Second derivative with chain rule

Click For Summary
SUMMARY

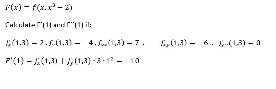
The discussion focuses on calculating the second derivative using the chain rule, specifically finding F'(1) and F''(1) for the function F(x) = f(u, v) where u = x and v = x^3 + 2. The user successfully computed F'(1) as -10 but struggled with F''(1). The solution involves applying the chain rule and product rule, leading to the final result of F''(1) = -53. The user confirmed the calculations and clarified the use of a tree diagram for better understanding.

PREREQUISITES
  • Understanding of the chain rule in calculus
  • Familiarity with partial derivatives
  • Knowledge of tree diagrams for function relationships
  • Ability to perform derivative calculations involving multiple variables
NEXT STEPS
  • Study the application of the chain rule in multivariable calculus
  • Learn about tree diagrams and their use in visualizing function dependencies
  • Explore advanced derivative techniques, including the product rule and implicit differentiation
  • Practice problems involving second derivatives of composite functions
USEFUL FOR

Students and educators in calculus, mathematicians focusing on multivariable functions, and anyone looking to deepen their understanding of derivatives and the chain rule.

Yankel
Messages
390
Reaction score
0
Hello all,

I have a problem with second derivatives and chain rule.

I am working on the question attached (sorry, my Latex editor wasn't working...)

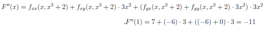
I need to find F'(1) and F''(1). I managed to solve F'(1), but I can't figure out F''(1). In the second image attached, you can see the solution I saw in the source where the question came from, but I don't understand it.

View attachment 2003

View attachment 2004

I was using a tree diagram to solve F'(1), wih f going to x and y, and y going to x.
Can you help me understand this solution ?
Thank you very much.
 

Attachments

  • Capture.PNG
    Capture.PNG
    2.8 KB · Views: 133
  • Capture1.PNG
    Capture1.PNG
    3.5 KB · Views: 148
Physics news on Phys.org
I think it will be better to write this as F(x)= f(u, v) with u= x, v= x^3+ 2 so that we are not using "x" and "y" to mean different things.

Then dF/dx= f_u(du/dx}+ f_v(dv/dx)= f_u+ 3x^2f_v. Yes, dF/dx(1)= f_x(1,2)(1)+ f_y(1,2)(3)= 2(1)+ (-4)(3)= 2- 12= -10.

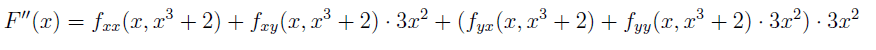
d^2F/dx^2= (d/dx)(f_u+ 3x^2f_v)= f_uu(du/dx)+f_uv(dvdx)+ 6xf_v+ 3x^2(f_uv(du/dx)+ f_vv(dv/dx)= f_uu(1)+ f_uv(3x^2)+ 6xf_v+ 3x^2(f_uv(1)+ f_vv(3x^2)

When x= 1, u= 1 and v= 3 so this is d^2F/dx^2= 7(1)+ (-6)(3)+ 6(1)(-4)+ 3(1^2)((-6)(1)+ 0(3)= 7- 18- 24- 18= 7- 60= -53.

-
 
First of all, thank you !

It took me some time to find out what you did, but I managed to create the corresponding tree diagram which puts logic into these things.

I repeated your development and final calculation and got the same result, and it even makes sense to me since I know where it came from.

Attached is the solution I had in hand. I guess they got it wrong then ?

View attachment 2007

Thanks again !
 

Attachments

  • Capture.PNG
    Capture.PNG
    5.3 KB · Views: 128

Similar threads

  • · Replies 6 ·
Replies
6
Views
4K
  • · Replies 10 ·
Replies
10
Views
3K
  • · Replies 5 ·
Replies
5
Views
2K
  • · Replies 3 ·
Replies
3
Views
2K
  • · Replies 14 ·
Replies
14
Views
2K
  • · Replies 3 ·
Replies
3
Views
4K
  • · Replies 2 ·
Replies
2
Views
2K
  • · Replies 6 ·
Replies
6
Views
2K
  • · Replies 4 ·
Replies
4
Views
2K
  • · Replies 9 ·
Replies
9
Views
3K