Series + Integral: Investigate Convergence

  • Thread starter Thread starter asi123
  • Start date Start date
  • Tags Tags
    Integral Series
Click For Summary
SUMMARY

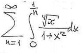
The discussion focuses on investigating the convergence of a specific function using the ratio test. Participants recommend applying the ratio test to derive an integral from 1/(n+1) to 1/n, aiming to demonstrate that the limit of this integral approaches a value less than 1 as n approaches infinity. The integral in question is expressed as \lim_{n\to \infty} \frac{ \int^{1/{n+1}}_0 \frac{x^{1/4}}{1+x^2} dx}{ \int^{1/{n}}_0 \frac{x^{1/4}}{1+x^2} dx}. The discussion also highlights a potential issue with LaTeX formatting in the original post.

PREREQUISITES
  • Understanding of the ratio test in calculus
  • Familiarity with integral calculus
  • Knowledge of limits and convergence concepts
  • Basic proficiency in LaTeX for mathematical expressions
NEXT STEPS
  • Study the application of the ratio test in series convergence
  • Explore techniques for evaluating improper integrals
  • Learn about convergence criteria for integrals
  • Practice LaTeX formatting for mathematical expressions
USEFUL FOR

Students in calculus courses, mathematics educators, and anyone interested in understanding series convergence and integral evaluation techniques.

asi123
Messages
254
Reaction score
0

Homework Statement



Hello.

I need to to investigate (I hope I said that right :blushing:) the converge of this function, any idea guys?

Homework Equations





The Attempt at a Solution

 

Attachments

  • 1.jpg
    1.jpg
    5.9 KB · Views: 409
Physics news on Phys.org
I would recommend using the "ratio test". That will lead to an integral from 1/(n+1) to 1/n and you need to show that the limit of that integral, as n goes to infinity, is less than 1.
 
[tex]\lim_{n\to \infty} \frac{ \int^{1/{n+1}}_0 \frac{x^{1/4}}{1+x^2} dx}{ \int^{1/{n}}_0 \frac{x^{1/4}}{1+x^2} dx}[/tex].

I'm not sure how that gives an integral from 1/(n+1) to 1/n =S

EDIT: Dont know what's wrong with the latex.
 

Similar threads

  • · Replies 4 ·
Replies
4
Views
1K
  • · Replies 8 ·
Replies
8
Views
2K
  • · Replies 10 ·
Replies
10
Views
2K
  • · Replies 7 ·
Replies
7
Views
2K
  • · Replies 16 ·
Replies
16
Views
4K
Replies
26
Views
3K
  • · Replies 2 ·
Replies
2
Views
2K
Replies
7
Views
2K
  • · Replies 11 ·
Replies
11
Views
3K
Replies
3
Views
1K