Simplifying Equations: A Scientist's Guide

  • Context: Undergrad 
  • Thread starter Thread starter LucasGB
  • Start date Start date
Click For Summary

Discussion Overview

The discussion revolves around the simplification of equations related to a general formula derived from a set of equations. Participants explore the correctness of the proposed formula and seek methods for simplifying it for manual computation. The context includes theoretical and experimental aspects of the equations.

Discussion Character

  • Technical explanation, Conceptual clarification, Experimental/applied

Main Points Raised

  • One participant presents a general formula derived from a set of equations and questions its correctness, noting that it does not apply to a specific case (A1).
  • Another participant asserts that the formula is correct but offers an alternative representation of the equation.
  • The second participant suggests a method for simplifying the formula to facilitate manual computation, providing a specific solution to a difference equation.
  • A later reply expresses gratitude for the assistance received.
  • Further exchanges clarify that the problem is related to experiments rather than homework.

Areas of Agreement / Disagreement

There is an agreement on the correctness of the general formula, although an alternative representation is proposed. The discussion remains focused on simplification methods without any explicit consensus on the best approach.

Contextual Notes

Participants do not fully explore the implications of the assumptions made in the equations or the specific conditions under which the general formula applies. The discussion does not resolve potential limitations in the simplification process.

Who May Find This Useful

Individuals interested in mathematical modeling, equation simplification, or those working on experimental problems in a scientific context may find this discussion relevant.

LucasGB
Messages
181
Reaction score
0
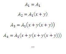
I have the following equations:

(See Figure 1)

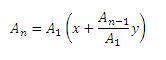
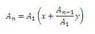
I tried summing them up in one single general formula, and I got:

(See Figure 2)

I'd like to know two things:

1. Is my general formula correct? Please note it does not work for A1, since for my purposes, A0 does not exist.

2. If my formula is correct, how can I make it simpler, so I can computate An by hand?

Thank you very much for your help! I'm sure this is going to be simple, but my knowledge is limited.
 

Attachments

  • Figure 1.JPG
    Figure 1.JPG
    4.4 KB · Views: 431
  • Figure 2.JPG
    Figure 2.JPG
    1.8 KB · Views: 374
Physics news on Phys.org
1. Your equation is indeed correct. But I prefer to write it this way:
[tex]A_n=A_{n-1}y+A_1x[/tex]

2. If you want to make it simple and compute it by hand, I guess you would like to solve the above difference equation. Here is the solution:

[tex]A_n=A_1y^{n-1}+A_1x\left(\frac{y^{n-1}-1}{y-1}\right)[/tex]

Please refer to this http://www.voofie.com/content/77/general-term-of-recurrence-relation-and-its-solution/" , if you are interested in how to get the answer. With this equation, I think you can compute any term by hand easily.
 
Last edited by a moderator:
Thank you very much, that was very helpful!
 
You are welcome. Is it some kind of homework problem? Or you encounter it in your self-study?
 
Just a problem that arose while studying some experiments. Not homework related. Thank you again.
 

Similar threads

  • · Replies 2 ·
Replies
2
Views
2K
  • · Replies 3 ·
Replies
3
Views
4K
  • · Replies 3 ·
Replies
3
Views
2K
  • · Replies 8 ·
Replies
8
Views
4K
  • · Replies 2 ·
Replies
2
Views
1K
  • · Replies 1 ·
Replies
1
Views
2K
  • · Replies 6 ·
Replies
6
Views
3K
  • · Replies 11 ·
Replies
11
Views
3K
  • · Replies 12 ·
Replies
12
Views
2K
  • · Replies 44 ·
2
Replies
44
Views
4K