Q5A8-turning points and co-ordinates

  • Thread starter Thread starter lemon
  • Start date Start date
  • Tags Tags
    Points
Click For Summary
SUMMARY

The discussion focuses on evaluating a mathematical problem involving turning points and coordinates, specifically the function 2x³e⁻ˣ. The user incorrectly applies the product rule and misinterprets the evaluation of the function at specific points. The correct evaluations yield turning points at (0, 0) and (3, ~2.7), with the second derivative providing insights into the concavity of the function. The user is advised to clarify their expressions and ensure they accurately represent the relationships between derivatives and function evaluations.

PREREQUISITES
  • Understanding of calculus concepts, specifically the product rule.
  • Familiarity with evaluating functions and their derivatives.
  • Knowledge of turning points and their significance in graph analysis.
  • Ability to interpret and manipulate mathematical expressions correctly.
NEXT STEPS
  • Review the product rule in calculus and its correct application.
  • Learn how to evaluate functions and their derivatives at specific points.
  • Study the significance of turning points and concavity in function analysis.
  • Practice rewriting mathematical expressions for clarity and accuracy.
USEFUL FOR

Students studying calculus, mathematics educators, and anyone seeking to improve their understanding of function analysis and derivative applications.

lemon
Messages
199
Reaction score
0
1. Hi. I have a part completed question. part a done. but not sure if correct. could someone check before i go onto part b please. thanks[/b

2. Homework Equations in image
3. The Attempt at a Solution in image

attachment.php?attachmentid=24461&d=1268861467.jpg


attachment.php?attachmentid=24462&d=1268861467.jpg
 

Attachments

  • Q5.1A8.jpg
    Q5.1A8.jpg
    19.9 KB · Views: 515
  • Q5A8curve013.jpg
    Q5A8curve013.jpg
    3.7 KB · Views: 431
Physics news on Phys.org
lemon said:
1. Hi. I have a part completed question. part a done. but not sure if correct. could someone check before i go onto part b please. thanks[/b

2. Homework Equations in image
3. The Attempt at a Solution in image

attachment.php?attachmentid=24461&d=1268861467.jpg


attachment.php?attachmentid=24462&d=1268861467.jpg

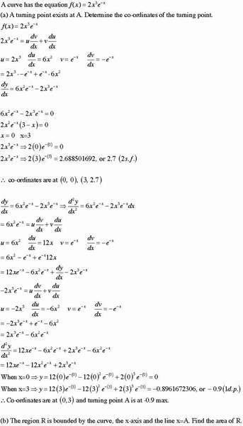
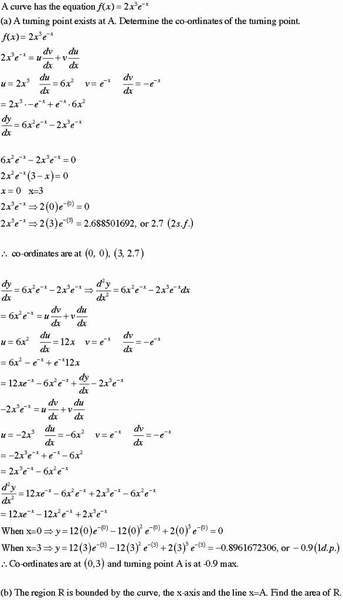
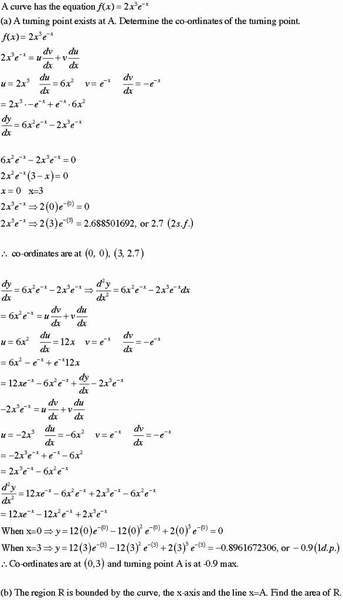
Much of your work looks OK, but you have some stuff in there that shouldn't be there, and you arrived at an incorrect conclusion.

1. 2x3e-x = u dv/dx + v du/dx
Here you are confusing your original function with the formula for the product rule. In essence you are saying that your f(x) = the derivative of some product.

You should be saying something like d/dx(2x3e-x) = 6x2e-x - 2x3e-x

Here I used the product rule, but I don't show its formula. If you need to do that, put it off to the side.

2. When you evaluate your function at x = 0 and at x = 3, you have
2x3e-x ==> 2(0)e-0 = 0

and similar when you evaluate your function at x = 3.

The expression on the left is not a statement with a true or false value, so it can't imply anything.

Instead, you should write f(0) = 2(0)e0 = 0, and
f(3) = 2*33e-3 [itex]\approx[/itex] 2.6885

3. Following that you have
dy/dx = 6x2
e-x -2x3e-x ==> d2y/dx2 = 6x2
e-x -2x3e-xdx

First off, the second derivative is not equal to the first derivative. I know what you're trying to say, but how you're saying it is incorrect. Second, there should not be a dx at the end of that line.

You could say this instead: d2y/dx2 (or f''(x) = d/dx(6x2
e-x -2x3e-x), and then go ahead and calculate that derivative.

4. Following that you have more clutter similar to what I mentioned in #1, above. That shouldn't be there. You are also connecting a lot of expressions with = that aren't equal, and that's not good.

5. Finally, you conclude that "Co-ordinates are at (0, 3) and turning point A is at -0.9 max"

The point (0, 3) is not on the graph of your function, so you should not conclude that something important is going on there. The graph you show doesn't include anything for x < 0, which might be important.

Think back to what you did. At what x values was the first derivative 0? You're going to have turning points at those values, which you found to be (0, 0) and (3, ~2.7). Your second derivative is giving you information about the concavity of the graph of your function. You can use this information to specify where the turning point is.
 

Similar threads

  • · Replies 5 ·
Replies
5
Views
1K
Replies
4
Views
2K
  • · Replies 1 ·
Replies
1
Views
1K
  • · Replies 5 ·
Replies
5
Views
2K
  • · Replies 2 ·
Replies
2
Views
2K
Replies
4
Views
1K
  • · Replies 5 ·
Replies
5
Views
2K
Replies
3
Views
2K
Replies
2
Views
2K
  • · Replies 14 ·
Replies
14
Views
2K