.png
    47.5 KB · Views: 102
Last edited:
Physics news on Phys.org
The system includes the expelled air.
 
  • Like
Likes   Reactions: erobz
1694218766477.png

If the system includes air output, how should the cross-section be determined?
In a closed system, isn't it the case that fluids cannot cross the system boundaries? However, the following equation is indeed correct.
1694219220944.png

Frabjous said:
The system includes the expelled air.
 
Last edited:
tracker890 Source h said:
View attachment 331684
If the system includes air output, how should the cross-section be determined?
View attachment 331685
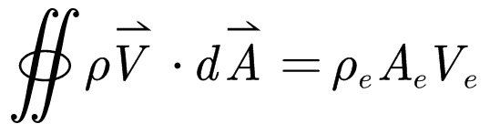
The system is the total mass. It's not changing in time. The tank is the control volume. The portion of the systems mass inside the control volume is changing in time, so you get:

$$ \frac{d}{dt} \int_{cv} \rho ~d V \llap{-} = - \int_{cs} \rho \vec{V} \cdot d \vec{A} $$

which reduces to ( uniformily distributed properties):

$$ \frac{d}{dt} m_{cv} = - \rho_e A_e V_e $$
 
Last edited:
  • Like
Likes   Reactions: Frabjous
tracker890 Source h said:
Q: Why is air expelled from the system, yet the system's mass remains unchanged? Isn't mass related to volume?
Could you please explain why you are taking the time derivative of a 4-dimensional volume integral?

1694223635092.png
 
berkeman said:
Could you please explain why you are taking the time derivative of a 4-dimensional volume integral?

View attachment 331686
I was going to mention there are one too many integral signs. 😬
 
  • Like
Likes   Reactions: berkeman
erobz said:
The system is the total mass. It's not changing in time. The tank is the control volume. The portion of the systems mass inside the control volume is changing in time, so you get:

$$ \frac{d}{dt} \int_{cv} \rho ~d V \llap{-} = - \int_{cs} \rho \vec{V} \cdot d \vec{A} $$

which reduces to ( uniformily distributed properties):

$$ \frac{d}{dt} m_{cv} = - \rho_e A_e V_e $$
So, my thoughts are as follows, is this correct?
1694224989341.png
 
berkeman said:
Could you please explain why you are taking the time derivative of a 4-dimensional volume integral?

View attachment 331686
Accidentally typed the wrong characters, it has been corrected.
 
  • Like
Likes   Reactions: berkeman
tracker890 Source h said:
So, my thoughts are as follows, is this correct?
View attachment 331687
Yeah, that's how you are to look at it. That first derivative being non-zero is not something you are going to encounter when it comes to mass as the property in R.T.T.

In essence the system is not the control volume, its "the stuff" moving through the control volume, be it mass, momentum , or energy. The "system" enters the control volume, exits the control volume, and/or accumulates within the control volume.
 
Last edited:
  • Like
Likes   Reactions: tracker890 Source h
  • #10
erobz said:
Yeah, that's how you are to look at it. That first derivative being non-zero is not something you are going to encounter when it comes to mass as the property in R.T.T.

In essence the system is not the control volume, its "the stuff" moving through the control volume, be it mass, momentum , or energy. The "system" enters the control volume, exits the control volume, and/or accumulates within the control volume.
Thank you for the detailed and patient explanation. ^^
 
  • Like
Likes   Reactions: berkeman and erobz

Similar threads

Replies
12
Views
3K
  • · Replies 5 ·
Replies
5
Views
2K
Replies
2
Views
1K
  • · Replies 8 ·
Replies
8
Views
2K
  • · Replies 6 ·
Replies
6
Views
3K
Replies
2
Views
2K
  • · Replies 6 ·
Replies
6
Views
2K
  • · Replies 1 ·
Replies
1
Views
2K
  • · Replies 1 ·
Replies
1
Views
3K
  • · Replies 1 ·
Replies
1
Views
2K