Rotating Vector Spherical Harmonics Solutions

  • Context: Graduate 
  • Thread starter Thread starter Gwinterz
  • Start date Start date
  • Tags Tags
    Harmonics Rotating
Click For Summary

Discussion Overview

The discussion revolves around the rotation of vector spherical harmonics (VSH) solutions to the Helmholtz equation. Participants explore methods for rotating these solutions, particularly around the y-axis, and examine the implications of using different mathematical approaches, such as the Wigner D function and rotation matrices.

Discussion Character

  • Exploratory
  • Technical explanation
  • Mathematical reasoning
  • Debate/contested

Main Points Raised

  • One participant seeks guidance on how to rotate vector spherical harmonics and questions the validity of using the Wigner D function for this purpose.
  • Another participant suggests using standard rotation matrices or quaternions for constructing rotations, emphasizing the properties of rotation matrices.
  • A participant expresses uncertainty about the effectiveness of the Wigner D function in their calculations, noting discrepancies in the expected behavior of the rotated harmonics.
  • There is a suggestion to use matrix multiplication instead of summation for better clarity and to verify the properties of the rotation matrix.
  • A later reply advises generating VSHs using the SphericalHarmonicY function in Mathematica, indicating that this may resolve issues encountered with rotations.

Areas of Agreement / Disagreement

Participants do not reach a consensus on the correct method for rotating vector spherical harmonics, with multiple competing views on the appropriate mathematical tools and approaches to use.

Contextual Notes

Participants express uncertainty regarding the correct weighting for linear combinations of vector spherical harmonics and the behavior of norms after rotation. There are unresolved questions about the properties of the rotation matrices being used.

Who May Find This Useful

Researchers and students working on vector spherical harmonics, rotation matrices, or related mathematical physics topics may find this discussion relevant.

Gwinterz
Messages
27
Reaction score
0
Hello,

I am looking for some direction to books or papers which may help me,

When you solve the Helmholtz equation you end up with vector spherical harmonics as solutions. The Helmholtz equation is invarient under rotations which means that rotations of these solutions are also solutions.

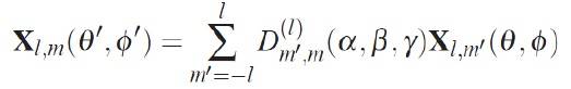
I am looking for a way to rotate these solutions, for example around the y-axis by some angle β.

The solutions look like:
2q24pw4.jpg


So far all that I have been able to find is that rotations of these solutions can be expressed as a linear combination of them over different l's. What I am unsure about is what the weighting is of this linear combination. I have found some people state that it is the Wigner D function (with an unhelpful reference), but after doing the calculations it doesn't seem like these work as I would have expected.

It's hard for me to distinguish between bad coding and bad intuition at the moment because I haven't found much information about such rotations online.

Is the Wigner D function the correct waiting? Are there some other rotation matrix elements that I should be using as the weighting? Does anyone know of anywhere I could find some more information to learn this properly?

Any help is greatly appreciated,

Thanks
 
Physics news on Phys.org
Hey Gwinterz.

Rotation matrices have the property that the determinant is 1 and that R^t = R^(-1) (transpose and inverse).

You can construct a general rotation around an axis using a standard matrix and you can also use quaternions if you want to interpolate between rotations on the unit sphere.

Basically these matrices can be expanded for each component and this will give you the general components for the final vector in terms of parameters like an axis and angle or something else.

Aside from this, you could use the tensor formulation and simply use two different co-ordinate systems that are related by the change of basis matrix - the metric tensor.

I don't know what experience you have so I'll just leave it at that.
 
Hey Chiro,

Thanks for your reply,

I think the matrix you may be referring too, or at least in my application, is the Wigner D matrix, in which the Wigner D function takes its form.

Basically what the problem I have been having is, is that I've been questioning if this is the correct rotation matrix.

I collaborated with some people who have done similar calculations recently and they have informed me that they too used this Wigner D function.

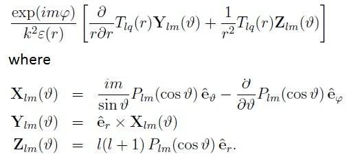
For example, referring to the harmonic X, in the picture of my first post, if you were to write this in another set of co-ordinates it would look like this:
10fnw2d.jpg


Or in Mathematica talk,
2mxegyh.jpg


The problem I have now is that if I plot the norm of the original harmonic as well as the norm of the rotated harmonic, not only is the function not rotated by the amount I tell it too, but there is a larger (factor of 100) drop in the maximum value of the norm.
oiycmp.jpg


Instead of the peak shifting by 1, it only shifts by a little, and as you can see there is a large drop in the magnitude of the norm.

Can you see something that I'm doing incorrectly? I don't think the size of the norm should drop at all, it should be the same no matter what rotation is made.
 
One suggestion I have is to use matrix multiplication instead of using the summation.

What are the structures of your variables? Rotating a vector should return a vector so I'm assuming your calculating linear combinations of your vector with respect to your rotation matrix.

It's a lot easier to check the matrix because you can also check the determinant as well as the orthogonality condition (if it must hold).

You can use your WignerD function to populate the matrix and then you can print the matrix and its contents to see if it comes out right. You can also check the other properties (like determinant of +1 and R^t = R_inv) to make sure it is a rotation matrix.
 
That's a great idea, thanks for that, will try it out!
 
For anyone who ever has this problem,

Generate your VSH's in Mathematica using the SphericalHarmonicY function, rather then LegendreP[..., Cos[theta]]. Even though the functions are essentially the same for thi = 0, up to normalisation, for some reason the rotation does not work...
 

Similar threads

  • · Replies 1 ·
Replies
1
Views
4K
Replies
3
Views
3K
  • · Replies 2 ·
Replies
2
Views
3K
  • · Replies 2 ·
Replies
2
Views
1K
  • · Replies 30 ·
2
Replies
30
Views
3K
  • · Replies 1 ·
Replies
1
Views
2K
  • · Replies 16 ·
Replies
16
Views
2K
  • · Replies 0 ·
Replies
0
Views
4K
  • · Replies 1 ·
Replies
1
Views
1K
  • · Replies 6 ·
Replies
6
Views
3K