SHM spring system, Tension direction confusion.

Click For Summary
SUMMARY

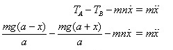
The discussion centers on the dynamics of a spring system with a particle attached at its midpoint, specifically addressing the confusion regarding the direction of tension in the spring when the particle is displaced. When the particle is displaced towards point A, the side of the spring connected to A becomes compressed, while the side connected to B becomes extended. The tension in both sides of the spring acts to restore the system to equilibrium, with the correct equation of motion derived as Mg(a+x)/a - mg(a-x)/a - mn[dx/dt]= mx[d^2x/dt^2]. This highlights the importance of accurately applying the principles of tension and motion in spring systems.

PREREQUISITES
  • Understanding of Hooke's Law and spring mechanics
  • Familiarity with Newton's laws of motion
  • Basic knowledge of differential equations
  • Ability to interpret and analyze free-body diagrams
NEXT STEPS
  • Study the principles of Hooke's Law in detail
  • Learn how to derive equations of motion for oscillating systems
  • Explore the use of free-body diagrams in analyzing forces in spring systems
  • Investigate the effects of damping on spring-mass systems
USEFUL FOR

Physics students, mechanical engineers, and anyone studying dynamics and oscillatory motion in spring systems will benefit from this discussion.

binbagsss
Messages
1,291
Reaction score
12
Say a spring is on a horizontal table, and the particle is initially at the midpoint of the spring in equilibrium, and then the particle is displaced to one side.

I have attached a diagram, let this side be more to A.

Then I am confused as to which direction the tension in both sides of the spring will act and why.

My thoughts would be along the lines of:
- displaced more towards A, this side of the spring is compressed, the tension will therefore act in the direction AB acting to re-extend the spring (restoring)
- and vice versa with spring B, which is extended and therefore will act to compress
- of course these thoughts are wrong as the tensions would both then be in the same direction.

Thanks a lot.

Also upon derviation I am using the time when the particle is intially displaced and so would conclude that the acceleration direction is in the direction BA
 

Attachments

  • shm.png
    shm.png
    976 bytes · Views: 559
Last edited:
Physics news on Phys.org
binbagsss said:
My thoughts would be along the lines of:
- displaced more towards A, this side of the spring is compressed, the tension will therefore act in the direction AB acting to re-extend the spring (restoring)
- and vice versa with spring B, which is extended and therefore will act to compress

Sounds alright to me.


binbagsss said:
- of course these thoughts are wrong as the tensions would both then be in the same direction.

What is wrong with that?
 
cepheid said:
What is wrong with that?

(I have attached a diagram showing the correct diagram and equations.)

Not applying this correct has led me to derive my equation wrong:

- The question is that initially a string has a particle p attached to its midpoint and is stretched at 4a: AB=4a and natural length is 2a.
- The particle is then released from rest at C, where AC - 3a/2, establish the equation of motion.

My thoughts were that the part ‘A’ is compressed and so will naturally act to restore, acting in the opposite diagram than shown in the diagram, and B would act naturally to restore its extension also acting in this direction.

Leading me to dervie :

- Mg(a+x)/a - mg(a-x)/a - mn[dx/dt]= mx[d^2x/dt^2] as a pose to the solution attached.

(judging by the initial conditions to set up the system - system is moved to the right (hence acceleration this way) and resistance opposes this, tensions as above.)

Thanks a lot for any assistance !
 

Attachments

  • a system of.png
    a system of.png
    3.4 KB · Views: 527
  • sole.png
    sole.png
    1.4 KB · Views: 510

Similar threads

Replies
17
Views
2K
  • · Replies 2 ·
Replies
2
Views
2K
Replies
39
Views
3K
  • · Replies 8 ·
Replies
8
Views
2K
  • · Replies 31 ·
2
Replies
31
Views
3K
  • · Replies 4 ·
Replies
4
Views
2K
  • · Replies 1 ·
Replies
1
Views
2K
Replies
2
Views
1K
Replies
3
Views
2K
  • · Replies 10 ·
Replies
10
Views
5K