QFT Feynman Propagator Algebra

Click For Summary

Discussion Overview

The discussion revolves around the algebraic manipulation of the Feynman propagator in quantum field theory, specifically focusing on the expression involving the terms ##\frac{1}{2w_{k}} (\frac{1}{w_{k}-k_{0}-i\epsilon} + \frac{1}{w_{k}+k_{0}-i\epsilon})## and its equivalence to ##\frac{1}{k_{v}k^{v} + m^{2} - i\epsilon}##. Participants explore methods for simplifying this expression, including contour integration and the implications of the ##i\epsilon## prescription.

Discussion Character

  • Technical explanation
  • Mathematical reasoning
  • Debate/contested

Main Points Raised

  • One participant attempts to derive the expression up to ##O(\epsilon^{2})## but struggles with the algebraic manipulation and the role of ##\epsilon## in the denominator.
  • Another suggests using contour integration to transition from a 4D integral to a 3D integral, emphasizing the importance of the ##i\epsilon## term to avoid poles on the real line.
  • Some participants discuss the irrelevance of ##\epsilon## in certain contexts, noting that it is a small, positive real number that can be manipulated in the algebra.
  • Concerns are raised about the accuracy of references to existing literature, with one participant criticizing a source for its potential errors and "fudges" in the treatment of the topic.
  • There is a discussion about the implications of the ##i\epsilon## term in integrals, with one participant providing a detailed explanation of contour integration techniques and their effects on the evaluation of integrals.

Areas of Agreement / Disagreement

Participants express differing views on the best approach to manipulate the expression and the significance of the ##i\epsilon## term. There is no consensus on the most effective method or the implications of the ##\epsilon## parameter, indicating ongoing debate and exploration of the topic.

Contextual Notes

Participants note that the treatment of the ##i\epsilon## term and the transition between integral dimensions may vary based on different sign conventions and definitions, which could affect the outcomes of their manipulations.

binbagsss
Messages
1,291
Reaction score
12
I am wanting to get the expression up to ##O(\epsilon^{2}) ## :
To show that ##\frac{1}{2w_{k}} (\frac{1}{w_{k}-k_{0}-i\epsilon} + \frac{1}{w_{k}+k_{0}-i\epsilon})##

##=##
## \frac{1}{k_{v}k^{v} + m^{2} - i\epsilon}##, [2]

where ##w_{k}^{2}=k^{2}+m^{2}##, ##k## the variable, and (this seemed weird for me but it is in my lecture notes) that ##k_{0}=w-w_{k}## in the second term in the sum above and ##k_{0}=w_{k}-w## in the first term in the sum above.

where ##k^{v}k_{v} ## is a summation over 4 dimensions of space time where the relevant metric is the minkowski metric.

My attempts:

So so far I have tried a binomial expansion of ##({w_{k}-k_{0}-i\epsilon}) ^{-1}## and the other term, but of course this brings all terms in the 'numerator' , I don't see how I'll get any ##\epsilon## in the denominator to get something that will look like [2].

and, since this failed, cross multiplying to get a common denominator, but this didn't look promising either... [2]

What is the best way to procceed?
Many thanks
 
Physics news on Phys.org
Put the respective expressions back under the appropriate integration signs. Then perform contour integration to go from the 4D integral to the 3D integral. The ##i\epsilon## bits are really just a fudge to avoid poles on the real line, but one can perform the contour integration more carefully using little semicircles to avoid the real poles (provided you calculate the contribution from the little semicircles correctly).
 
binbagsss said:
I am wanting to get the expression up to ##O(\epsilon^{2}) ## :
To show that ##\frac{1}{2w_{k}} (\frac{1}{w_{k}-k_{0}-i\epsilon} + \frac{1}{w_{k}+k_{0}-i\epsilon})##

##=##
## \frac{1}{k_{v}k^{v} + m^{2} - i\epsilon}##, [2]

where ##w_{k}^{2}=k^{2}+m^{2}##, ##k## the variable, and (this seemed weird for me but it is in my lecture notes) that ##k_{0}=w-w_{k}## in the second term in the sum above and ##k_{0}=w_{k}-w## in the first term in the sum above.

strangerep is right, that the point of [itex]i \epsilon[/itex] is just to pick out a particular value for an ambiguous complex contour integral. What that means is that [itex]\epsilon[/itex] is irrelevant, other than the fact that it is real, small, and greater than 0. Given that, the answer is just obtained by manipulating fractions.

If you have[itex]\frac{1}{A} + \frac{1}{B}[/itex], you can combine them into one fraction, [itex]\frac{A+B}{A B}[/itex]. If you do this with [itex]A = \omega_k - k_0 - i \epsilon[/itex] and [itex]B = \omega_k - k_0 + i \epsilon[/itex], what do you get? What is the exact result (and worry about the limiting case of [itex]\epsilon \rightarrow 0[/itex] later)?

Expanding the denominator in powers of [itex]\epsilon[/itex] is not going to work, because even though [itex]\epsilon[/itex] is small, it isn't always small compared to [itex]\omega_k - k_0[/itex]. The expression you're working with will appear inside an integral, and you will be integrating over a region that includes the point where [itex]\omega_k - k_0 = 0[/itex].
 
strangerep said:
Put the respective expressions back under the appropriate integration signs. Then perform contour integration to go from the 4D integral to the 3D integral. The ##i\epsilon## bits are really just a fudge to avoid poles on the real line, but one can perform the contour integration more carefully using little semicircles to avoid the real poles (provided you calculate the contribution from the little semicircles correctly).

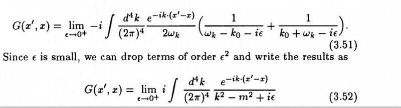
it has not gone from a 4-d integral to a 3-d integral - see attachment - from Hatfield. May differ in signs/factors to original OP/my lec notes , e.g sign convention different in metric , don't know, same idea though..
 

Attachments

  • qft.jpg
    qft.jpg
    17.8 KB · Views: 477
stevendaryl said:
If you have[itex]\frac{1}{A} + \frac{1}{B}[/itex], you can combine them into one fraction, [itex]\frac{A+B}{A B}[/itex]. If you do this with [itex]A = \omega_k - k_0 - i \epsilon[/itex] and [itex]B = \omega_k - k_0 + i \epsilon[/itex], what do you get? What is the exact result (and worry about the limiting case of [itex]\epsilon \rightarrow 0[/itex] later)?.

Yeh so I tried this:

## \frac{1}{2w_{k}} ( \frac{1}{w_{k}-k_{0}-i\epsilon}+\frac{1}{w_{k}+k_{0}-i\epsilon})##

##=##
## \frac{1}{2w_{k}} \frac{2(w_{k} - i\epsilon)}{w_{k}(w_{k}-2i\epsilon)+O(\epsilon^{2})} ##

... didn't look promising to me...

stevendaryl said:
Expanding the denominator in powers of [itex]\epsilon[/itex] is not going to work, because even though [itex]\epsilon[/itex] is small, it isn't always small compared to [itex]\omega_k - k_0[/itex]. .

May I ask how you know this?
 
binbagsss said:
Yeh so I tried this:

## \frac{1}{2w_{k}} ( \frac{1}{w_{k}-k_{0}-i\epsilon}+\frac{1}{w_{k}+k_{0}-i\epsilon})##

##=##
## \frac{1}{2w_{k}} \frac{2(w_{k} - i\epsilon)}{w_{k}(w_{k}-2i\epsilon)+O(\epsilon^{2})} ##

... didn't look promising to me...

I think you made a mistake.

[itex]\frac{1}{2 \omega_k} [ \frac{1}{\omega_k - k_0 -i \epsilon} + \frac{1}{\omega_k + k_0 - i \epsilon}] = \frac{1}{2 \omega_k}\frac{2(\omega_k - i\epsilon)}{\omega_k^2 - k_0^2 - 2 i \omega_k \epsilon}[/itex]
[itex]= \frac{1- i \epsilon/\omega_k}{\omega_k^2 - k_0^2 - 2 i \omega_k \epsilon}[/itex]

From your definition, [itex]\omega_k^2 = k^2 + m^2[/itex], so [itex]\omega_k^2 - k_0^2 = (k^2 - k_0^2) + m^2[/itex]. So if [itex]k_\mu k^\mu = k^2 - k_0^2[/itex], then it becomes:

[itex]\frac{1- i \epsilon/\omega_k}{k_\mu k^\mu - 2 i \omega_k \epsilon}[/itex]

At this point, since [itex]\epsilon[/itex] is arbitrary, except for being small and positive and real, we can redefine:

[itex]\epsilon = \epsilon'/(2 \omega_k)[/itex]

So your expression becomes:

[itex]\frac{1- i \epsilon'/(2 \omega_k^2)}{k_\mu k^\mu - i \epsilon'}[/itex]

So the issue is the [itex]\epsilon'[/itex] appearing in the numerator. It vanishes in the limit as [itex]\epsilon' \Rightarrow 0[/itex], but it's not of order [itex]\epsilon'^2[/itex]...
 
Last edited:
binbagsss said:
it has not gone from a 4-d integral to a 3-d integral - see attachment - from Hatfield. May differ in signs/factors to original OP/my lec notes , e.g sign convention different in metric , don't know, same idea though..
I wasn't familiar with Hatfield, so I took a look. I'm not impressed -- too many fudges and typos.
Hatfield starts from a 3D Fourier expansion, then puts in time-ordering ##\theta## functions, expresses the latter as an integral in eq(3.49), then goes to a 4D expression for ##G(x',x)##. But there seems to a serious typo in eq(3.50) where an integral over ##\omega## is absent.

Anyway, as demonstrated by @stevendaryl, Hatfield's explanation appealing to "##O(\epsilon^2)##" is yet another fudge. Better treatments start from a 4D integral involving ##\delta^{(4)}(p^2-m^2)## and use a ##p_0## contour integration to get a 3D integral.
 
If you haven't seen it, the presence of the [itex]i \epsilon[/itex] in the denominator makes a huge difference in integrals, even in the limit as [itex]\epsilon \rightarrow 0[/itex]. Here's an explanation:

We start with the integral: [itex]\int_{-\infty}^{+\infty} \frac{dx}{x - i \epsilon}[/itex]. As a complex contour integral, this is an integration along the x-axis (or real axis) of the complex plane from [itex]x = -\infty[/itex] to [itex]x = + \infty[/itex]. Now here's a mathematical fact about complex contour integrals--the value of the integral is not changed by any continuous change of the path integrated over, as long as the path doesn't enclose (or pass through) any singularities of the integrand. So let's perform the integral in the following way:
  1. Change variables from [itex]x[/itex] to [itex]u[/itex] where [itex]u = x - i \epsilon[/itex].
  2. Integrate [itex]\frac{du}{u}[/itex] along the real line from [itex]u = -\infty[/itex] to [itex]u = -\epsilon[/itex].
  3. Then integrate around the semi-circle [itex]u = \epsilon e^{i \theta}[/itex] from [itex]\theta = -\pi[/itex] to [itex]\theta = 0[/itex].
  4. Then integrate along the real line from [itex]u = \epsilon[/itex] to [itex]u= +\infty[/itex].
The reason you have to put in the semicircle part of the path (step 3) is because the original contour was below the singularity at [itex]x=i\epsilon[/itex], so the distorted contour has to keep below the singularity, as well. (Changing variables shifts the singularity to [itex]u=0[/itex].)

The integrals in steps 2 and 4 cancel exactly. So the only part left over is the integral in step 3. That integral is:

[itex]\int \frac{du}{u} = \int_{-\pi}^{0} \frac{i \epsilon e^{i \theta} d\theta}{\epsilon e^{i \theta}} = i \pi[/itex]

If, instead of the original integrand being [itex]\frac{dx}{x-i\epsilon}[/itex], it had been [itex]\frac{dx}{x+i\epsilon}[/itex], then the same steps would be used, but instead of using the lower semicircle where [itex]\theta[/itex] goes from [itex]-\pi[/itex] to [itex]\pi[/itex], we would use the upper semicircle where [itex]\theta[/itex] goes from [itex]\pi[/itex] to [itex]0[/itex] (that is, [/itex]du = -i\epsilon e^{i \theta} d\theta[/itex]). The integral would then give [itex]-i \pi[/itex]. (Again, you have to take an upper semicircle to avoid the singularity at [itex]x=-i\epsilon[/itex]).

So we can write: [itex]\int_{-\infty}^{+\infty} \frac{dx}{x-i\epsilon} = i \pi \sigma(\epsilon)[/itex] where [itex]\sigma(\epsilon)[/itex] is the "sign function":

[itex]\sigma(\epsilon) = -1[/itex] if [itex]\epsilon< 0[/itex]
[itex]\sigma(\epsilon) = 0[/itex] if [itex]\epsilon= 0[/itex]
[itex]\sigma(\epsilon) = +1[/itex] if [itex]\epsilon> 0[/itex]
 
stevendaryl said:
If you haven't seen it, the presence of the [itex]i \epsilon[/itex] in the denominator makes a huge difference in integrals, even in the limit as [itex]\epsilon \rightarrow 0[/itex]. [...]
Yes -- this is one my pet peeves: the fudged ##i\epsilon## contours in the usual treatments of propagator contours in QFT. They could simply be performed as a well-defined Cauchy principal value integral which, iirc, gives an extra factor of 2 and that can be absorbed in a redefinition of the fields.

[...] So we can write: [itex]\int_{-\infty}^{+\infty} \frac{dx}{x-i\epsilon} = i \pi \sigma(\epsilon)[/itex] where [itex]\sigma(\epsilon)[/itex] is the "sign function":

[itex]\sigma(\epsilon) = -1[/itex] if [itex]\epsilon< 0[/itex]
[itex]\sigma(\epsilon) = 0[/itex] if [itex]\epsilon= 0[/itex]
[itex]\sigma(\epsilon) = +1[/itex] if [itex]\epsilon> 0[/itex]
Yes. I worked through something similar a while back, evaluating $$-\!\!\!\!\!\!\int_{-\infty}^{+\infty}\!\!dx \, \frac{e^{-ikx}}{x-a} ~~,$$where ##a## is real, and the integral is interpreted strictly as a CPV integral. (The integral symbol with a dash through it denotes CPV.) The answer I got was $$-i \pi \sigma(k) e^{ika} ~.$$ The nonzero value of the integral comes entirely from the contribution of a little semicircle avoiding the pole at ##x=a##.

[But perhaps we digress...]
 
  • Like
Likes   Reactions: vanhees71
  • #10
strangerep said:
Yes -- this is one my pet peeves: the fudged ##i\epsilon## contours in the usual treatments of propagator contours in QFT. They could simply be performed as a well-defined Cauchy principal value integral which, iirc, gives an extra factor of 2 and that can be absorbed in a redefinition of the fields.

Could you give an example? I thought that the [itex]i \epsilon[/itex] was introduced precisely because the principle value integral gives the wrong answer. The interesting thing about complex contour integrations is that [itex]\sigma[/itex] function type results (where the answer changes discontinuously as the sign of some parameter goes from slightly less than zero to slightly more than zero) plop right out. I confess to not completely understanding why these types of functions are important, but I do know that in QM and QFT when working with Green's functions, very often there is a [itex]\Theta[/itex] function of time involved.
 
  • #11
The correct ##\mathrm{i} \epsilon## prescription comes out uniquely from the definition of which propagator you want to calculate. The propagator (in west-coast convention, ##\eta_{\mu \nu}=\mathrm{diag}(1,-1,-1,-1)##)
$$\Delta(p)=\frac{1}{p^2-m^2+\mathrm{i} \epsilon}$$
refers to the time-ordered propgator of a free Klein-Gordon field,
$$\mathrm{i} G(x)=\langle |\Omega \mathcal{T}_c \hat{\phi}(x) \hat{\phi}^{\dagger}(0)| \Omega \rangle.$$
The ##\mathrm{i} \epsilon## in the energy domain ensures the correct time-ordering ##\Theta## functions in the time domain, if you integrate along the real ##p^0## axis. The ##p^0## integration in the Fourier integral can be done easily by closing the contour in the lower (upper) half-plane if ##t>0## (##t<0##) so that the contribution from the infinite-radius semicircle are exponentially suppressed at infinity.
 
  • #12
stevendaryl said:
Could you give an example? [...]
Well, I'll try -- but it might take me a while to compose a coherent story. There was a lengthy thread about this some time ago, and I'll have to dig through some old notes. (It should probably be a new thread anyway.)
 
  • #13
strangerep said:
Well, I'll try -- but it might take me a while to compose a coherent story. There was a lengthy thread about this some time ago, and I'll have to dig through some old notes. (It should probably be a new thread anyway.)

[tex]\frac{1}{2}\left( G_{\mbox{ret}}(x) + G_{\mbox{adv}}(x) \right) = - \left(\frac{1}{2\pi}\right)^{4} \mathscr{P}_{p_{0}} \left( \int d^{4}p \frac{e^{-ipx}}{p^{2}-m^{2}}\right) = \frac{1}{2} \varepsilon (x^{0}) \Delta (x) ,[/tex] where [itex]\Delta (x - y) = \Delta^{(-)}(x-y) + \Delta^{(+)}(x-y)[/itex] solve the homogeneous K-G equation. The above relation of principal value integral can be derived from the following well-know identities in distribution theory [tex]\frac{1}{p_{0} - \omega_{p} \pm i\epsilon p_{0}} = \mathscr{P}\left( \frac{1}{p_{0}-\omega_{p}}\right) \mp i \pi \delta (p_{0}-\omega_{p}) \varepsilon (p_{0})[/tex]
 
  • Like
Likes   Reactions: stevendaryl and vanhees71
  • #14
There are various general properties between the various propgators (two-point functions). Here let's look at the free vacuum Green's functions as an example:

First there are the two Wightman functions ("fixed ordered" Greens' functions, here written in the matrix notation of the Schwinger-Keldysh real-time contour)
$$\mathrm{i} G^{21}(x) = \langle \Omega|\hat{\phi}(x) \hat{\phi}^{\dagger}(0)| \Omega \rangle, \quad \mathrm{i} G^{12}(x) = \langle \Omega|\hat{\phi}^{\dagger}(0) \hat{\phi}(x)|\Omega \rangle.$$
The only thing we need is the decomposition of the free field in terms of energy-momentum modes,
$$\hat{\phi}(x)=\int_{\mathbb{R}^3} \frac{\mathrm{d}^3 \vec{p}}{(2 \pi)^{3/2} \sqrt{2E_{\vec{p}}}} \left [\hat{a}(\vec{p}) \exp(-\mathrm{i} x \cdot p) + \hat{b}^{\dagger}(\vec{p}) \exp(+\mathrm{i} p \cdot x) \right]_{p^0=E(\vec{p})=\sqrt{\vec{p}^2+m^2}}$$
and
$$\langle \Omega|\hat{a}(\vec{p}_1) \hat{a}^{\dagger}(\vec{p}_2)|\Omega \rangle = \langle \Omega|\hat{b}(\vec{p}_1) \hat{b}^{\dagger}(\vec{p}_2)|\Omega \rangle=\delta^{(3)}(\vec{p}_1-\vec{p}_2)$$
and all other expectation values of products of pairs of the annihilation and creation operators vanishing.

Plugging this into the definition of the 1st Wightman function leads after some trivial algebra to
$$\mathrm{i} \Delta^{21}(x) = \int_{\mathbb{R}^3} \frac{\mathrm{d}^3 \vec{p}}{(2 \pi) 2 E(\vec{p})} \exp(-\mathrm{i p \cdot x})|_{p^0=E(\vec{p})} \\
\qquad = \int_{\mathbb{R}^4}{(2 \pi)^4} 2 \pi \Theta(p^0) \delta(p^2-m^2) \exp(-\mathrm{i} p \cdot x),$$
and in the same way
$$\mathrm{i} \Delta^{12}(x) = \int_{\mathbb{R}^3} \frac{\mathrm{d}^3 \vec{p}}{(2 \pi) 2 E(\vec{p})} \exp(\mathrm{i p \cdot x})|_{p^0=E(\vec{p})}.$$
Now we first substitute ##\vec{p} \rightarrow -\vec{p}## and use ##E(-\vec{p})=E(\vec{p})=\sqrt{\vec{p}^2+m^2}## to get
$$\mathrm{i} \Delta^{12}(x) =\int_{\mathbb{R}^3} \frac{\mathrm{d}^3 \vec{p}}{(2 \pi) 2 E(\vec{p})} \exp(\mathrm{i} E(\vec{p})x^0+\mathrm{i} \vec{x} \cdot \vec{p}) \\ \qquad = \int_{\mathbb{R}^4} \frac{\mathrm{d}^4 p}{(2 \pi)^4} 2 \pi \Theta(-p^0) \delta(p^2-m^2) \exp(-\mathrm{i} p \cdot x).$$
From this we get the Fourier-space expressions for the Wightman functions
$$\mathrm{i} \tilde{\Delta}^{12}(p)=2 \pi \Theta(p^0) \delta(p^2-m^2), \quad \mathrm{i} \tilde{\Delta}^{21}(p)=2 \pi \Theta(-p^0) \delta(p^2-m^2).$$
Now we calculate the Fourier transforms of the step function in time, using an obvious regularization procedure
$$\tilde{\Theta}(p^0)=\int_{\mathbb{R}} \mathrm{d} x^0 \Theta(x^0) \exp[\mathrm{i}(p^0+\mathrm{i} \epsilon) x^0]=\frac{\mathrm{i}}{p^0+\mathrm{i} \epsilon}.$$
For ##\Theta_-(x^0)=\Theta(-x^0)## we find
$$\tilde{\Theta}_{-}(p^0)=-\frac{\mathrm{i}}{p^0-\mathrm{i} \epsilon}.$$
Now from the convolution theorem for Fourier transformation we get for the time-ordered Green's function after some algebra
$$\tilde{\Delta}^{11}(p)=[\tilde{\Theta}*\Delta^{12}(p) + \tilde{\Theta}_- * \Delta^{21}(p)]=\frac{1}{p^2-m^2+\mathrm{i} \epsilon}.$$
For the retarded Green's function you get
$$\tilde{\Delta}_{\text{ret}}(p)=\tilde{\Theta} *[\Delta^{12}-\Delta^{21}] = \frac{1}{(p^0+\mathrm{i} \epsilon)-\vec{p}^2-m^2}.$$
 
  • Like
Likes   Reactions: stevendaryl

Similar threads

  • · Replies 1 ·
Replies
1
Views
2K
  • · Replies 7 ·
Replies
7
Views
5K
  • · Replies 13 ·
Replies
13
Views
4K
  • · Replies 0 ·
Replies
0
Views
2K
  • · Replies 2 ·
Replies
2
Views
2K
  • · Replies 1 ·
Replies
1
Views
2K
  • · Replies 9 ·
Replies
9
Views
4K
  • · Replies 3 ·
Replies
3
Views
2K
  • · Replies 2 ·
Replies
2
Views
2K
  • · Replies 1 ·
Replies
1
Views
2K