Simplifying the factors of a complex number's imaginary part

Click For Summary
SUMMARY

This discussion focuses on simplifying the imaginary part of a complex-valued function composed of multiple factors, specifically expressed as Q = \Im (A^* \times B \times C^* \times D^*). The participants explore methods to express Q in a more manageable form, such as Q = \Im (A) \Im (B^* \times C \times D). Key insights include the suggestion to represent complex numbers using amplitude and phase factors, leveraging Euler's formula to derive the final imaginary part through the product of amplitudes and the sine of the total phase. The discussion emphasizes that complex conjugation affects only the sign of the imaginary part.

PREREQUISITES
  • Understanding of complex numbers and their conjugates
  • Familiarity with imaginary and real components of complex functions
  • Knowledge of Euler's formula and its application in complex analysis
  • Basic skills in manipulating mathematical expressions involving complex variables
NEXT STEPS
  • Research the application of Euler's formula in simplifying complex expressions
  • Learn about the properties of complex conjugates and their impact on imaginary parts
  • Explore advanced techniques in complex analysis for factorization of complex functions
  • Study the representation of complex numbers in polar form and its implications
USEFUL FOR

Mathematicians, physicists, and engineers working with complex-valued functions, particularly those involved in signal processing or quantum mechanics who seek to simplify expressions involving multiple complex factors.

TheCanadian
Messages
361
Reaction score
13
My question boils down to wondering if there is a way to simplify the imaginary part of a complex-valued function composed of n factors if the real and imaginary component for each of the factors is known but the factors may take on the value of their conjugate as well.

For example, is there a known way to simplify:

## Q = \Im (A^* \times B \times C^* \times D^*) ##

where A, B, C, and D are each complex numbers themselves with known real and imaginary parts, ##\Im ## is taking the imaginary part, and ## ^* ## corresponds to taking the complex conjugate of the complex number. Ideally, I'm wondering if there is known a way to simplify Q into another equivalent form such as

## Q = \Im (A) \Im (B^* \times C \times D) ##.

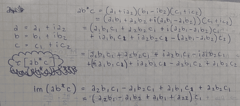
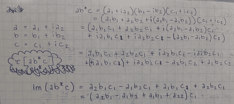
I've attached my attempt at simplifying the imaginary part of a complex number composed of 3 factors that are themselves each complex-valued. It does feel like there is some kind of pattern but I'm not seeing and am oblivious to how it extends for larger systems and for complex conjugates taken at arbitrary positions. Would any of you happen to know if there's a known way to factorize such numbers?
 

Attachments

  • Screen Shot 2016-05-30 at 5.18.08 PM.png
    Screen Shot 2016-05-30 at 5.18.08 PM.png
    87.5 KB · Views: 606
Physics news on Phys.org
There is no formula that would make it easier. You can write all numbers as ##A=A_R+iA_I## and so on and then make a long list of summands that contribute to the imaginary part, e. g. ##A_RB_RC_RD_I + A_RB_RC_ID_R + \dots## (in total 8 components) but that is not very useful. If you know the numbers, where is the problem with just multiplying them?
Complex conjugation just changes the sign of the imaginary part, apart from that nothing happens so it is easy to take into account.

In your attached screenshot, two summands with c2 got lost.
 
One suggestion is to write each complex number as an amplitude and phase factor. i.e. ## A=A_o e^{i \phi_A} ## etc. To get the final imaginary part, that is just a product of the amplitudes, ## A_o B_o C_o D_o ##, etc., multiplied by ## \sin{\phi_{total}} ##. (using Euler's formula). (## \phi_{total} ## is the sum of the phase factors.) Perhaps this is what you are looking for? (Note: A complex conjugate simply puts a minus sign on the phase of the number.)
 
Last edited:

Similar threads

  • · Replies 2 ·
Replies
2
Views
2K
  • · Replies 8 ·
Replies
8
Views
3K
  • · Replies 11 ·
Replies
11
Views
3K
  • · Replies 1 ·
Replies
1
Views
2K
  • · Replies 4 ·
Replies
4
Views
2K
  • · Replies 5 ·
Replies
5
Views
3K
  • · Replies 36 ·
2
Replies
36
Views
7K
  • · Replies 2 ·
Replies
2
Views
2K
  • · Replies 4 ·
Replies
4
Views
2K
  • · Replies 3 ·
Replies
3
Views
2K