Scattering Theory: Difference between use of scattering amplitude and Born approximation?

  • Context: Undergrad 
  • Thread starter Thread starter Shahzad Raza
  • Start date Start date
Click For Summary
SUMMARY

The discussion clarifies the distinction between scattering amplitude and the Born approximation in scattering theory. Scattering amplitude involves a complete wave function that includes both incident and scattered components, utilizing Green's theorem as a propagator. The Born approximation, on the other hand, simplifies this by focusing on spherically symmetric potentials and only considers the first-order term in the Born series. This fundamental difference highlights that the Born approximation is a specific case of the broader scattering amplitude calculations.

PREREQUISITES
  • Understanding of scattering theory concepts
  • Familiarity with Green's theorem
  • Knowledge of wave functions in quantum mechanics
  • Basic grasp of the Born series and its applications
NEXT STEPS
  • Study the derivation of scattering amplitude using Green's theorem
  • Explore the implications of the Born approximation in quantum mechanics
  • Investigate the mathematical formulation of the Born series
  • Examine case studies involving spherically symmetric potentials
USEFUL FOR

Students and researchers in quantum mechanics, particularly those focusing on scattering theory, as well as physicists interested in the mathematical foundations of scattering processes.

Shahzad Raza
Messages
3
Reaction score
12
TL;DR
What is the difference between use of scattering amplitude and born approximation as calculation of both seem similar?
I am preparing for my final and studying scattering thoery and I was not able to connect the points and find difference between scattering amplitude of spinless particles and the born approximation both were looking alike from calculations and after spending a lot of time I have separated these main step to understand both. Below I have shared what I have understood from these steps please guide me if I am mistaken .

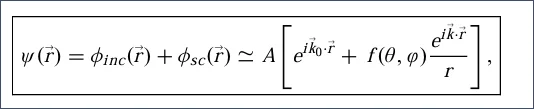
Scattering amplitude:
here we have taken the complete wave function representing the incident part and the scattered part .
1768244667721.webp

here we have used green's theorem as scattered wave propagator and by simplifications we will get the equation 11.56
Screenshot 2026-01-12 234359.webp

now by using born series we will get the solution of this equation for the n order approximation for the wave function, here only second order approximation is given.
Screenshot 2026-01-12 234443.webp

here we have calculated the amplitude by comparing the equation 11.56 with the first equation which is the general formula for the scattering amplitude and then cross section with the help of amplitude

1768244907191.webp

Screenshot 2026-01-12 234544.webp



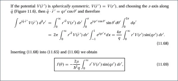
Born approximation:
And in case of born approximation we have calculated the cross section for the spherically symmetric potential .
Screenshot 2026-01-12 234611.webp

Screenshot 2026-01-12 234641.webp
Screenshot 2026-01-12 234824.webp

Screenshot 2026-01-12 234855.webp

So , in short at first we have calculated the general formula for scattering amplitude for all potentials and then in born approximation we specifically find formula for spherically symmetric potentials .

I have inserted images as I am learning LATEX yet .
 
Physics news on Phys.org
Shahzad Raza said:
TL;DR: What is the difference between use of scattering amplitude and Born approximation as calculation of both seem similar?
The latter is (as the name says) an approximation of the former, where only the first order term in the Born series is taken into account.
 
Last edited:
  • Like
  • Informative
Likes   Reactions: Shahzad Raza, pines-demon and berkeman
A. Neumaier said:
The latter is (as the name says) an approximation of the former, where only the first order term in the Born series is taken into account.
Got it. Thanks a lot for the guidance
 

Similar threads

  • · Replies 1 ·
Replies
1
Views
1K
  • · Replies 134 ·
5
Replies
134
Views
13K
  • · Replies 1 ·
Replies
1
Views
1K
  • · Replies 8 ·
Replies
8
Views
3K
  • · Replies 1 ·
Replies
1
Views
3K
  • · Replies 1 ·
Replies
1
Views
2K
  • · Replies 1 ·
Replies
1
Views
2K
  • · Replies 1 ·
Replies
1
Views
2K
  • · Replies 6 ·
Replies
6
Views
5K
  • · Replies 25 ·
Replies
25
Views
13K