Solve Integral of ln(x^2-1) with Ease: Step-by-Step Guide

  • Context: MHB 
  • Thread starter Thread starter Yankel
  • Start date Start date
  • Tags Tags
    Integration Ln
Click For Summary

Discussion Overview

The discussion revolves around solving the integral of the natural logarithm function, specifically \(\int \ln(x^{2}-1) \, dx\). Participants explore various methods, including integration by parts and substitution, while addressing challenges and mistakes encountered in their approaches.

Discussion Character

  • Exploratory
  • Technical explanation
  • Mathematical reasoning
  • Debate/contested

Main Points Raised

  • One participant expresses difficulty in solving the integral \(\int \ln(x^{2}-1) \, dx\) and mentions getting stuck with substitution and integration by parts.
  • Another participant suggests using the factorization \(x^2-1=(x+1)(x-1)\) as a hint for solving the integral.
  • A participant attempts the suggested approach but claims to arrive at an incorrect answer, providing their steps and a proposed correct answer.
  • Another participant reiterates the same steps and provides a similar conclusion, suggesting the use of integration by parts and the method of fractions.
  • One participant points out a critical mistake in applying the logarithmic property \(\ln(ab)=\ln(a)+\ln(b)\) without considering the domain restrictions, leading to an incomplete understanding of the function \(\ln(x^2-1)\).
  • Another participant acknowledges their mistake and attempts the suggested method, noting that their answer is still missing a component compared to the expected solution.
  • A participant identifies an error in the partial fraction decomposition used by another, emphasizing the need for polynomial long division before applying partial fractions.

Areas of Agreement / Disagreement

Participants do not reach a consensus on the correct method or solution to the integral, with multiple competing views and approaches remaining throughout the discussion.

Contextual Notes

Participants highlight limitations in their approaches, such as domain restrictions for logarithmic functions and errors in algebraic manipulations, but do not resolve these issues fully.

Yankel
Messages
390
Reaction score
0
Hello all,

I am trying to solve this integral,

\[\int \ln(x^{2}-1) \, dx\]

but I get stuck no matter what I do, if I go for substitution or parts...

thanks
 
Physics news on Phys.org
Here's a hint: $x^2-1=(x+1)(x-1)$.
 
Ok, I tried your suggestion, and I did this, however, it is the wrong answer...

\[\int ln((x-1)(x+1))dx=\int (ln(x-1)+ln(x+1))dx=\]

\[=\int ln(x-1)dx+\int ln(x+1)dx=\]

\[\int ln(u)du+\int ln(t)dt=(x-1)ln(x-1)+(x+1)ln(x+1)-2x+C\]

The correct answer should be:

\[xln(x^{2}-1)-2x-ln\left | x-1 \right |+ln\left | x+1 \right |+C\]
 
Last edited:
Yankel said:
Ok, I tried your suggestion, and I did this, however, it is the wrong answer...

\[\int ln((x-1)(x+1))dx=\int (ln(x-1)+ln(x+1))dx=\]

\[=\int ln(x-1)dx+\int ln(x+1)dx=\]

\[\int ln(u)du+\int ln(t)dt=(x-1)ln(x-1)+(x+1)ln(x+1)-2x+C\]

The correct answer should be:

\[xln(x^{2}-1)-2x-ln\left | x-1 \right |+ln\left | x+1 \right |+C\]

I would approach it in the following manner: first apply integration by parts to get

\[\begin{aligned} \int \ln(x^2-1)\,dx &= x\ln(x^2-1) - \int\frac{2x^2}{x^2-1}\,dx\\ &= x\ln(x^2-1)-\int 2+\frac{2}{x^2-1}\,dx\end{aligned}\]

and then use the hint Ackbach gave you.

Can you take things from here? (Smile)
 
Integration by parts and then use the method of fractions ?

still, I am curious to know what I did wrong earlier...
 
Yankel said:
Integration by parts and then use the method of fractions ?

still, I am curious to know what I did wrong earlier...

The problem is in claiming that $\ln(x^2-1) = \ln(x-1)+\ln(x+1)$. The property $\ln(ab)=\ln(a)+\ln(b)$ can only be applied when $a>0$ and $b>0$! However, we see that the domain of $\ln(x^2-1)$ is $(-\infty,-1)\cup(1,\infty)$ but the domain of $\ln(x-1)+\ln(x+1)$ is $(1,\infty)$, so we see now that they're not necessarily the "same function"; it's just a portion of $\ln(x^2-1)$. In fact,

\[\ln(x^2-1) = \begin{cases} \ln(x-1)+\ln(x+1) & x>1\\ \ln(1-x) + \ln(-x-1)& x<-1\end{cases}\]

In essence, what you found was $\displaystyle\int \ln(x^2-1)\,dx$ under the constraint that $x>1$. You didn't find $\displaystyle\int \ln(x^2-1)\,dx$ such that it was defined for any $x\in(-\infty,-1)\cup(1,\infty)$. Approaching it by parts and then partial fractions will get you the antiderivative that the solution is looking for.

I hope this made sense (I'm rather tired, so I'm not sure my explanation/reasoning was good enough).
 
Thank you for your help, I understand my mistake.

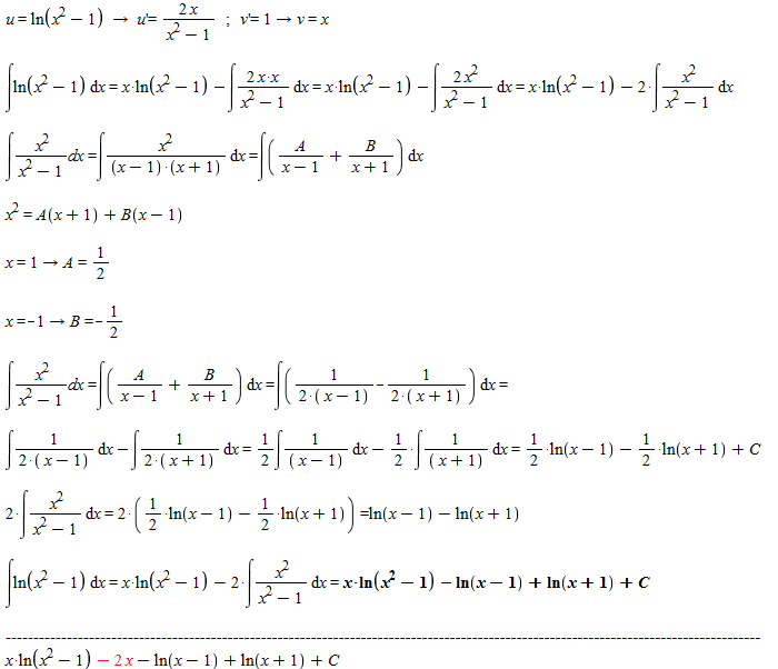
I tried the way you suggested, and I got something very similar to the answer I look for, however one item is missing.

My solution is attached, my final answer is in bold. Underneath, in red, the real answer according to the book and maple.

I can't find my current mistake either...

View attachment 2025
 

Attachments

  • Capture.PNG
    Capture.PNG
    9.9 KB · Views: 157
Your mistake is in the partial fraction decomposition. It is not true that
$$ \frac{1}{2(x-1)}- \frac{1}{2(x+1)}= \frac{x^{2}}{(x-1)(x+1)}.$$
Just get the common denominator and check it out. Instead, you have
$$\frac{1}{2(x-1)}- \frac{1}{2(x+1)}= \frac{1}{(x-1)(x+1)}.$$
You have to perform polynomial long division first, as Chris mentioned, before you can do the partial fraction decomposition. Indeed, your equation $x^2=A(x+1)+B(x-1)$ should have clued you in that there was a problem: there are no $A$ and $B$ that can make the equation work, because on the LHS you have a quadratic, but no quadratic powers on the RHS.
 

Similar threads

  • · Replies 15 ·
Replies
15
Views
4K
  • · Replies 8 ·
Replies
8
Views
4K
  • · Replies 4 ·
Replies
4
Views
3K
  • · Replies 14 ·
Replies
14
Views
4K
  • · Replies 5 ·
Replies
5
Views
3K
  • · Replies 1 ·
Replies
1
Views
3K
  • · Replies 8 ·
Replies
8
Views
2K
  • · Replies 3 ·
Replies
3
Views
3K
  • · Replies 6 ·
Replies
6
Views
1K
  • · Replies 27 ·
Replies
27
Views
3K